电离辐射下医护人员血液学参数的三相剂量反应。

IF 2.4 4区 医学 Q3 PHARMACOLOGY & PHARMACY
Dose-Response Pub Date : 2025-06-03 eCollection Date: 2025-04-01 DOI:10.1177/15593258251344986
Veruscka Leso, Luca Fontana, Daniela Pacella, Giuseppe Barbato, Vincenzo Della Puca, Edward J Calabrese, Ivo Iavicoli
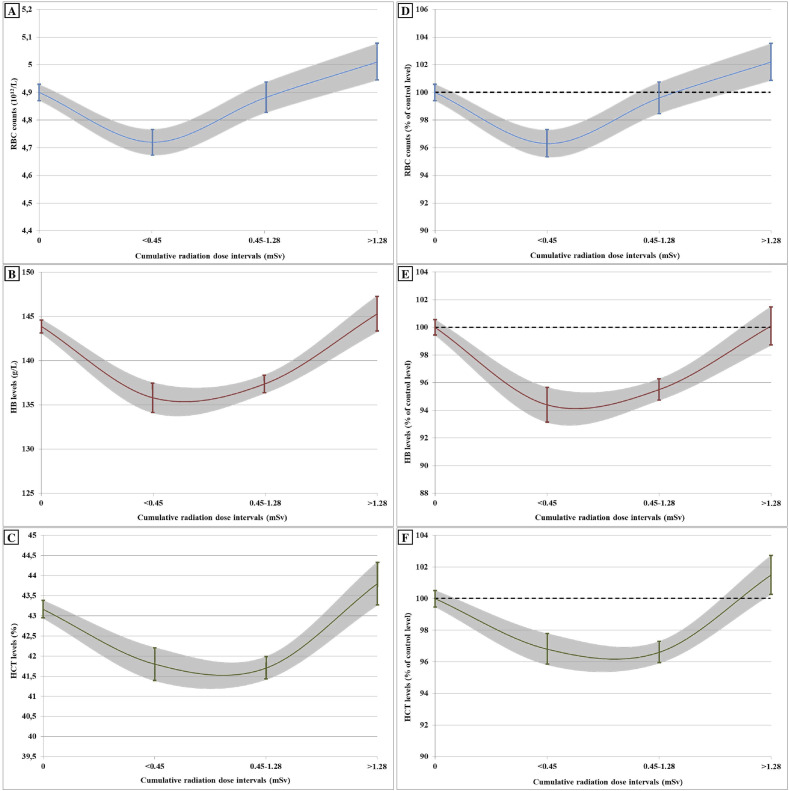
{"title":"电离辐射下医护人员血液学参数的三相剂量反应。","authors":"Veruscka Leso, Luca Fontana, Daniela Pacella, Giuseppe Barbato, Vincenzo Della Puca, Edward J Calabrese, Ivo Iavicoli","doi":"10.1177/15593258251344986","DOIUrl":null,"url":null,"abstract":"<p><p><b>Objectives:</b> To investigate the impact of chronic and low-dose ionizing radiation (IR) exposure on the workers' hematopoietic system. <b>Methods:</b> Hematological parameters in IR exposed healthcare workers (n. 180) were compared to those determined in unexposed controls (n. 180). The relationship with the 5-year cumulative doses: <0.45; 0.45-1.28 and >1.28 mSv, was assessed. <b>Results:</b> Red blood cells (RBCs), hemoglobin (HB) and hematocrit (HCT) showed significant differences compared to controls. A non-linear relationship was determined with respect to the cumulative doses. RBCs showed a significant decrease at the first <0.45 mSv IR-dose compared to controls (4.72 ± 0.31 vs 4.90 ± 0.38 × 10<sup>12</sup>/L; <i>P</i> = .013) with a rising trend, although not significant, at the two highest doses. Comparably, at the two lowest doses, HB (135.8 ± 11.3, <i>P</i> < .001 and 137.4 ± 10.1 g/L, <i>P</i> < .001) and HCT (41.8 ± 2.7, <i>P</i> < .005 and 41.7 ± 2.7%, <i>P</i> < .001) significantly decreased compared to controls (143.9 ± 10.6 g/L and 43.16 ± 2.95%, respectively), while not significantly increased at the >1.28 mSv highest one. <b>Conclusions:</b> IR exposure affected the hematopoietic system according to an hormetic phenomenon, intended as a biphasic dose-response with a low-dose stimulation and a high-dose inhibition, and, potentially, through a triphasic dose-response. These results deserve attention to define/implement suitable IR occupational risk assessment and management strategies.</p>","PeriodicalId":11285,"journal":{"name":"Dose-Response","volume":"23 2","pages":"15593258251344986"},"PeriodicalIF":2.4000,"publicationDate":"2025-06-03","publicationTypes":"Journal Article","fieldsOfStudy":null,"isOpenAccess":false,"openAccessPdf":"https://www.ncbi.nlm.nih.gov/pmc/articles/PMC12134515/pdf/","citationCount":"0","resultStr":"{\"title\":\"Triphasic Dose-Response of Hematological Parameters in Healthcare Workers Exposed to Ionizing Radiations.