VO2FITTING软件:新见解与实际应用(VO2FITTING软件更新)。

IF 2.8 3区 医学 Q2 SPORT SCIENCES
Journal of Human Kinetics Pub Date : 2024-12-19 eCollection Date: 2025-04-01 DOI:10.5114/jhk/194124
Ana Sofia Monteiro, Rui M S Azevedo, Rodrigo Zacca, Anna Ogonowska-Slodownik, Cosme F Buzzachera, João Paulo Vilas-Boas, Ricardo J Fernandes
{"title":"VO2FITTING软件:新见解与实际应用(VO2FITTING软件更新)。","authors":"Ana Sofia Monteiro, Rui M S Azevedo, Rodrigo Zacca, Anna Ogonowska-Slodownik, Cosme F Buzzachera, João Paulo Vilas-Boas, Ricardo J Fernandes","doi":"10.5114/jhk/194124","DOIUrl":null,"url":null,"abstract":"<p><p>This study aimed to present an updated version of VO<sub>2</sub>FITTING software, where it is possible to dynamically edit, process, filter and model <math><mover><mi>V</mi> <mo>˙</mo></mover> </math> O<sub>2</sub> post-exercise data and to characterize the <math><mover><mi>V</mi> <mo>˙</mo></mover> </math> O<sub>2</sub> on/off symmetry along different exercise intensity domains. Validation datasets were developed and applied to four widely used models for describing low, moderate, heavy and severe intensity transitions. Perfect fits were observed and parameter estimates perfectly matched the known inputted values for all available models (standard error = 0; p < 0.001). In addition, an experiment with 10 trained swimmers performing a 5 x 200 m front crawl protocol (with 0.05 m•s<sup>-1</sup> velocity step increments and 3-min passive rest intervals) was conducted. The on- and off-transient phases were symmetrical in their shape since they were both adequately fitted by a mono-exponential regression model and no slow component was observed independently of the intensity domain. Furthermore, the mono-exponential model without time delay best fitted the <math><mover><mi>V</mi> <mo>˙</mo></mover> </math> O<sub>2</sub> off-transient data. The mean time constant of the on-transient period value was lower than the respective off-transient for all the intensities (15.8 ± 11.4 vs. 30.8 ± 10.4, 11.3 ± 2.3 vs. 29.7 ± 8.4, 13.9 ± 7.0 vs. 28.7 ± 10.8 and 10.3 ± 4.6 vs. 37.0 ± 9.2 s; p < 0.05). VO<sub>2</sub>FITTING is valid, free and open-source software for characterizing <math><mover><mi>V</mi> <mo>˙</mo></mover> </math> O<sub>2</sub> kinetics during both the exercise and recovery periods, helping researchers to give rapid feedback also about the off-transient kinetic parameters.</p>","PeriodicalId":16055,"journal":{"name":"Journal of Human Kinetics","volume":"97 ","pages":"89-100"},"PeriodicalIF":2.8000,"publicationDate":"2024-12-19","publicationTypes":"Journal Article","fieldsOfStudy":null,"isOpenAccess":false,"openAccessPdf":"https://www.ncbi.nlm.nih.gov/pmc/articles/PMC12127917/pdf/","citationCount":"0","resultStr":"{\"title\":\"VO<sub>2</sub>FITTING Software: New Insights and Practical Applications (VO<sub>2</sub>FITTING Software Update).\",\"authors\":\"Ana Sofia Monteiro, Rui M S Azevedo, Rodrigo Zacca, Anna Ogonowska-Slodownik, Cosme F Buzzachera, João Paulo Vilas-Boas, Ricardo J Fernandes\",\"doi\":\"10.5114/jhk/194124\",\"DOIUrl\":null,\"url\":null,\"abstract\":\"<p><p>This study aimed to present an updated version of VO<sub>2</sub>FITTING software, where it is possible to dynamically edit, process, filter and model <math><mover><mi>V</mi> <mo>˙</mo></mover> </math> O<sub>2</sub> post-exercise data and to characterize the <math><mover><mi>V</mi> <mo>˙</mo></mover> </math> O<sub>2</sub> on/off symmetry along different exercise intensity domains. Validation datasets were developed and applied to four widely used models for describing low, moderate, heavy and severe intensity transitions. Perfect fits were observed and parameter estimates perfectly matched the known inputted values for all available models (standard error = 0; p < 0.001). In addition, an experiment with 10 trained swimmers performing a 5 x 200 m front crawl protocol (with 0.05 m•s<sup>-1</sup> velocity step increments and 3-min passive rest intervals) was conducted. The on- and off-transient phases were symmetrical in their shape since they were both adequately fitted by a mono-exponential regression model and no slow component was observed independently of the intensity domain. Furthermore, the mono-exponential model without time delay best fitted the <math><mover><mi>V</mi> <mo>˙</mo></mover> </math> O<sub>2</sub> off-transient data. The mean time constant of the on-transient period value was lower than the respective off-transient for all the intensities (15.8 ± 11.4 vs. 30.8 ± 10.4, 11.3 ± 2.3 vs. 29.7 ± 8.4, 13.9 ± 7.0 vs. 28.7 ± 10.8 and 10.3 ± 4.6 vs. 37.0 ± 9.2 s; p < 0.05). VO<sub>2</sub>FITTING is valid, free and open-source software for characterizing <math><mover><mi>V</mi> <mo>˙</mo></mover> </math> O<sub>2</sub> kinetics during both the exercise and recovery periods, helping researchers to give rapid feedback also about the off-transient kinetic parameters.</p>\",\"PeriodicalId\":16055,\"journal\":{\"name\":\"Journal of Human Kinetics\",\"volume\":\"97 \",\"pages\":\"89-100\"},\"PeriodicalIF\":2.8000,\"publicationDate\":\"2024-12-19\",\"publicationTypes\":\"Journal Article\",\"fieldsOfStudy\":null,\"isOpenAccess\":false,\"openAccessPdf\":\"https://www.ncbi.nlm.nih.gov/pmc/articles/PMC12127917/pdf/\",\"citationCount\":\"0\",\"resultStr\":null,\"platform\":\"Semanticscholar\",\"paperid\":null,\"PeriodicalName\":\"Journal of Human Kinetics\",\"FirstCategoryId\":\"3\",\"ListUrlMain\":\"https://doi.org/10.5114/jhk/194124\",\"RegionNum\":3,\"RegionCategory\":\"医学\",\"ArticlePicture\":[],\"TitleCN\":null,\"AbstractTextCN\":null,\"PMCID\":null,\"EPubDate\":\"2025/4/1 0:00:00\",\"PubModel\":\"eCollection\",\"JCR\":\"Q2\",\"JCRName\":\"SPORT SCIENCES\",\"Score\":null,\"Total\":0}","platform":"Semanticscholar","paperid":null,"PeriodicalName":"Journal of Human Kinetics","FirstCategoryId":"3","ListUrlMain":"https://doi.org/10.5114/jhk/194124","RegionNum":3,"RegionCategory":"医学","ArticlePicture":[],"TitleCN":null,"AbstractTextCN":null,"PMCID":null,"EPubDate":"2025/4/1 0:00:00","PubModel":"eCollection","JCR":"Q2","JCRName":"SPORT SCIENCES","Score":null,"Total":0}
引用次数: 0

