多囊卵巢综合征妇女的心脑血管事件风险:队列研究的最新荟萃分析

IF 1.3 Q4 OBSTETRICS & GYNECOLOGY
Seyedeh Tarlan Mirzohreh, Arina Ansari, Hana Piroti, Reza Khademi, Yalda Jahanbani, Parvin Bastani Alamdari
{"title":"多囊卵巢综合征妇女的心脑血管事件风险:队列研究的最新荟萃分析","authors":"Seyedeh Tarlan Mirzohreh, Arina Ansari, Hana Piroti, Reza Khademi, Yalda Jahanbani, Parvin Bastani Alamdari","doi":"10.4274/tjod.galenos.2025.04680","DOIUrl":null,"url":null,"abstract":"<p><p>Polycystic ovary syndrome (PCOS), affecting 5-10% of reproductive-aged women, is linked to metabolic disturbances such as insulin resistance, obesity, and lipid imbalance, which may elevate cardiovascular disease (CVD) risk. The relationship between PCOS and clinical cardiovascular events remains unclear. This meta-analysis evaluates the association between PCOS and cardiovascular and cerebrovascular events, including myocardial infarction (MI), stroke, ischemic heart disease (IHD), and overall CVD. We conducted a systematic review and meta-analysis of observational cohort studies published up to August 2024. Studies investigating the association between PCOS and cardiovascular or cerebrovascular events were included. Hazard ratios (HR) were used to assess mortality risk, while odds ratios (OR) evaluated CVD incidence. Statistical analyses were performed using STATA software, with publication bias assessed via funnel plots. Nineteen cohort studies, involving 1,222,912 participants, were analyzed. Women with PCOS had a significantly higher risk of stroke [OR: 1.89, 95% confidence interval (CI): 1.22-2.55]. However, no significant associations were found between PCOS and overall CVD (HR: 1.80, 95% CI: 5.43-9.04), MI (HR: 2.68, 95% CI: 0.69-4.82), or IHD (HR: 2.68, 95% CI: 0.69-4.67). Additionally, there was no significant increase in cardiovascular or all-cause mortality. This meta-analysis highlights that women with PCOS are at an increased risk of stroke, but no conclusive evidence links PCOS to other cardiovascular outcomes or mortality. Clinicians should prioritize stroke prevention in this population. Further large-scale, long-term studies are needed to clarify the cardiovascular risks associated with PCOS.</p>","PeriodicalId":45340,"journal":{"name":"Turkish Journal of Obstetrics and Gynecology","volume":"22 2","pages":"170-185"},"PeriodicalIF":1.3000,"publicationDate":"2025-06-04","publicationTypes":"Journal Article","fieldsOfStudy":null,"isOpenAccess":false,"openAccessPdf":"https://www.ncbi.nlm.nih.gov/pmc/articles/PMC12136119/pdf/","citationCount":"0","resultStr":"{\"title\":\"Risk of cardiovascular and cerebrovascular events in polycystic ovarian syndrome women: An updated meta-analysis of cohort studies.\",\"authors\":\"Seyedeh Tarlan Mirzohreh, Arina Ansari, Hana Piroti, Reza Khademi, Yalda Jahanbani, Parvin Bastani Alamdari\",\"doi\":\"10.4274/tjod.galenos.2025.04680\",\"DOIUrl\":null,\"url\":null,\"abstract\":\"<p><p>Polycystic ovary syndrome (PCOS), affecting 5-10% of reproductive-aged women, is linked to metabolic disturbances such as insulin resistance, obesity, and lipid imbalance, which may elevate cardiovascular disease (CVD) risk. The relationship between PCOS and clinical cardiovascular events remains unclear. This meta-analysis evaluates the association between PCOS and cardiovascular and cerebrovascular events, including myocardial infarction (MI), stroke, ischemic heart disease (IHD), and overall CVD. We conducted a systematic review and meta-analysis of observational cohort studies published up to August 2024. Studies investigating the association between PCOS and cardiovascular or cerebrovascular events were included. Hazard ratios (HR) were used to assess mortality risk, while odds ratios (OR) evaluated CVD incidence. Statistical analyses were performed using STATA software, with publication bias assessed via funnel plots. Nineteen cohort studies, involving 1,222,912 participants, were analyzed. Women with PCOS had a significantly higher risk of stroke [OR: 1.89, 95% confidence interval (CI): 1.22-2.55]. However, no significant associations were found between PCOS and overall CVD (HR: 1.80, 95% CI: 5.43-9.04), MI (HR: 2.68, 95% CI: 0.69-4.82), or IHD (HR: 2.68, 95% CI: 0.69-4.67). Additionally, there was no significant increase in cardiovascular or all-cause mortality. This meta-analysis highlights that women with PCOS are at an increased risk of stroke, but no conclusive evidence links PCOS to other cardiovascular outcomes or mortality. Clinicians should prioritize stroke prevention in this population. Further large-scale, long-term studies are needed to clarify the cardiovascular risks associated with PCOS.</p>\",\"PeriodicalId\":45340,\"journal\":{\"name\":\"Turkish Journal of Obstetrics and Gynecology\",\"volume\":\"22 2\",\"pages\":\"170-185\"},\"PeriodicalIF\":1.3000,\"publicationDate\":\"2025-06-04\",\"publicationTypes\":\"Journal Article\",\"fieldsOfStudy\":null,\"isOpenAccess\":false,\"openAccessPdf\":\"https://www.ncbi.nlm.nih.gov/pmc/articles/PMC12136119/pdf/\",\"citationCount\":\"0\",\"resultStr\":null,\"platform\":\"Semanticscholar\",\"paperid\":null,\"PeriodicalName\":\"Turkish Journal of Obstetrics and Gynecology\",\"FirstCategoryId\":\"1085\",\"ListUrlMain\":\"https://doi.org/10.4274/tjod.galenos.2025.04680\",\"RegionNum\":0,\"RegionCategory\":null,\"ArticlePicture\":[],\"TitleCN\":null,\"AbstractTextCN\":null,\"PMCID\":null,\"EPubDate\":\"\",\"PubModel\":\"\",\"JCR\":\"Q4\",\"JCRName\":\"OBSTETRICS & GYNECOLOGY\",\"Score\":null,\"Total\":0}","platform":"Semanticscholar","paperid":null,"PeriodicalName":"Turkish Journal of Obstetrics and Gynecology","FirstCategoryId":"1085","ListUrlMain":"https://doi.org/10.4274/tjod.galenos.2025.04680","RegionNum":0,"RegionCategory":null,"ArticlePicture":[],"TitleCN":null,"AbstractTextCN":null,"PMCID":null,"EPubDate":"","PubModel":"","JCR":"Q4","JCRName":"OBSTETRICS & GYNECOLOGY","Score":null,"Total":0}
引用次数: 0

