探讨球员人数和场地面积对篮球小面比赛新手战术技术表现的影响。

IF 2.8 3区 医学 Q2 SPORT SCIENCES
Journal of Human Kinetics Pub Date : 2024-12-19 eCollection Date: 2025-04-01 DOI:10.5114/jhk/190400
Walber Jose Figueiredo de Souza, Filipe Manuel Clemente, Samuel da Silva Aguiar, Larissa Pittner, Erivaldo Machado Araújo, Matheus de Souza Rocha, Francielli Evelin Lopes Silva, Ana Filipa Silva, Henrique de Oliveira Castro
{"title":"探讨球员人数和场地面积对篮球小面比赛新手战术技术表现的影响。","authors":"Walber Jose Figueiredo de Souza, Filipe Manuel Clemente, Samuel da Silva Aguiar, Larissa Pittner, Erivaldo Machado Araújo, Matheus de Souza Rocha, Francielli Evelin Lopes Silva, Ana Filipa Silva, Henrique de Oliveira Castro","doi":"10.5114/jhk/190400","DOIUrl":null,"url":null,"abstract":"<p><p>This study aims to examine the tactical behavior, decision-making, and technical skills of young novice basketball players in small-sided games (SSGs) with different numerical configurations and court sizes. Participants were 16 novice male players aged between 11 and 15 years with no competitive experience. A total of 13 games were played, comprising nine SSG formats with numerical equality, superiority, and inferiority, in two court sizes: a full court (FC) and a half court (HC). In SSGs played in the FC, pass efficacy was significantly higher (p < 0.05) in 5 vs. 4 and 4 vs. 3 formats, while dribble efficacy was significantly higher (p < 0.05) in the 2 vs. 1 HC format. The 3 vs. 3 FC format showed greater (p < 0.05) shot efficacy. Reception efficacy was significantly higher (p < 0.05) in the 2 vs. 1 HC format, as well as rebound efficacy. However, appropriate passes were significantly lower (p < 0.05) in the 4 vs. 3 FC format. Dribble efficacy was significantly greater (p < 0.05) in the 2 vs. 1 HC format and appropriate shots were significantly greater (p < 0.05) in the 2 vs. 1 HC format. Regarding defensive and offensive technical-tactical actions, the 3 vs. 3 HC format presented significantly higher values (p < 0.05) of support, while ball marking was significantly greater (p < 0.05) in the 3 vs. 2 HC format. In conclusion, this study indicates that smaller (balanced and unbalanced) SSG formats tend to enhance the frequency, effectiveness, and appropriateness of attacking and defensive behaviors, particularly those involving direct actions.</p>","PeriodicalId":16055,"journal":{"name":"Journal of Human Kinetics","volume":"97 ","pages":"127-140"},"PeriodicalIF":2.8000,"publicationDate":"2024-12-19","publicationTypes":"Journal Article","fieldsOfStudy":null,"isOpenAccess":false,"openAccessPdf":"https://www.ncbi.nlm.nih.gov/pmc/articles/PMC12127940/pdf/","citationCount":"0","resultStr":"{\"title\":\"Exploring the Effects of Players' Numbers and Court Size on Tactical-Technical Performance Analysis of Novice Players in Basketball Small-Sided Games.\",\"authors\":\"Walber Jose Figueiredo de Souza, Filipe Manuel Clemente, Samuel da Silva Aguiar, Larissa Pittner, Erivaldo Machado Araújo, Matheus de Souza Rocha, Francielli Evelin Lopes Silva, Ana Filipa Silva, Henrique de Oliveira Castro\",\"doi\":\"10.5114/jhk/190400\",\"DOIUrl\":null,\"url\":null,\"abstract\":\"<p><p>This study aims to examine the tactical behavior, decision-making, and technical skills of young novice basketball players in small-sided games (SSGs) with different numerical configurations and court sizes. Participants were 16 novice male players aged between 11 and 15 years with no competitive experience. A total of 13 games were played, comprising nine SSG formats with numerical equality, superiority, and inferiority, in two court sizes: a full court (FC) and a half court (HC). In SSGs played in the FC, pass efficacy was significantly higher (p < 0.05) in 5 vs. 4 and 4 vs. 3 formats, while dribble efficacy was significantly higher (p < 0.05) in the 2 vs. 1 HC format. The 3 vs. 3 FC format showed greater (p < 0.05) shot efficacy. Reception efficacy was significantly higher (p < 0.05) in the 2 vs. 1 HC format, as well as rebound efficacy. However, appropriate passes were significantly lower (p < 0.05) in the 4 vs. 3 FC format. Dribble efficacy was significantly greater (p < 0.05) in the 2 vs. 1 HC format and appropriate shots were significantly greater (p < 0.05) in the 2 vs. 1 HC format. Regarding defensive and offensive technical-tactical actions, the 3 vs. 3 HC format presented significantly higher values (p < 0.05) of support, while ball marking was significantly greater (p < 0.05) in the 3 vs. 2 HC format. In conclusion, this study indicates that smaller (balanced and unbalanced) SSG formats tend to enhance the frequency, effectiveness, and appropriateness of attacking and defensive behaviors, particularly those involving direct actions.</p>\",\"PeriodicalId\":16055,\"journal\":{\"name\":\"Journal of Human Kinetics\",\"volume\":\"97 \",\"pages\":\"127-140\"},\"PeriodicalIF\":2.8000,\"publicationDate\":\"2024-12-19\",\"publicationTypes\":\"Journal Article\",\"fieldsOfStudy\":null,\"isOpenAccess\":false,\"openAccessPdf\":\"https://www.ncbi.nlm.nih.gov/pmc/articles/PMC12127940/pdf/\",\"citationCount\":\"0\",\"resultStr\":null,\"platform\":\"Semanticscholar\",\"paperid\":null,\"PeriodicalName\":\"Journal of Human Kinetics\",\"FirstCategoryId\":\"3\",\"ListUrlMain\":\"https://doi.org/10.5114/jhk/190400\",\"RegionNum\":3,\"RegionCategory\":\"医学\",\"ArticlePicture\":[],\"TitleCN\":null,\"AbstractTextCN\":null,\"PMCID\":null,\"EPubDate\":\"2025/4/1 0:00:00\",\"PubModel\":\"eCollection\",\"JCR\":\"Q2\",\"JCRName\":\"SPORT SCIENCES\",\"Score\":null,\"Total\":0}","platform":"Semanticscholar","paperid":null,"PeriodicalName":"Journal of Human Kinetics","FirstCategoryId":"3","ListUrlMain":"https://doi.org/10.5114/jhk/190400","RegionNum":3,"RegionCategory":"医学","ArticlePicture":[],"TitleCN":null,"AbstractTextCN":null,"PMCID":null,"EPubDate":"2025/4/1 0:00:00","PubModel":"eCollection","JCR":"Q2","JCRName":"SPORT SCIENCES","Score":null,"Total":0}
引用次数: 0