摘要

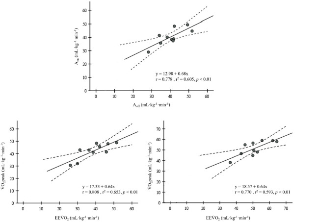
本研究旨在提供一个更新版本的VO2FITTING软件,该软件可以动态编辑、处理、过滤和建模运动后的V˙O2数据,并表征不同运动强度域中V˙O2的开/关对称性。开发了验证数据集,并将其应用于描述低、中、重和重度强度转换的四种广泛使用的模型。观察到完美拟合,参数估计与所有可用模型的已知输入值完全匹配(标准误差= 0;P < 0.001)。此外,还对10名训练有素的游泳运动员进行了5 × 200米前爬泳方案(0.05 m•s-1速度步增和3分钟被动休息间隔)的实验。由于它们都被单指数回归模型充分拟合,并且没有观察到独立于强度域的慢分量,因此在它们的形状上是对称的。无时滞的单指数模型最能拟合V˙O2非瞬态数据。各强度的开暂态周期值的平均时间常数均低于各自的关暂态值(15.8±11.4 vs. 30.8±10.4,11.3±2.3 vs. 29.7±8.4,13.9±7.0 vs. 28.7±10.8,10.3±4.6 vs. 37.0±9.2 s);P < 0.05)。VO2FITTING是一款有效的、免费的开源软件,用于表征运动和恢复期间的V˙O2动力学,帮助研究人员快速反馈非瞬态动力学参数。
本文章由计算机程序翻译,如有差异,请以英文原文为准。