摘要

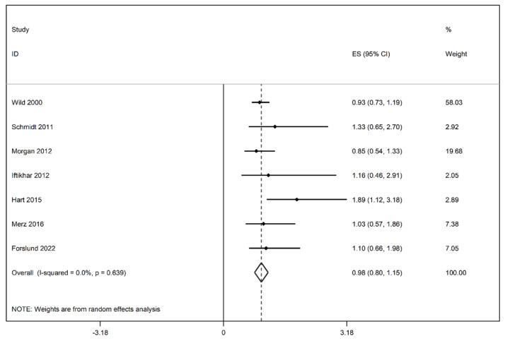
多囊卵巢综合征(PCOS)影响5-10%的育龄妇女,与胰岛素抵抗、肥胖和脂质失衡等代谢紊乱有关,这可能会增加心血管疾病(CVD)的风险。PCOS与临床心血管事件的关系尚不清楚。这项荟萃分析评估了PCOS与心脑血管事件(包括心肌梗死(MI)、中风、缺血性心脏病(IHD)和总体CVD)之间的关系。我们对截至2024年8月发表的观察性队列研究进行了系统回顾和荟萃分析。研究多囊卵巢综合征与心脑血管事件之间的关系。使用危险比(HR)评估死亡风险,而优势比(OR)评估心血管疾病发生率。采用STATA软件进行统计分析,通过漏斗图评估发表偏倚。19项队列研究,涉及1,222,912名参与者,进行了分析。患有多囊卵巢综合征的女性发生卒中的风险明显更高[OR: 1.89, 95%可信区间(CI): 1.22-2.55]。然而,PCOS与总体CVD (HR: 1.80, 95% CI: 5.43-9.04)、MI (HR: 2.68, 95% CI: 0.69-4.82)或IHD (HR: 2.68, 95% CI: 0.69-4.67)之间没有显著关联。此外,心血管或全因死亡率没有显著增加。这项荟萃分析强调,患有多囊卵巢综合征的女性中风风险增加,但没有确凿证据表明多囊卵巢综合征与其他心血管疾病或死亡率有关。临床医生应优先考虑在这一人群中预防中风。需要进一步的大规模、长期研究来阐明与多囊卵巢综合征相关的心血管风险。
本文章由计算机程序翻译,如有差异,请以英文原文为准。