\",\"authors\":\"Veruscka Leso, Luca Fontana, Daniela Pacella, Giuseppe Barbato, Vincenzo Della Puca, Edward J Calabrese, Ivo Iavicoli\",\"doi\":\"10.1177/15593258251344986\",\"DOIUrl\":null,\"url\":null,\"abstract\":\"<p><p><b>Objectives:</b> To investigate the impact of chronic and low-dose ionizing radiation (IR) exposure on the workers' hematopoietic system. <b>Methods:</b> Hematological parameters in IR exposed healthcare workers (n. 180) were compared to those determined in unexposed controls (n. 180). The relationship with the 5-year cumulative doses: <0.45; 0.45-1.28 and >1.28 mSv, was assessed. <b>Results:</b> Red blood cells (RBCs), hemoglobin (HB) and hematocrit (HCT) showed significant differences compared to controls. A non-linear relationship was determined with respect to the cumulative doses. RBCs showed a significant decrease at the first <0.45 mSv IR-dose compared to controls (4.72 ± 0.31 vs 4.90 ± 0.38 × 10<sup>12</sup>/L; <i>P</i> = .013) with a rising trend, although not significant, at the two highest doses. Comparably, at the two lowest doses, HB (135.8 ± 11.3, <i>P</i> < .001 and 137.4 ± 10.1 g/L, <i>P</i> < .001) and HCT (41.8 ± 2.7, <i>P</i> < .005 and 41.7 ± 2.7%, <i>P</i> < .001) significantly decreased compared to controls (143.9 ± 10.6 g/L and 43.16 ± 2.95%, respectively), while not significantly increased at the >1.28 mSv highest one. <b>Conclusions:</b> IR exposure affected the hematopoietic system according to an hormetic phenomenon, intended as a biphasic dose-response with a low-dose stimulation and a high-dose inhibition, and, potentially, through a triphasic dose-response. These results deserve attention to define/implement suitable IR occupational risk assessment and management strategies.</p>\",\"PeriodicalId\":11285,\"journal\":{\"name\":\"Dose-Response\",\"volume\":\"23 2\",\"pages\":\"15593258251344986\"},\"PeriodicalIF\":2.4000,\"publicationDate\":\"2025-06-03\",\"publicationTypes\":\"Journal Article\",\"fieldsOfStudy\":null,\"isOpenAccess\":false,\"openAccessPdf\":\"https://www.ncbi.nlm.nih.gov/pmc/articles/PMC12134515/pdf/\",\"citationCount\":\"0\",\"resultStr\":null,\"platform\":\"Semanticscholar\",\"paperid\":null,\"PeriodicalName\":\"Dose-Response\",\"FirstCategoryId\":\"3\",\"ListUrlMain\":\"https://doi.org/10.1177/15593258251344986\",\"RegionNum\":4,\"RegionCategory\":\"医学\",\"ArticlePicture\":[],\"TitleCN\":null,\"AbstractTextCN\":null,\"PMCID\":null,\"EPubDate\":\"2025/4/1 0:00:00\",\"PubModel\":\"eCollection\",\"JCR\":\"Q3\",\"JCRName\":\"PHARMACOLOGY & PHARMACY\",\"Score\":null,\"Total\":0}","platform":"Semanticscholar","paperid":null,"PeriodicalName":"Dose-Response","FirstCategoryId":"3","ListUrlMain":"https://doi.org/10.1177/15593258251344986","RegionNum":4,"RegionCategory":"医学","ArticlePicture":[],"TitleCN":null,"AbstractTextCN":null,"PMCID":null,"EPubDate":"2025/4/1 0:00:00","PubModel":"eCollection","JCR":"Q3","JCRName":"PHARMACOLOGY & PHARMACY","Score":null,"Total":0}
引用次数: 0

