最大努力后的激活后性能增强,多关节等速偏心肌肉动作。

IF 2.8 3区 医学 Q2 SPORT SCIENCES
Journal of Human Kinetics Pub Date : 2025-05-12 eCollection Date: 2025-04-01 DOI:10.5114/jhk/200324
Tom A Dickey, Brennan J Thompson, Cody M Fisher, Tycen W Flygare, Dale R Wagner
{"title":"最大努力后的激活后性能增强,多关节等速偏心肌肉动作。","authors":"Tom A Dickey, Brennan J Thompson, Cody M Fisher, Tycen W Flygare, Dale R Wagner","doi":"10.5114/jhk/200324","DOIUrl":null,"url":null,"abstract":"<p><p>Post-activation performance enhancement (PAPE) is a phenomenon that can enhance muscle performance following maximal or near-maximal muscle actions. While the effects of concentric and isometric conditioning actions on PAPE have been studied, less is known about the influence of eccentric muscle actions. This study investigated the effects of a multi-joint eccentric overload (EOL) protocol on PAPE expressed through countermovement jump (CMJ) height and isokinetic peak force (PF) outcome measures. Twenty-eight recreationally trained participants (18-30 years) completed three visits in a randomized, counterbalanced design. Following familiarization, participants performed either an EOL protocol involving two sets of six maximal isokinetic eccentric actions or a control condition (CON) involving cycling. The CMJ and PF were assessed at baseline and 15 s, 5 min, and 10 min post-exercise. Results showed no significant condition × time interaction or main effect of condition for either CMJ or PF (p > 0.05). However, a significant main effect of time (collapsed across condition) was observed for CMJ (p = 0.019), with post hoc analyses revealing a significantly higher CMJ at 5 min post-exercise compared to 15 s post-exercise (p = 0.037). These findings suggest that this multi-joint eccentric protocol did not effectively elicit PAPE, and therefore may not be optimal for inducing acute performance enhancement. Future research should further elucidate the optimal eccentric loading parameters and muscle action types for inducing PAPE.</p>","PeriodicalId":16055,"journal":{"name":"Journal of Human Kinetics","volume":"97 ","pages":"213-223"},"PeriodicalIF":2.8000,"publicationDate":"2025-05-12","publicationTypes":"Journal Article","fieldsOfStudy":null,"isOpenAccess":false,"openAccessPdf":"https://www.ncbi.nlm.nih.gov/pmc/articles/PMC12127935/pdf/","citationCount":"0","resultStr":"{\"title\":\"Post-activation Performance Enhancement Following Maximal Effort, Multi-Joint Isokinetic Eccentric Muscle Actions.\",\"authors\":\"Tom A Dickey, Brennan J Thompson, Cody M Fisher, Tycen W Flygare, Dale R Wagner\",\"doi\":\"10.5114/jhk/200324\",\"DOIUrl\":null,\"url\":null,\"abstract\":\"<p><p>Post-activation performance enhancement (PAPE) is a phenomenon that can enhance muscle performance following maximal or near-maximal muscle actions. While the effects of concentric and isometric conditioning actions on PAPE have been studied, less is known about the influence of eccentric muscle actions. This study investigated the effects of a multi-joint eccentric overload (EOL) protocol on PAPE expressed through countermovement jump (CMJ) height and isokinetic peak force (PF) outcome measures. Twenty-eight recreationally trained participants (18-30 years) completed three visits in a randomized, counterbalanced design. Following familiarization, participants performed either an EOL protocol involving two sets of six maximal isokinetic eccentric actions or a control condition (CON) involving cycling. The CMJ and PF were assessed at baseline and 15 s, 5 min, and 10 min post-exercise. Results showed no significant condition × time interaction or main effect of condition for either CMJ or PF (p > 0.05). However, a significant main effect of time (collapsed across condition) was observed for CMJ (p = 0.019), with post hoc analyses revealing a significantly higher CMJ at 5 min post-exercise compared to 15 s post-exercise (p = 0.037). These findings suggest that this multi-joint eccentric protocol did not effectively elicit PAPE, and therefore may not be optimal for inducing acute performance enhancement. Future research should further elucidate the optimal eccentric loading parameters and muscle action types for inducing PAPE.</p>\",\"PeriodicalId\":16055,\"journal\":{\"name\":\"Journal of Human Kinetics\",\"volume\":\"97 \",\"pages\":\"213-223\"},\"PeriodicalIF\":2.8000,\"publicationDate\":\"2025-05-12\",\"publicationTypes\":\"Journal Article\",\"fieldsOfStudy\":null,\"isOpenAccess\":false,\"openAccessPdf\":\"https://www.ncbi.nlm.nih.gov/pmc/articles/PMC12127935/pdf/\",\"citationCount\":\"0\",\"resultStr\":null,\"platform\":\"Semanticscholar\",\"paperid\":null,\"PeriodicalName\":\"Journal of Human Kinetics\",\"FirstCategoryId\":\"3\",\"ListUrlMain\":\"https://doi.org/10.5114/jhk/200324\",\"RegionNum\":3,\"RegionCategory\":\"医学\",\"ArticlePicture\":[],\"TitleCN\":null,\"AbstractTextCN\":null,\"PMCID\":null,\"EPubDate\":\"2025/4/1 0:00:00\",\"PubModel\":\"eCollection\",\"JCR\":\"Q2\",\"JCRName\":\"SPORT SCIENCES\",\"Score\":null,\"Total\":0}","platform":"Semanticscholar","paperid":null,"PeriodicalName":"Journal of Human Kinetics","FirstCategoryId":"3","ListUrlMain":"https://doi.org/10.5114/jhk/200324","RegionNum":3,"RegionCategory":"医学","ArticlePicture":[],"TitleCN":null,"AbstractTextCN":null,"PMCID":null,"EPubDate":"2025/4/1 0:00:00","PubModel":"eCollection","JCR":"Q2","JCRName":"SPORT SCIENCES","Score":null,"Total":0}
引用次数: 0

