PTEN错构瘤肿瘤综合征(PHTS)患者的癌症预后和治疗结果-一项欧洲队列研究。

Linda A J Hendricks, Katja C J Verbeek, Janneke H M Schuurs-Hoeijmakers, Robin de Putter, Hilde Brems, Sien H Van Daele, Violetta C Anastasiadou, Lenka Foretová, Patrick R Benusiglio, Anna Gerasimenko, Chrystelle Colas, Marie-Charlotte Villy, Claude Houdayer, Maud Branchaud, Robert Hüneburg, Stefan Aretz, Arne Jahn, Verena Steinke-Lange, Giovanni Innella, Daniela Turchetti, Valeria Barili, Maurizio Genuardi, Arianna Panfili, Margherita Baldassarri, Arvīds Irmejs, Mirjam M de Jong, Thera P Links, Edward M Leter, Daniëlle G M Bosch, Stephany H Donze, Rachel S van der Post, Arjen R Mensenkamp, Harm Westdorp, Hildegunn Høberg-Vetti, Marianne Tveit Haavind, Kjersti Jørgensen, Lovise Mæhle, Siri Briskemyr, Juliette Dupont Garcia, Ana Blatnik, Judith Balmaña, Maite Torres, Joan Brunet, Roser Lleuger-Pujol, Emma Tham, Marc Tischkowitz, D Gareth Evans, Zerin Hyder, Nicoline Hoogerbrugge, Janet R Vos
{"title":"PTEN错构瘤肿瘤综合征(PHTS)患者的癌症预后和治疗结果-一项欧洲队列研究。","authors":"Linda A J Hendricks, Katja C J Verbeek, Janneke H M Schuurs-Hoeijmakers, Robin de Putter, Hilde Brems, Sien H Van Daele, Violetta C Anastasiadou, Lenka Foretová, Patrick R Benusiglio, Anna Gerasimenko, Chrystelle Colas, Marie-Charlotte Villy, Claude Houdayer, Maud Branchaud, Robert Hüneburg, Stefan Aretz, Arne Jahn, Verena Steinke-Lange, Giovanni Innella, Daniela Turchetti, Valeria Barili, Maurizio Genuardi, Arianna Panfili, Margherita Baldassarri, Arvīds Irmejs, Mirjam M de Jong, Thera P Links, Edward M Leter, Daniëlle G M Bosch, Stephany H Donze, Rachel S van der Post, Arjen R Mensenkamp, Harm Westdorp, Hildegunn Høberg-Vetti, Marianne Tveit Haavind, Kjersti Jørgensen, Lovise Mæhle, Siri Briskemyr, Juliette Dupont Garcia, Ana Blatnik, Judith Balmaña, Maite Torres, Joan Brunet, Roser Lleuger-Pujol, Emma Tham, Marc Tischkowitz, D Gareth Evans, Zerin Hyder, Nicoline Hoogerbrugge, Janet R Vos","doi":"10.1038/s44276-025-00157-y","DOIUrl":null,"url":null,"abstract":"<p><strong>Background: </strong>PTEN hamartoma tumour syndrome (PHTS) patients have a high hereditary risk of cancer, especially breast (BC), endometrial (EC), and thyroid cancer (TC). However, the prognosis of PHTS-related cancers is unknown.</p><p><strong>Methods: </strong>This European cohort study included adult PHTS patients with data from medical files, registries, and/or questionnaires. Overall survival (OS) was assessed using Kaplan-Meier analyses and were compared with sporadic cancer and the general population using standardized mortality (SMR) and relative survival rates (RSR). Survival bias was addressed using left-truncation.</p><p><strong>Results: </strong>Overall, 147 BC patients were included. The 10y-OS was 77% (95%CI = 66-90), decreasing with increasing stage from 90% (95%CI = 73-100) for stage 0 to 0% (95%CI = 0-0) for stage IV. BC relative survival was comparable to sporadic BC in the first two years (2y-RSR = 1.1; 95%CI = 1.1-1.1) and increasing thereafter (5y-RSR = 1.7; 95%CI = 1.6-1.7). For TC (N = 56) and EC (N = 35), 10y-OS was 87% (95%CI = 74-100) and 64% (95%CI = 38-100), respectively. Overall and cancer-specific mortality in female PHTS patients exceeded general population rates (SMR = 3.7; 95%CI = 2.6-5.0 and SMR = 2.7; 95%CI = 1.6-4.4).</p><p><strong>Conclusions: </strong>The prognosis of PHTS-related cancers was comparable to the general population. The higher overall mortality in PHTS patients is presumably related to their higher cancer incidence. These findings, and the high survival observed in early-stage cancer, emphasise the importance of recognising PHTS early to facilitate cancer surveillance.</p>","PeriodicalId":519964,"journal":{"name":"BJC reports","volume":"3 1","pages":"42"},"PeriodicalIF":0.0000,"publicationDate":"2025-06-04","publicationTypes":"Journal Article","fieldsOfStudy":null,"isOpenAccess":false,"openAccessPdf":"https://www.ncbi.nlm.nih.gov/pmc/articles/PMC12137667/pdf/","citationCount":"0","resultStr":"{\"title\":\"Cancer prognosis and treatment results in patients with PTEN Hamartoma Tumour Syndrome (PHTS)-a European cohort study.