巨细胞病毒DNA定量的实验室间变异:对标准化和临床监测的影响。

IF 5.4 2区 医学 Q1 MICROBIOLOGY
Journal of Clinical Microbiology Pub Date : 2025-07-09 Epub Date: 2025-06-05 DOI:10.1128/jcm.01911-24
D Boutolleau, A-S L'Honneur, R Germi, B Chanzy, C Archimbaud-Jallat, C Rzadkowolski, J B Raimbourg, D Gauthier, V Thibault
{"title":"巨细胞病毒DNA定量的实验室间变异:对标准化和临床监测的影响。","authors":"D Boutolleau, A-S L'Honneur, R Germi, B Chanzy, C Archimbaud-Jallat, C Rzadkowolski, J B Raimbourg, D Gauthier, V Thibault","doi":"10.1128/jcm.01911-24","DOIUrl":null,"url":null,"abstract":"<p><p>Cytomegalovirus (CMV) infection monitoring is a key element in the management of immunocompromised patients. CMV DNA quantification in plasma or whole blood is the best indicator for clinicians to adjust immunosuppressive or antiviral therapies. Despite the availability of internationally standardized material, the commutability of CMV quantification results across laboratories remains inadequate. To assess inter-laboratory variability in CMV DNA quantification, we conducted a blinded study in seven independent laboratories. Each participant received a panel of 92 specimens for CMV quantification using their routinely used standard platform. While quantifications were highly correlated and reproducible, large discrepancies were observed with differences up to 1.45 log<sub>10</sub> IU/mL between techniques for identical specimens. However, quantification scattering was lower for the World Health Organization (WHO) international standard or a commercially tested control (interquartile range = 0.129) than for clinical specimens (0.469; <i>P</i> = 0.0142). Blind quantification of the WHO or the commercial standard indicated that all techniques, except for fully integrated platforms, did not align well with the expected values, and most platforms tended to quantify specimens and standards differently. Recalibration of all platforms against the same standard improved the spread of results, but differences of up to 1.19 log<sub>10</sub> IU/mL remained for the same specimens. Achieving commutability in CMV quantification remains an elusive goal. Efforts should focus on improving both the assay calibrators and the run controls, which currently do not appear to simulate the unique characteristics of circulating CMV in patients. Until this is resolved, each transplanted patient should be consistently monitored by the same laboratory on the same platform.IMPORTANCEOur conclusions support previous work on this topic describing the diversity of circulating cytomegalovirus (CMV) DNA forms and the difficulties in standardizing CMV viral load (VL) measurement. The inter-assay reproducibility of CMV VL measurement is primarily influenced by the extraction procedure and the amplicon size generated by the technique. Viral standards generated from cell culture supernatant do not reflect circulating CMV forms from patient samples. We highlight the need to develop a new international standard that better reflects the circulating forms of CMV and demonstrate the risk of tracking a patient's CMV VL in different laboratories.</p>","PeriodicalId":15511,"journal":{"name":"Journal of Clinical Microbiology","volume":" ","pages":"e0191124"},"PeriodicalIF":5.4000,"publicationDate":"2025-07-09","publicationTypes":"Journal Article","fieldsOfStudy":null,"isOpenAccess":false,"openAccessPdf":"https://www.ncbi.nlm.nih.gov/pmc/articles/PMC12239724/pdf/","citationCount":"0","resultStr":"{\"title\":\"Inter-laboratory variability in cytomegalovirus DNA quantification: implications for standardization and clinical monitoring.\",\"authors\":\"D Boutolleau, A-S L'Honneur, R Germi, B Chanzy, C Archimbaud-Jallat, C Rzadkowolski, J B Raimbourg, D Gauthier, V Thibault\",\"doi\":\"10.1128/jcm.01911-24\",\"DOIUrl\":null,\"url\":null,\"abstract\":\"<p><p>Cytomegalovirus (CMV) infection monitoring is a key element in the management of immunocompromised patients. CMV DNA quantification in plasma or whole blood is the best indicator for clinicians to adjust immunosuppressive or antiviral therapies. Despite the availability of internationally standardized material, the commutability of CMV quantification results across laboratories remains inadequate. To assess inter-laboratory variability in CMV DNA quantification, we conducted a blinded study in seven independent laboratories. Each participant received a panel of 92 specimens for CMV quantification using their routinely used standard platform. While quantifications were highly correlated and reproducible, large discrepancies were observed with differences up to 1.45 log<sub>10</sub> IU/mL between techniques for identical specimens. However, quantification scattering was lower for the World Health Organization (WHO) international standard or a commercially tested control (interquartile range = 0.129) than for clinical specimens (0.469; <i>P</i> = 0.0142). Blind quantification of the WHO or the commercial standard indicated that all techniques, except for fully integrated platforms, did not align well with the expected values, and most platforms tended to quantify specimens and standards differently. Recalibration of all platforms against the same standard improved the spread of results, but differences of up to 1.19 log<sub>10</sub> IU/mL remained for the same specimens. Achieving commutability in CMV quantification remains an elusive goal. Efforts should focus on improving both the assay calibrators and the run controls, which currently do not appear to simulate the unique characteristics of circulating CMV in patients. Until this is resolved, each transplanted patient should be consistently monitored by the same laboratory on the same platform.IMPORTANCEOur conclusions support previous work on this topic describing the diversity of circulating cytomegalovirus (CMV) DNA forms and the difficulties in standardizing CMV viral load (VL) measurement. The inter-assay reproducibility of CMV VL measurement is primarily influenced by the extraction procedure and the amplicon size generated by the technique. Viral standards generated from cell culture supernatant do not reflect circulating CMV forms from patient samples. We highlight the need to develop a new international standard that better reflects the circulating forms of CMV and demonstrate the risk of tracking a patient's CMV VL in different laboratories.</p>\",\"PeriodicalId\":15511,\"journal\":{\"name\":\"Journal of Clinical Microbiology\",\"volume\":\" \",\"pages\":\"e0191124\"},\"PeriodicalIF\":5.4000,\"publicationDate\":\"2025-07-09\",\"publicationTypes\":\"Journal Article\",\"fieldsOfStudy\":null,\"isOpenAccess\":false,\"openAccessPdf\":\"https://www.ncbi.nlm.nih.gov/pmc/articles/PMC12239724/pdf/\",\"citationCount\":\"0\",\"resultStr\":null,\"platform\":\"Semanticscholar\",\"paperid\":null,\"PeriodicalName\":\"Journal of Clinical Microbiology\",\"FirstCategoryId\":\"3\",\"ListUrlMain\":\"https://doi.org/10.1128/jcm.01911-24\",\"RegionNum\":2,\"RegionCategory\":\"医学\",\"ArticlePicture\":[],\"TitleCN\":null,\"AbstractTextCN\":null,\"PMCID\":null,\"EPubDate\":\"2025/6/5 0:00:00\",\"PubModel\":\"Epub\",\"JCR\":\"Q1\",\"JCRName\":\"MICROBIOLOGY\",\"Score\":null,\"Total\":0}","platform":"Semanticscholar","paperid":null,"PeriodicalName":"Journal of Clinical Microbiology","FirstCategoryId":"3","ListUrlMain":"https://doi.org/10.1128/jcm.01911-24","RegionNum":2,"RegionCategory":"医学","ArticlePicture":[],"TitleCN":null,"AbstractTextCN":null,"PMCID":null,"EPubDate":"2025/6/5 0:00:00","PubModel":"Epub","JCR":"Q1","JCRName":"MICROBIOLOGY","Score":null,"Total":0}
引用次数: 0