摘要

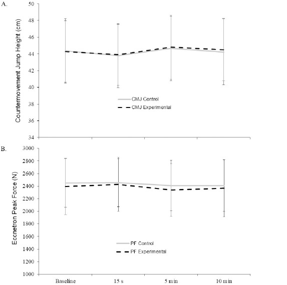
激活后性能增强(PAPE)是一种可以在最大或接近最大肌肉动作后增强肌肉性能的现象。虽然同心和等距调节动作对PAPE的影响已经研究过,但对偏心肌肉动作的影响知之甚少。本研究探讨了多关节偏心过载(EOL)方案对通过反运动跳跃(CMJ)高度和等速峰值力(PF)结果测量表达的PAPE的影响。28名接受过娱乐训练的参与者(18-30岁)在随机、平衡设计中完成了三次访问。在熟悉之后,参与者进行了包括两组六次最大等速偏心动作的EOL方案或包括骑自行车的控制条件(CON)。在基线、运动后15秒、5分钟和10分钟评估CMJ和PF。结果显示CMJ和PF均无显著的条件-时间交互作用或主效应条件(p < 0.05)。然而,观察到时间对CMJ的显著主要影响(跨条件崩溃)(p = 0.019),事后分析显示,运动后5分钟的CMJ显著高于运动后15秒(p = 0.037)。这些发现表明,这种多关节偏心方案不能有效地引发PAPE,因此可能不是诱导急性表现增强的最佳方案。未来的研究应进一步阐明诱发PAPE的最佳偏心负荷参数和肌肉动作类型。
本文章由计算机程序翻译,如有差异,请以英文原文为准。

Post-activation Performance Enhancement Following Maximal Effort, Multi-Joint Isokinetic Eccentric Muscle Actions.

Post-activation Performance Enhancement Following Maximal Effort, Multi-Joint Isokinetic Eccentric Muscle Actions.

Post-activation performance enhancement (PAPE) is a phenomenon that can enhance muscle performance following maximal or near-maximal muscle actions. While the effects of concentric and isometric conditioning actions on PAPE have been studied, less is known about the influence of eccentric muscle actions. This study investigated the effects of a multi-joint eccentric overload (EOL) protocol on PAPE expressed through countermovement jump (CMJ) height and isokinetic peak force (PF) outcome measures. Twenty-eight recreationally trained participants (18-30 years) completed three visits in a randomized, counterbalanced design. Following familiarization, participants performed either an EOL protocol involving two sets of six maximal isokinetic eccentric actions or a control condition (CON) involving cycling. The CMJ and PF were assessed at baseline and 15 s, 5 min, and 10 min post-exercise. Results showed no significant condition × time interaction or main effect of condition for either CMJ or PF (p > 0.05). However, a significant main effect of time (collapsed across condition) was observed for CMJ (p = 0.019), with post hoc analyses revealing a significantly higher CMJ at 5 min post-exercise compared to 15 s post-exercise (p = 0.037). These findings suggest that this multi-joint eccentric protocol did not effectively elicit PAPE, and therefore may not be optimal for inducing acute performance enhancement. Future research should further elucidate the optimal eccentric loading parameters and muscle action types for inducing PAPE.

求助全文
通过发布文献求助,成功后即可免费获取论文全文。 去求助
来源期刊
Journal of Human Kinetics
Journal of Human Kinetics 医学-运动科学
CiteScore
4.80
自引率
0.00%
发文量
83
审稿时长
3 months
期刊介绍: The Journal of Human Kinetics is an open access interdisciplinary periodical offering the latest research in the science of human movement studies. This comprehensive professional journal features articles and research notes encompassing such topic areas as: Kinesiology, Exercise Physiology and Nutrition, Sports Training and Behavioural Sciences in Sport, but especially considering elite and competitive aspects of sport. The journal publishes original papers, invited reviews, short communications and letters to the Editors. Manuscripts submitted to the journal must contain novel data on theoretical or experimental research or on practical applications in the field of sport sciences. The Journal of Human Kinetics is published in March, June, September and December. We encourage scientists from around the world to submit their papers to our periodical.
×
引用
GB/T 7714-2015
复制
MLA
复制
APA
复制
导出至
BibTeX EndNote RefMan NoteFirst NoteExpress
×
提示
您的信息不完整,为了账户安全,请先补充。
现在去补充
×
提示
您因"违规操作"
具体请查看互助需知
我知道了
×
提示
确定
请完成安全验证×
copy
已复制链接
快去分享给好友吧!
我知道了
右上角分享
点击右上角分享
0
联系我们:info@booksci.cn Book学术提供免费学术资源搜索服务,方便国内外学者检索中英文文献。致力于提供最便捷和优质的服务体验。 Copyright © 2023 布克学术 All rights reserved.
京ICP备2023020795号-1
ghs 京公网安备 11010802042870号
Book学术文献互助
Book学术文献互助群
群 号:604180095
Book学术官方微信