骨骼运动员的力量和推步不对称。

IF 2.8 3区 医学 Q2 SPORT SCIENCES
Journal of Human Kinetics Pub Date : 2024-12-19 eCollection Date: 2025-04-01 DOI:10.5114/jhk/193480
Min Gong, Yan Liu, Zhi Cao, Binghong Gao
{"title":"骨骼运动员的力量和推步不对称。","authors":"Min Gong, Yan Liu, Zhi Cao, Binghong Gao","doi":"10.5114/jhk/193480","DOIUrl":null,"url":null,"abstract":"<p><p>The aim of this study was to explore how lower limb strength and push gait asymmetry affected performance of skeleton athletes. Isokinetic strength of the bilateral lower limb was measured in sixteen skeleton athletes. Kinematic and kinetic data were also collected during pushing. The asymmetry of lower limb strength and the push gait were measured using the symmetry angle. Asymmetry existed in the strength of the lower limbs and the push gait of skeleton athletes. The symmetry angle of peak torque of ankle dorsiflexion at 60°/s (r = -0.48, p = 0.06) and contact time (r = -0.48, p = 0.06) was moderately negatively correlated with mean push velocity, but the center of gravity height (r = 0.50, p = 0.05) and the hip joint angle (r = 0.54, p = 0.03) at the touchdown showed a moderate positive correlation with mean push velocity. The asymmetry of lower limb strength and the push gait in skeleton athletes is specialized. Reducing the difference in peak torque of dorsiflexion between both sides, as well as the disparity in contact time during the push phase, may be beneficial in enhancing push velocity.</p>","PeriodicalId":16055,"journal":{"name":"Journal of Human Kinetics","volume":"97 ","pages":"13-25"},"PeriodicalIF":2.8000,"publicationDate":"2024-12-19","publicationTypes":"Journal Article","fieldsOfStudy":null,"isOpenAccess":false,"openAccessPdf":"https://www.ncbi.nlm.nih.gov/pmc/articles/PMC12127941/pdf/","citationCount":"0","resultStr":"{\"title\":\"Strength and Push Gait Asymmetry in Skeleton Athletes.\",\"authors\":\"Min Gong, Yan Liu, Zhi Cao, Binghong Gao\",\"doi\":\"10.5114/jhk/193480\",\"DOIUrl\":null,\"url\":null,\"abstract\":\"<p><p>The aim of this study was to explore how lower limb strength and push gait asymmetry affected performance of skeleton athletes. Isokinetic strength of the bilateral lower limb was measured in sixteen skeleton athletes. Kinematic and kinetic data were also collected during pushing. The asymmetry of lower limb strength and the push gait were measured using the symmetry angle. Asymmetry existed in the strength of the lower limbs and the push gait of skeleton athletes. The symmetry angle of peak torque of ankle dorsiflexion at 60°/s (r = -0.48, p = 0.06) and contact time (r = -0.48, p = 0.06) was moderately negatively correlated with mean push velocity, but the center of gravity height (r = 0.50, p = 0.05) and the hip joint angle (r = 0.54, p = 0.03) at the touchdown showed a moderate positive correlation with mean push velocity. The asymmetry of lower limb strength and the push gait in skeleton athletes is specialized. Reducing the difference in peak torque of dorsiflexion between both sides, as well as the disparity in contact time during the push phase, may be beneficial in enhancing push velocity.</p>\",\"PeriodicalId\":16055,\"journal\":{\"name\":\"Journal of Human Kinetics\",\"volume\":\"97 \",\"pages\":\"13-25\"},\"PeriodicalIF\":2.8000,\"publicationDate\":\"2024-12-19\",\"publicationTypes\":\"Journal Article\",\"fieldsOfStudy\":null,\"isOpenAccess\":false,\"openAccessPdf\":\"https://www.ncbi.nlm.nih.gov/pmc/articles/PMC12127941/pdf/\",\"citationCount\":\"0\",\"resultStr\":null,\"platform\":\"Semanticscholar\",\"paperid\":null,\"PeriodicalName\":\"Journal of Human Kinetics\",\"FirstCategoryId\":\"3\",\"ListUrlMain\":\"https://doi.org/10.5114/jhk/193480\",\"RegionNum\":3,\"RegionCategory\":\"医学\",\"ArticlePicture\":[],\"TitleCN\":null,\"AbstractTextCN\":null,\"PMCID\":null,\"EPubDate\":\"2025/4/1 0:00:00\",\"PubModel\":\"eCollection\",\"JCR\":\"Q2\",\"JCRName\":\"SPORT SCIENCES\",\"Score\":null,\"Total\":0}","platform":"Semanticscholar","paperid":null,"PeriodicalName":"Journal of Human Kinetics","FirstCategoryId":"3","ListUrlMain":"https://doi.org/10.5114/jhk/193480","RegionNum":3,"RegionCategory":"医学","ArticlePicture":[],"TitleCN":null,"AbstractTextCN":null,"PMCID":null,"EPubDate":"2025/4/1 0:00:00","PubModel":"eCollection","JCR":"Q2","JCRName":"SPORT SCIENCES","Score":null,"Total":0}
引用次数: 0