摘要

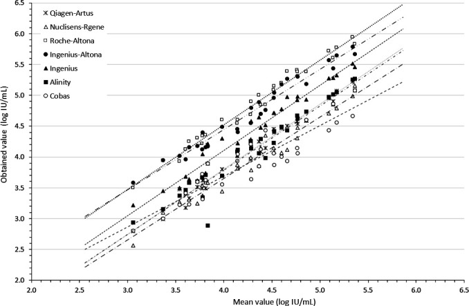
巨细胞病毒(CMV)感染监测是免疫功能低下患者管理的关键因素。血浆或全血CMV DNA定量是临床医生调整免疫抑制或抗病毒治疗的最佳指标。尽管有国际标准化的材料,但CMV定量结果在实验室之间的可交换性仍然不足。为了评估CMV DNA定量的实验室间变异性,我们在7个独立实验室进行了一项盲法研究。每个参与者使用常规使用的标准平台接收92个样本进行巨细胞病毒定量。虽然定量结果高度相关且可重复,但在相同样品的不同技术之间观察到较大差异,差异高达1.45 log10 IU/mL。然而,世界卫生组织(WHO)国际标准或商业检测对照的定量散射(四分位数间距= 0.129)低于临床标本(0.469;P = 0.0142)。对WHO或商业标准的盲目量化表明,除完全集成的平台外,所有技术都与期望值不太一致,大多数平台倾向于对标本和标准进行不同的量化。根据同一标准对所有平台进行重新校准,提高了结果的广谱性,但对于相同的标本,差异仍然高达1.19 log10 IU/mL。在CMV量化中实现可交换性仍然是一个难以捉摸的目标。努力应集中在改进测定校定器和运行控制,目前似乎不能模拟患者循环CMV的独特特征。在解决这个问题之前,每个移植患者都应该在同一实验室的同一平台上进行持续监测。我们的结论支持了先前关于循环巨细胞病毒(CMV) DNA形式多样性和CMV病毒载量(VL)测量标准化困难的研究。CMV VL测定的测定间重复性主要受提取程序和扩增子大小的影响。由细胞培养上清产生的病毒标准不能反映来自患者样本的循环巨细胞病毒形式。我们强调需要制定一种新的国际标准,以更好地反映CMV的循环形式,并证明在不同实验室跟踪患者CMV VL的风险。
本文章由计算机程序翻译,如有差异,请以英文原文为准。