\",\"authors\":\"Linda A J Hendricks, Katja C J Verbeek, Janneke H M Schuurs-Hoeijmakers, Robin de Putter, Hilde Brems, Sien H Van Daele, Violetta C Anastasiadou, Lenka Foretová, Patrick R Benusiglio, Anna Gerasimenko, Chrystelle Colas, Marie-Charlotte Villy, Claude Houdayer, Maud Branchaud, Robert Hüneburg, Stefan Aretz, Arne Jahn, Verena Steinke-Lange, Giovanni Innella, Daniela Turchetti, Valeria Barili, Maurizio Genuardi, Arianna Panfili, Margherita Baldassarri, Arvīds Irmejs, Mirjam M de Jong, Thera P Links, Edward M Leter, Daniëlle G M Bosch, Stephany H Donze, Rachel S van der Post, Arjen R Mensenkamp, Harm Westdorp, Hildegunn Høberg-Vetti, Marianne Tveit Haavind, Kjersti Jørgensen, Lovise Mæhle, Siri Briskemyr, Juliette Dupont Garcia, Ana Blatnik, Judith Balmaña, Maite Torres, Joan Brunet, Roser Lleuger-Pujol, Emma Tham, Marc Tischkowitz, D Gareth Evans, Zerin Hyder, Nicoline Hoogerbrugge, Janet R Vos\",\"doi\":\"10.1038/s44276-025-00157-y\",\"DOIUrl\":null,\"url\":null,\"abstract\":\"<p><strong>Background: </strong>PTEN hamartoma tumour syndrome (PHTS) patients have a high hereditary risk of cancer, especially breast (BC), endometrial (EC), and thyroid cancer (TC). However, the prognosis of PHTS-related cancers is unknown.</p><p><strong>Methods: </strong>This European cohort study included adult PHTS patients with data from medical files, registries, and/or questionnaires. Overall survival (OS) was assessed using Kaplan-Meier analyses and were compared with sporadic cancer and the general population using standardized mortality (SMR) and relative survival rates (RSR). Survival bias was addressed using left-truncation.</p><p><strong>Results: </strong>Overall, 147 BC patients were included. The 10y-OS was 77% (95%CI = 66-90), decreasing with increasing stage from 90% (95%CI = 73-100) for stage 0 to 0% (95%CI = 0-0) for stage IV. BC relative survival was comparable to sporadic BC in the first two years (2y-RSR = 1.1; 95%CI = 1.1-1.1) and increasing thereafter (5y-RSR = 1.7; 95%CI = 1.6-1.7). For TC (N = 56) and EC (N = 35), 10y-OS was 87% (95%CI = 74-100) and 64% (95%CI = 38-100), respectively. Overall and cancer-specific mortality in female PHTS patients exceeded general population rates (SMR = 3.7; 95%CI = 2.6-5.0 and SMR = 2.7; 95%CI = 1.6-4.4).</p><p><strong>Conclusions: </strong>The prognosis of PHTS-related cancers was comparable to the general population. The higher overall mortality in PHTS patients is presumably related to their higher cancer incidence. These findings, and the high survival observed in early-stage cancer, emphasise the importance of recognising PHTS early to facilitate cancer surveillance.</p>\",\"PeriodicalId\":519964,\"journal\":{\"name\":\"BJC reports\",\"volume\":\"3 1\",\"pages\":\"42\"},\"PeriodicalIF\":0.0000,\"publicationDate\":\"2025-06-04\",\"publicationTypes\":\"Journal Article\",\"fieldsOfStudy\":null,\"isOpenAccess\":false,\"openAccessPdf\":\"https://www.ncbi.nlm.nih.gov/pmc/articles/PMC12137667/pdf/\",\"citationCount\":\"0\",\"resultStr\":null,\"platform\":\"Semanticscholar\",\"paperid\":null,\"PeriodicalName\":\"BJC reports\",\"FirstCategoryId\":\"1085\",\"ListUrlMain\":\"https://doi.org/10.1038/s44276-025-00157-y\",\"RegionNum\":0,\"RegionCategory\":null,\"ArticlePicture\":[],\"TitleCN\":null,\"AbstractTextCN\":null,\"PMCID\":null,\"EPubDate\":\"\",\"PubModel\":\"\",\"JCR\":\"\",\"JCRName\":\"\",\"Score\":null,\"Total\":0}","platform":"Semanticscholar","paperid":null,"PeriodicalName":"BJC reports","FirstCategoryId":"1085","ListUrlMain":"https://doi.org/10.1038/s44276-025-00157-y","RegionNum":0,"RegionCategory":null,"ArticlePicture":[],"TitleCN":null,"AbstractTextCN":null,"PMCID":null,"EPubDate":"","PubModel":"","JCR":"","JCRName":"","Score":null,"Total":0}
引用次数: 0

