评估生物学研究生的教学专业发展计划如何增强自我效能感和塑造教学观点。

IF 1.5 Q2 EDUCATION, SCIENTIFIC DISCIPLINES
Journal of Microbiology & Biology Education Pub Date : 2025-08-21 Epub Date: 2025-06-05 DOI:10.1128/jmbe.00008-25
Anisha S Navlekar, Nia Baker, Mackenzie Ghaemmaghami, Imani Obasi, Sochinenyenwa Onubogu, Cassandra O'Pry, Robert Posey, Jessica Tan, Karen Walulu, Joshua W Reid, Lisa B Limeri
{"title":"评估生物学研究生的教学专业发展计划如何增强自我效能感和塑造教学观点。","authors":"Anisha S Navlekar, Nia Baker, Mackenzie Ghaemmaghami, Imani Obasi, Sochinenyenwa Onubogu, Cassandra O'Pry, Robert Posey, Jessica Tan, Karen Walulu, Joshua W Reid, Lisa B Limeri","doi":"10.1128/jmbe.00008-25","DOIUrl":null,"url":null,"abstract":"<p><p>Graduate teaching assistants (GTAs) teach undergraduates directly, and many are future faculty, making it particularly important for them to be trained in using evidence-based instructional practices. We implemented and assessed a teaching professional development program for 19 biology GTAs aimed to help them develop their teaching perspectives and improve their teaching self-efficacy. The program consisted of a pre-semester bootcamp of pedagogical workshops, mentoring sessions throughout the semester, crafting a teaching philosophy statement, and reflective peer teaching observation. We surveyed and interviewed students throughout the program to assess their growth and identify elements of the program that supported their growth. We found that participants' self-efficacy improved immediately following the pre-semester bootcamp, but these improvements did not persist throughout the semester. At the end of the semester, participants' teaching self-efficacy did not differ from GTAs in the department who did not participate in our program. Throughout the semester, our participants shifted toward the social reform perspective of teaching, which views good teaching as encouraging students to critically evaluate information and give them power to take social action to improve their lives. At the end of the semester, our participants more strongly endorsed the social reform perspective of teaching than GTAs who did not participate in our program. Our results suggest that pre-semester workshops supported novice GTAs before their class, but more sustained interactions may be needed for these boosts to persist. Our results also suggest that encouraging GTAs to reflect on what makes good teaching can help them solidify a coherent teaching perspective.</p>","PeriodicalId":46416,"journal":{"name":"Journal of Microbiology & Biology Education","volume":" ","pages":"e0000825"},"PeriodicalIF":1.5000,"publicationDate":"2025-08-21","publicationTypes":"Journal Article","fieldsOfStudy":null,"isOpenAccess":false,"openAccessPdf":"https://www.ncbi.nlm.nih.gov/pmc/articles/PMC12369321/pdf/","citationCount":"0","resultStr":"{\"title\":\"Assessing how a teaching professional development program for biology graduate students bolsters self-efficacy and shapes teaching perspectives.\",\"authors\":\"Anisha S Navlekar, Nia Baker, Mackenzie Ghaemmaghami, Imani Obasi, Sochinenyenwa Onubogu, Cassandra O'Pry, Robert Posey, Jessica Tan, Karen Walulu, Joshua W Reid, Lisa B Limeri\",\"doi\":\"10.1128/jmbe.00008-25\",\"DOIUrl\":null,\"url\":null,\"abstract\":\"<p><p>Graduate teaching assistants (GTAs) teach undergraduates directly, and many are future faculty, making it particularly important for them to be trained in using evidence-based instructional practices. We implemented and assessed a teaching professional development program for 19 biology GTAs aimed to help them develop their teaching perspectives and improve their teaching self-efficacy. The program consisted of a pre-semester bootcamp of pedagogical workshops, mentoring sessions throughout the semester, crafting a teaching philosophy statement, and reflective peer teaching observation. We surveyed and interviewed students throughout the program to assess their growth and identify elements of the program that supported their growth. We found that participants' self-efficacy improved immediately following the pre-semester bootcamp, but these improvements did not persist throughout the semester. At the end of the semester, participants' teaching self-efficacy did not differ from GTAs in the department who did not participate in our program. Throughout the semester, our participants shifted toward the social reform perspective of teaching, which views good teaching as encouraging students to critically evaluate information and give them power to take social action to improve their lives. At the end of the semester, our participants more strongly endorsed the social reform perspective of teaching than GTAs who did not participate in our program. Our results suggest that pre-semester workshops supported novice GTAs before their class, but more sustained interactions may be needed for these boosts to persist. Our results also suggest that encouraging GTAs to reflect on what makes good teaching can help them solidify a coherent teaching perspective.</p>\",\"PeriodicalId\":46416,\"journal\":{\"name\":\"Journal of Microbiology & Biology Education\",\"volume\":\" \",\"pages\":\"e0000825\"},\"PeriodicalIF\":1.5000,\"publicationDate\":\"2025-08-21\",\"publicationTypes\":\"Journal Article\",\"fieldsOfStudy\":null,\"isOpenAccess\":false,\"openAccessPdf\":\"https://www.ncbi.nlm.nih.gov/pmc/articles/PMC12369321/pdf/\",\"citationCount\":\"0\",\"resultStr\":null,\"platform\":\"Semanticscholar\",\"paperid\":null,\"PeriodicalName\":\"Journal of Microbiology & Biology Education\",\"FirstCategoryId\":\"1085\",\"ListUrlMain\":\"https://doi.org/10.1128/jmbe.00008-25\",\"RegionNum\":0,\"RegionCategory\":null,\"ArticlePicture\":[],\"TitleCN\":null,\"AbstractTextCN\":null,\"PMCID\":null,\"EPubDate\":\"2025/6/5 0:00:00\",\"PubModel\":\"Epub\",\"JCR\":\"Q2\",\"JCRName\":\"EDUCATION, SCIENTIFIC DISCIPLINES\",\"Score\":null,\"Total\":0}","platform":"Semanticscholar","paperid":null,"PeriodicalName":"Journal of Microbiology & Biology Education","FirstCategoryId":"1085","ListUrlMain":"https://doi.org/10.1128/jmbe.00008-25","RegionNum":0,"RegionCategory":null,"ArticlePicture":[],"TitleCN":null,"AbstractTextCN":null,"PMCID":null,"EPubDate":"2025/6/5 0:00:00","PubModel":"Epub","JCR":"Q2","JCRName":"EDUCATION, SCIENTIFIC DISCIPLINES","Score":null,"Total":0}
引用次数: 0