摘要

目的:探讨慢性低剂量电离辐射(IR)对工人造血系统的影响。方法:将暴露于IR的卫生保健工作者(180人)的血液学参数与未暴露的对照组(180人)的血液学参数进行比较。评估了与5年累积剂量的关系:1.28毫西弗。结果:与对照组相比,红细胞(rbc)、血红蛋白(HB)和红细胞压积(HCT)有显著差异。在累积剂量方面确定了非线性关系。红细胞在前12/L显著降低;P = .013),在两个最高剂量时呈上升趋势,尽管不显著。相比之下,在两个最低剂量下,HB(135.8±11.3,P < 0.001和137.4±10.1 g/L, P < 0.001)和HCT(41.8±2.7,P < 0.005和41.7±2.7%,P < 0.001)与对照组(分别为143.9±10.6 g/L和43.16±2.95%)相比显著降低,而在bbb1.28 mSv最高剂量下无显著升高。结论:IR暴露根据一种激效现象影响了造血系统,这是一种低剂量刺激和高剂量抑制的双相剂量反应,并且可能是一种三相剂量反应。这些结果值得关注,以定义/实施合适的IR职业风险评估和管理策略。
本文章由计算机程序翻译,如有差异,请以英文原文为准。

Triphasic Dose-Response of Hematological Parameters in Healthcare Workers Exposed to Ionizing Radiations.

Triphasic Dose-Response of Hematological Parameters in Healthcare Workers Exposed to Ionizing Radiations.

Triphasic Dose-Response of Hematological Parameters in Healthcare Workers Exposed to Ionizing Radiations.

Triphasic Dose-Response of Hematological Parameters in Healthcare Workers Exposed to Ionizing Radiations.

Objectives: To investigate the impact of chronic and low-dose ionizing radiation (IR) exposure on the workers' hematopoietic system. Methods: Hematological parameters in IR exposed healthcare workers (n. 180) were compared to those determined in unexposed controls (n. 180). The relationship with the 5-year cumulative doses: <0.45; 0.45-1.28 and >1.28 mSv, was assessed. Results: Red blood cells (RBCs), hemoglobin (HB) and hematocrit (HCT) showed significant differences compared to controls. A non-linear relationship was determined with respect to the cumulative doses. RBCs showed a significant decrease at the first <0.45 mSv IR-dose compared to controls (4.72 ± 0.31 vs 4.90 ± 0.38 × 1012/L; P = .013) with a rising trend, although not significant, at the two highest doses. Comparably, at the two lowest doses, HB (135.8 ± 11.3, P < .001 and 137.4 ± 10.1 g/L, P < .001) and HCT (41.8 ± 2.7, P < .005 and 41.7 ± 2.7%, P < .001) significantly decreased compared to controls (143.9 ± 10.6 g/L and 43.16 ± 2.95%, respectively), while not significantly increased at the >1.28 mSv highest one. Conclusions: IR exposure affected the hematopoietic system according to an hormetic phenomenon, intended as a biphasic dose-response with a low-dose stimulation and a high-dose inhibition, and, potentially, through a triphasic dose-response. These results deserve attention to define/implement suitable IR occupational risk assessment and management strategies.

求助全文
通过发布文献求助,成功后即可免费获取论文全文。 去求助
来源期刊
Dose-Response
Dose-Response PHARMACOLOGY & PHARMACY-RADIOLOGY, NUCLEAR MEDICINE & MEDICAL IMAGING
CiteScore
4.90
自引率
4.00%
发文量
140
审稿时长
>12 weeks
期刊介绍: Dose-Response is an open access peer-reviewed online journal publishing original findings and commentaries on the occurrence of dose-response relationships across a broad range of disciplines. Particular interest focuses on experimental evidence providing mechanistic understanding of nonlinear dose-response relationships.
×
引用
GB/T 7714-2015
复制
MLA
复制
APA
复制
导出至
BibTeX EndNote RefMan NoteFirst NoteExpress
×
提示
您的信息不完整,为了账户安全,请先补充。
现在去补充
×
提示
您因"违规操作"
具体请查看互助需知
我知道了
×
提示
确定
请完成安全验证×
copy
已复制链接
快去分享给好友吧!
我知道了
右上角分享
点击右上角分享
0
联系我们:info@booksci.cn Book学术提供免费学术资源搜索服务,方便国内外学者检索中英文文献。致力于提供最便捷和优质的服务体验。 Copyright © 2023 布克学术 All rights reserved.
京ICP备2023020795号-1
ghs 京公网安备 11010802042870号
Book学术文献互助
Book学术文献互助群
群 号:604180095
Book学术官方微信