摘要

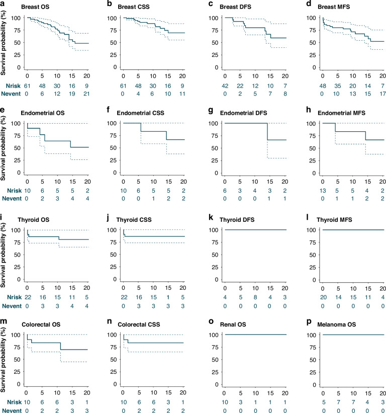
背景:PTEN错构瘤肿瘤综合征(PHTS)患者具有较高的癌症遗传风险,尤其是乳腺癌(BC)、子宫内膜癌(EC)和甲状腺癌(TC)。然而,phts相关癌症的预后尚不清楚。方法:这项欧洲队列研究纳入了来自医疗档案、登记处和/或问卷调查的成年PHTS患者。使用Kaplan-Meier分析评估总生存期(OS),并使用标准化死亡率(SMR)和相对生存率(RSR)与散发性癌症和一般人群进行比较。采用左截尾法解决生存偏倚问题。结果:总共纳入147例BC患者。10y-OS为77% (95%CI = 66-90),随着分期的增加,从0期的90% (95%CI = 73-100)下降到IV期的0% (95%CI = 0-0)。BC的相对生存率与前两年的散发性BC相当(2y-RSR = 1.1;95%CI = 1.1 ~ 1.1),此后逐渐增加(5y-RSR = 1.7;95%ci = 1.6-1.7)。TC (N = 56)和EC (N = 35), 10 y-os为87% (95% ci = 74 - 100)和64% (95% ci = 38 - 100),分别。女性PHTS患者的总体死亡率和癌症特异性死亡率高于一般人群(SMR = 3.7;95%CI = 2.6 ~ 5.0, SMR = 2.7;95%ci = 1.6-4.4)。结论:phts相关癌症的预后与一般人群相当。PHTS患者较高的总死亡率可能与他们较高的癌症发病率有关。这些发现,以及在早期癌症中观察到的高存活率,强调了早期识别PHTS以促进癌症监测的重要性。
本文章由计算机程序翻译,如有差异,请以英文原文为准。

Cancer prognosis and treatment results in patients with PTEN Hamartoma Tumour Syndrome (PHTS)-a European cohort study.

Cancer prognosis and treatment results in patients with PTEN Hamartoma Tumour Syndrome (PHTS)-a European cohort study.

Cancer prognosis and treatment results in patients with PTEN Hamartoma Tumour Syndrome (PHTS)-a European cohort study.

Cancer prognosis and treatment results in patients with PTEN Hamartoma Tumour Syndrome (PHTS)-a European cohort study.

Background: PTEN hamartoma tumour syndrome (PHTS) patients have a high hereditary risk of cancer, especially breast (BC), endometrial (EC), and thyroid cancer (TC). However, the prognosis of PHTS-related cancers is unknown.

Methods: This European cohort study included adult PHTS patients with data from medical files, registries, and/or questionnaires. Overall survival (OS) was assessed using Kaplan-Meier analyses and were compared with sporadic cancer and the general population using standardized mortality (SMR) and relative survival rates (RSR). Survival bias was addressed using left-truncation.

Results: Overall, 147 BC patients were included. The 10y-OS was 77% (95%CI = 66-90), decreasing with increasing stage from 90% (95%CI = 73-100) for stage 0 to 0% (95%CI = 0-0) for stage IV. BC relative survival was comparable to sporadic BC in the first two years (2y-RSR = 1.1; 95%CI = 1.1-1.1) and increasing thereafter (5y-RSR = 1.7; 95%CI = 1.6-1.7). For TC (N = 56) and EC (N = 35), 10y-OS was 87% (95%CI = 74-100) and 64% (95%CI = 38-100), respectively. Overall and cancer-specific mortality in female PHTS patients exceeded general population rates (SMR = 3.7; 95%CI = 2.6-5.0 and SMR = 2.7; 95%CI = 1.6-4.4).

Conclusions: The prognosis of PHTS-related cancers was comparable to the general population. The higher overall mortality in PHTS patients is presumably related to their higher cancer incidence. These findings, and the high survival observed in early-stage cancer, emphasise the importance of recognising PHTS early to facilitate cancer surveillance.

求助全文
通过发布文献求助,成功后即可免费获取论文全文。 去求助
来源期刊
自引率
0.00%
发文量
0
×
引用
GB/T 7714-2015
复制
MLA
复制
APA
复制
导出至
BibTeX EndNote RefMan NoteFirst NoteExpress
×
提示
您的信息不完整,为了账户安全,请先补充。
现在去补充
×
提示
您因"违规操作"
具体请查看互助需知
我知道了
×
提示
确定
请完成安全验证×
copy
已复制链接
快去分享给好友吧!
我知道了
右上角分享
点击右上角分享
0
联系我们:info@booksci.cn Book学术提供免费学术资源搜索服务,方便国内外学者检索中英文文献。致力于提供最便捷和优质的服务体验。 Copyright © 2023 布克学术 All rights reserved.
京ICP备2023020795号-1
ghs 京公网安备 11010802042870号
Book学术文献互助
Book学术文献互助群
群 号:604180095
Book学术官方微信