Risk of cardiovascular and cerebrovascular events in polycystic ovarian syndrome women: An updated meta-analysis of cohort studies.

Risk of cardiovascular and cerebrovascular events in polycystic ovarian syndrome women: An updated meta-analysis of cohort studies.

Risk of cardiovascular and cerebrovascular events in polycystic ovarian syndrome women: An updated meta-analysis of cohort studies.

Risk of cardiovascular and cerebrovascular events in polycystic ovarian syndrome women: An updated meta-analysis of cohort studies.

Polycystic ovary syndrome (PCOS), affecting 5-10% of reproductive-aged women, is linked to metabolic disturbances such as insulin resistance, obesity, and lipid imbalance, which may elevate cardiovascular disease (CVD) risk. The relationship between PCOS and clinical cardiovascular events remains unclear. This meta-analysis evaluates the association between PCOS and cardiovascular and cerebrovascular events, including myocardial infarction (MI), stroke, ischemic heart disease (IHD), and overall CVD. We conducted a systematic review and meta-analysis of observational cohort studies published up to August 2024. Studies investigating the association between PCOS and cardiovascular or cerebrovascular events were included. Hazard ratios (HR) were used to assess mortality risk, while odds ratios (OR) evaluated CVD incidence. Statistical analyses were performed using STATA software, with publication bias assessed via funnel plots. Nineteen cohort studies, involving 1,222,912 participants, were analyzed. Women with PCOS had a significantly higher risk of stroke [OR: 1.89, 95% confidence interval (CI): 1.22-2.55]. However, no significant associations were found between PCOS and overall CVD (HR: 1.80, 95% CI: 5.43-9.04), MI (HR: 2.68, 95% CI: 0.69-4.82), or IHD (HR: 2.68, 95% CI: 0.69-4.67). Additionally, there was no significant increase in cardiovascular or all-cause mortality. This meta-analysis highlights that women with PCOS are at an increased risk of stroke, but no conclusive evidence links PCOS to other cardiovascular outcomes or mortality. Clinicians should prioritize stroke prevention in this population. Further large-scale, long-term studies are needed to clarify the cardiovascular risks associated with PCOS.

求助全文
通过发布文献求助,成功后即可免费获取论文全文。 去求助
来源期刊
CiteScore
2.10
自引率
0.00%
发文量
1
×
引用
GB/T 7714-2015
复制
MLA
复制
APA
复制
导出至
BibTeX EndNote RefMan NoteFirst NoteExpress
×
提示
您的信息不完整,为了账户安全,请先补充。
现在去补充
×
提示
您因"违规操作"
具体请查看互助需知
我知道了
×
提示
确定
请完成安全验证×
copy
已复制链接
快去分享给好友吧!
我知道了
右上角分享
点击右上角分享
0
联系我们:info@booksci.cn Book学术提供免费学术资源搜索服务,方便国内外学者检索中英文文献。致力于提供最便捷和优质的服务体验。 Copyright © 2023 布克学术 All rights reserved.
京ICP备2023020795号-1
ghs 京公网安备 11010802042870号
Book学术文献互助
Book学术文献互助群
群 号:604180095
Book学术官方微信