Inter-laboratory variability in cytomegalovirus DNA quantification: implications for standardization and clinical monitoring.

Inter-laboratory variability in cytomegalovirus DNA quantification: implications for standardization and clinical monitoring.

Inter-laboratory variability in cytomegalovirus DNA quantification: implications for standardization and clinical monitoring.

Inter-laboratory variability in cytomegalovirus DNA quantification: implications for standardization and clinical monitoring.

Cytomegalovirus (CMV) infection monitoring is a key element in the management of immunocompromised patients. CMV DNA quantification in plasma or whole blood is the best indicator for clinicians to adjust immunosuppressive or antiviral therapies. Despite the availability of internationally standardized material, the commutability of CMV quantification results across laboratories remains inadequate. To assess inter-laboratory variability in CMV DNA quantification, we conducted a blinded study in seven independent laboratories. Each participant received a panel of 92 specimens for CMV quantification using their routinely used standard platform. While quantifications were highly correlated and reproducible, large discrepancies were observed with differences up to 1.45 log10 IU/mL between techniques for identical specimens. However, quantification scattering was lower for the World Health Organization (WHO) international standard or a commercially tested control (interquartile range = 0.129) than for clinical specimens (0.469; P = 0.0142). Blind quantification of the WHO or the commercial standard indicated that all techniques, except for fully integrated platforms, did not align well with the expected values, and most platforms tended to quantify specimens and standards differently. Recalibration of all platforms against the same standard improved the spread of results, but differences of up to 1.19 log10 IU/mL remained for the same specimens. Achieving commutability in CMV quantification remains an elusive goal. Efforts should focus on improving both the assay calibrators and the run controls, which currently do not appear to simulate the unique characteristics of circulating CMV in patients. Until this is resolved, each transplanted patient should be consistently monitored by the same laboratory on the same platform.IMPORTANCEOur conclusions support previous work on this topic describing the diversity of circulating cytomegalovirus (CMV) DNA forms and the difficulties in standardizing CMV viral load (VL) measurement. The inter-assay reproducibility of CMV VL measurement is primarily influenced by the extraction procedure and the amplicon size generated by the technique. Viral standards generated from cell culture supernatant do not reflect circulating CMV forms from patient samples. We highlight the need to develop a new international standard that better reflects the circulating forms of CMV and demonstrate the risk of tracking a patient's CMV VL in different laboratories.

求助全文
通过发布文献求助,成功后即可免费获取论文全文。 去求助
来源期刊
Journal of Clinical Microbiology
Journal of Clinical Microbiology 医学-微生物学
CiteScore
17.10
自引率
4.30%
发文量
347
审稿时长
3 months
期刊介绍: The Journal of Clinical Microbiology® disseminates the latest research concerning the laboratory diagnosis of human and animal infections, along with the laboratory's role in epidemiology and the management of infectious diseases.
×
引用
GB/T 7714-2015
复制
MLA
复制
APA
复制
导出至
BibTeX EndNote RefMan NoteFirst NoteExpress
×
提示
您的信息不完整,为了账户安全,请先补充。
现在去补充
×
提示
您因"违规操作"
具体请查看互助需知
我知道了
×
提示
确定
请完成安全验证×
copy
已复制链接
快去分享给好友吧!
我知道了
右上角分享
点击右上角分享
0
联系我们:info@booksci.cn Book学术提供免费学术资源搜索服务,方便国内外学者检索中英文文献。致力于提供最便捷和优质的服务体验。 Copyright © 2023 布克学术 All rights reserved.
京ICP备2023020795号-1
ghs 京公网安备 11010802042870号
Book学术文献互助
Book学术文献互助群
群 号:604180095
Book学术官方微信