摘要

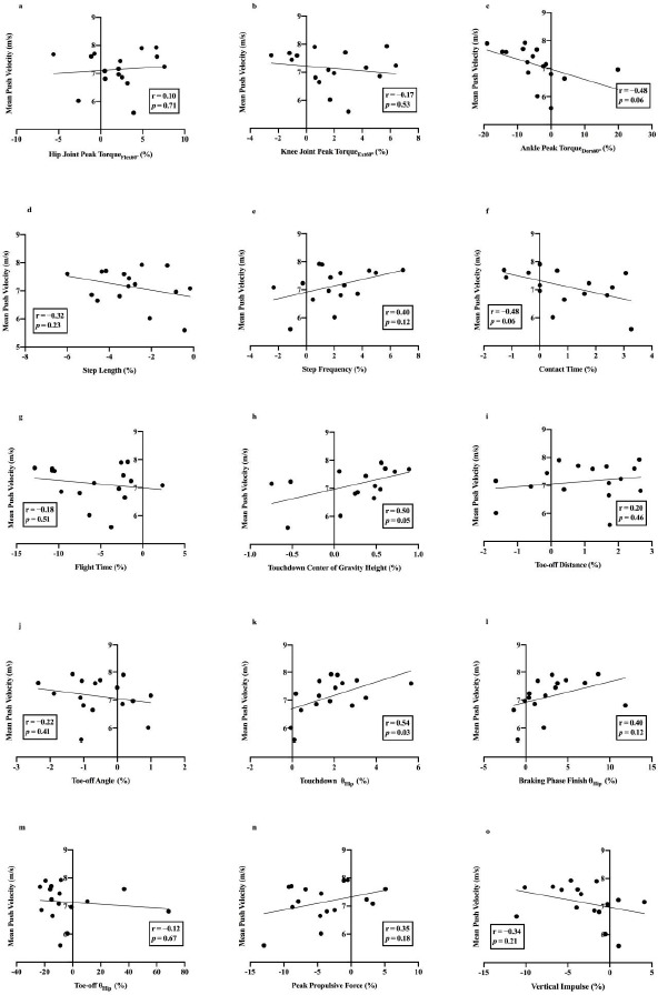
本研究的目的是探讨下肢力量和推动步态不对称如何影响骨骼运动员的表现。测量了16名骨骼运动员双侧下肢的等速力量。在推动过程中还收集了运动学和动力学数据。利用对称角测量下肢力量和推步的不对称性。骨骼运动员在下肢力量和推步上存在不对称性。60°/s时踝关节背伸峰值扭矩对称角(r = -0.48, p = 0.06)和接触时间(r = -0.48, p = 0.06)与平均推速呈中度负相关,触地时重心高度(r = 0.50, p = 0.05)和髋关节角度(r = 0.54, p = 0.03)与平均推速呈中度正相关。专门研究了骨骼运动员下肢力量和推步的不对称性。减小推力阶段两侧背屈峰值扭矩的差异和接触时间的差异,有利于提高推力速度。
本文章由计算机程序翻译,如有差异,请以英文原文为准。

Strength and Push Gait Asymmetry in Skeleton Athletes.

Strength and Push Gait Asymmetry in Skeleton Athletes.

Strength and Push Gait Asymmetry in Skeleton Athletes.

The aim of this study was to explore how lower limb strength and push gait asymmetry affected performance of skeleton athletes. Isokinetic strength of the bilateral lower limb was measured in sixteen skeleton athletes. Kinematic and kinetic data were also collected during pushing. The asymmetry of lower limb strength and the push gait were measured using the symmetry angle. Asymmetry existed in the strength of the lower limbs and the push gait of skeleton athletes. The symmetry angle of peak torque of ankle dorsiflexion at 60°/s (r = -0.48, p = 0.06) and contact time (r = -0.48, p = 0.06) was moderately negatively correlated with mean push velocity, but the center of gravity height (r = 0.50, p = 0.05) and the hip joint angle (r = 0.54, p = 0.03) at the touchdown showed a moderate positive correlation with mean push velocity. The asymmetry of lower limb strength and the push gait in skeleton athletes is specialized. Reducing the difference in peak torque of dorsiflexion between both sides, as well as the disparity in contact time during the push phase, may be beneficial in enhancing push velocity.

求助全文
通过发布文献求助,成功后即可免费获取论文全文。 去求助
来源期刊
Journal of Human Kinetics
Journal of Human Kinetics 医学-运动科学
CiteScore
4.80
自引率
0.00%
发文量
83
审稿时长
3 months
期刊介绍: The Journal of Human Kinetics is an open access interdisciplinary periodical offering the latest research in the science of human movement studies. This comprehensive professional journal features articles and research notes encompassing such topic areas as: Kinesiology, Exercise Physiology and Nutrition, Sports Training and Behavioural Sciences in Sport, but especially considering elite and competitive aspects of sport. The journal publishes original papers, invited reviews, short communications and letters to the Editors. Manuscripts submitted to the journal must contain novel data on theoretical or experimental research or on practical applications in the field of sport sciences. The Journal of Human Kinetics is published in March, June, September and December. We encourage scientists from around the world to submit their papers to our periodical.
×
引用
GB/T 7714-2015
复制
MLA
复制
APA
复制
导出至
BibTeX EndNote RefMan NoteFirst NoteExpress
×
提示
您的信息不完整,为了账户安全,请先补充。
现在去补充
×
提示
您因"违规操作"
具体请查看互助需知
我知道了
×
提示
确定
请完成安全验证×
copy
已复制链接
快去分享给好友吧!
我知道了
右上角分享
点击右上角分享
0
联系我们:info@booksci.cn Book学术提供免费学术资源搜索服务,方便国内外学者检索中英文文献。致力于提供最便捷和优质的服务体验。 Copyright © 2023 布克学术 All rights reserved.
京ICP备2023020795号-1
ghs 京公网安备 11010802042870号
Book学术文献互助
Book学术文献互助群
群 号:604180095
Book学术官方微信