摘要

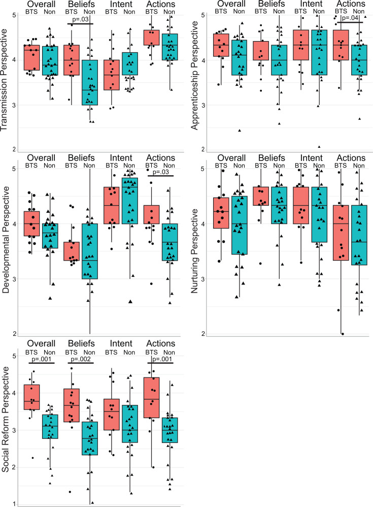
研究生助教(GTAs)直接教授本科生,其中许多人是未来的教师,因此对他们进行基于证据的教学实践培训尤为重要。我们对19位生物助教实施并评估了教学专业发展计划,旨在帮助他们发展教学视角,提高教学自我效能感。该计划包括一个学期前的教学研讨会训练营,整个学期的指导会议,制定教学理念声明,以及反思同伴教学观察。我们在整个项目中对学生进行了调查和采访,以评估他们的成长,并确定支持他们成长的项目要素。我们发现参与者的自我效能感在学期前训练营后立即得到改善,但这些改善并没有持续整个学期。在学期结束时,参与者的教学自我效能感与未参加我们项目的部门gta没有差异。在整个学期中,我们的参与者转向了社会改革的教学观点,即认为好的教学应该鼓励学生批判性地评估信息,并赋予他们采取社会行动改善生活的权力。在学期结束时,我们的参与者比没有参加我们项目的gta更强烈地支持社会改革的教学观点。我们的研究结果表明,在上课之前,学期前的研讨会对新手gta有帮助,但可能需要更持久的互动才能持续下去。我们的研究结果还表明,鼓励gta反思什么是好的教学,可以帮助他们巩固连贯的教学观点。
本文章由计算机程序翻译,如有差异,请以英文原文为准。

Assessing how a teaching professional development program for biology graduate students bolsters self-efficacy and shapes teaching perspectives.

Assessing how a teaching professional development program for biology graduate students bolsters self-efficacy and shapes teaching perspectives.

Assessing how a teaching professional development program for biology graduate students bolsters self-efficacy and shapes teaching perspectives.

Assessing how a teaching professional development program for biology graduate students bolsters self-efficacy and shapes teaching perspectives.

Graduate teaching assistants (GTAs) teach undergraduates directly, and many are future faculty, making it particularly important for them to be trained in using evidence-based instructional practices. We implemented and assessed a teaching professional development program for 19 biology GTAs aimed to help them develop their teaching perspectives and improve their teaching self-efficacy. The program consisted of a pre-semester bootcamp of pedagogical workshops, mentoring sessions throughout the semester, crafting a teaching philosophy statement, and reflective peer teaching observation. We surveyed and interviewed students throughout the program to assess their growth and identify elements of the program that supported their growth. We found that participants' self-efficacy improved immediately following the pre-semester bootcamp, but these improvements did not persist throughout the semester. At the end of the semester, participants' teaching self-efficacy did not differ from GTAs in the department who did not participate in our program. Throughout the semester, our participants shifted toward the social reform perspective of teaching, which views good teaching as encouraging students to critically evaluate information and give them power to take social action to improve their lives. At the end of the semester, our participants more strongly endorsed the social reform perspective of teaching than GTAs who did not participate in our program. Our results suggest that pre-semester workshops supported novice GTAs before their class, but more sustained interactions may be needed for these boosts to persist. Our results also suggest that encouraging GTAs to reflect on what makes good teaching can help them solidify a coherent teaching perspective.

求助全文
通过发布文献求助,成功后即可免费获取论文全文。 去求助
来源期刊
Journal of Microbiology & Biology Education
Journal of Microbiology & Biology Education EDUCATION, SCIENTIFIC DISCIPLINES-
CiteScore
3.00
自引率
26.30%
发文量
95
审稿时长
22 weeks
×
引用
GB/T 7714-2015
复制
MLA
复制
APA
复制
导出至
BibTeX EndNote RefMan NoteFirst NoteExpress
×
提示
您的信息不完整,为了账户安全,请先补充。
现在去补充
×
提示
您因"违规操作"
具体请查看互助需知
我知道了
×
提示
确定
请完成安全验证×
copy
已复制链接
快去分享给好友吧!
我知道了
右上角分享
点击右上角分享
0
联系我们:info@booksci.cn Book学术提供免费学术资源搜索服务,方便国内外学者检索中英文文献。致力于提供最便捷和优质的服务体验。 Copyright © 2023 布克学术 All rights reserved.
京ICP备2023020795号-1
ghs 京公网安备 11010802042870号
Book学术文献互助
Book学术文献互助群
群 号:604180095
Book学术官方微信