VO<sub>2</sub>FITTING Software: New Insights and Practical Applications (VO<sub>2</sub>FITTING Software Update).

VO<sub>2</sub>FITTING Software: New Insights and Practical Applications (VO<sub>2</sub>FITTING Software Update).

VO<sub>2</sub>FITTING Software: New Insights and Practical Applications (VO<sub>2</sub>FITTING Software Update).

VO2FITTING Software: New Insights and Practical Applications (VO2FITTING Software Update).

This study aimed to present an updated version of VO2FITTING software, where it is possible to dynamically edit, process, filter and model V ˙ O2 post-exercise data and to characterize the V ˙ O2 on/off symmetry along different exercise intensity domains. Validation datasets were developed and applied to four widely used models for describing low, moderate, heavy and severe intensity transitions. Perfect fits were observed and parameter estimates perfectly matched the known inputted values for all available models (standard error = 0; p < 0.001). In addition, an experiment with 10 trained swimmers performing a 5 x 200 m front crawl protocol (with 0.05 m•s-1 velocity step increments and 3-min passive rest intervals) was conducted. The on- and off-transient phases were symmetrical in their shape since they were both adequately fitted by a mono-exponential regression model and no slow component was observed independently of the intensity domain. Furthermore, the mono-exponential model without time delay best fitted the V ˙ O2 off-transient data. The mean time constant of the on-transient period value was lower than the respective off-transient for all the intensities (15.8 ± 11.4 vs. 30.8 ± 10.4, 11.3 ± 2.3 vs. 29.7 ± 8.4, 13.9 ± 7.0 vs. 28.7 ± 10.8 and 10.3 ± 4.6 vs. 37.0 ± 9.2 s; p < 0.05). VO2FITTING is valid, free and open-source software for characterizing V ˙ O2 kinetics during both the exercise and recovery periods, helping researchers to give rapid feedback also about the off-transient kinetic parameters.

求助全文
通过发布文献求助,成功后即可免费获取论文全文。 去求助
来源期刊
Journal of Human Kinetics
Journal of Human Kinetics 医学-运动科学
CiteScore
4.80
自引率
0.00%
发文量
83
审稿时长
3 months
期刊介绍: The Journal of Human Kinetics is an open access interdisciplinary periodical offering the latest research in the science of human movement studies. This comprehensive professional journal features articles and research notes encompassing such topic areas as: Kinesiology, Exercise Physiology and Nutrition, Sports Training and Behavioural Sciences in Sport, but especially considering elite and competitive aspects of sport. The journal publishes original papers, invited reviews, short communications and letters to the Editors. Manuscripts submitted to the journal must contain novel data on theoretical or experimental research or on practical applications in the field of sport sciences. The Journal of Human Kinetics is published in March, June, September and December. We encourage scientists from around the world to submit their papers to our periodical.
×
引用
GB/T 7714-2015
复制
MLA
复制
APA
复制
导出至
BibTeX EndNote RefMan NoteFirst NoteExpress
×
提示
您的信息不完整,为了账户安全,请先补充。
现在去补充
×
提示
您因"违规操作"
具体请查看互助需知
我知道了
×
提示
确定
请完成安全验证×
copy
已复制链接
快去分享给好友吧!
我知道了
右上角分享
点击右上角分享
0
联系我们:info@booksci.cn Book学术提供免费学术资源搜索服务,方便国内外学者检索中英文文献。致力于提供最便捷和优质的服务体验。 Copyright © 2023 布克学术 All rights reserved.
京ICP备2023020795号-1
ghs 京公网安备 11010802042870号
Book学术文献互助
Book学术文献互助群
群 号:604180095
Book学术官方微信