摘要

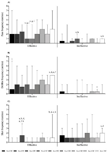
摘要本研究旨在探讨不同场地尺寸与数值配置的小面篮球比赛中青少年篮球新手的战术行为、决策与技术技能。参与者是16名年龄在11到15岁之间的新手男性球员,没有任何比赛经验。总共进行了13场比赛,包括9种SSG形式,数量相等,优势和劣势,两种场地大小:全场(FC)和半场(HC)。在FC进行的ssg比赛中,5比4和4比3的传球效率显著高于(p < 0.05), 2比1 HC的运球效率显著高于(p < 0.05)。3与3 FC格式的射击效能更高(p < 0.05)。2比1 HC格式的接受疗效和反弹疗效显著高于2比1 HC格式(p < 0.05)。然而,在4 FC和3 FC格式中,适当的通过次数明显较低(p < 0.05)。2比1 HC模式的运球效率显著高于(p < 0.05), 2比1 HC模式的投篮命中率显著高于(p < 0.05)。在防守和进攻技战术动作方面,3 vs 3 HC格式的支持值显著高于(p < 0.05), 3 vs 2 HC格式的盯球值显著高于(p < 0.05)。总之,本研究表明,较小的(平衡和不平衡)SSG格式倾向于提高攻击和防御行为的频率、有效性和适当性,特别是那些涉及直接行动的行为。
本文章由计算机程序翻译,如有差异,请以英文原文为准。

Exploring the Effects of Players' Numbers and Court Size on Tactical-Technical Performance Analysis of Novice Players in Basketball Small-Sided Games.

Exploring the Effects of Players' Numbers and Court Size on Tactical-Technical Performance Analysis of Novice Players in Basketball Small-Sided Games.

Exploring the Effects of Players' Numbers and Court Size on Tactical-Technical Performance Analysis of Novice Players in Basketball Small-Sided Games.

Exploring the Effects of Players' Numbers and Court Size on Tactical-Technical Performance Analysis of Novice Players in Basketball Small-Sided Games.

This study aims to examine the tactical behavior, decision-making, and technical skills of young novice basketball players in small-sided games (SSGs) with different numerical configurations and court sizes. Participants were 16 novice male players aged between 11 and 15 years with no competitive experience. A total of 13 games were played, comprising nine SSG formats with numerical equality, superiority, and inferiority, in two court sizes: a full court (FC) and a half court (HC). In SSGs played in the FC, pass efficacy was significantly higher (p < 0.05) in 5 vs. 4 and 4 vs. 3 formats, while dribble efficacy was significantly higher (p < 0.05) in the 2 vs. 1 HC format. The 3 vs. 3 FC format showed greater (p < 0.05) shot efficacy. Reception efficacy was significantly higher (p < 0.05) in the 2 vs. 1 HC format, as well as rebound efficacy. However, appropriate passes were significantly lower (p < 0.05) in the 4 vs. 3 FC format. Dribble efficacy was significantly greater (p < 0.05) in the 2 vs. 1 HC format and appropriate shots were significantly greater (p < 0.05) in the 2 vs. 1 HC format. Regarding defensive and offensive technical-tactical actions, the 3 vs. 3 HC format presented significantly higher values (p < 0.05) of support, while ball marking was significantly greater (p < 0.05) in the 3 vs. 2 HC format. In conclusion, this study indicates that smaller (balanced and unbalanced) SSG formats tend to enhance the frequency, effectiveness, and appropriateness of attacking and defensive behaviors, particularly those involving direct actions.

求助全文
通过发布文献求助,成功后即可免费获取论文全文。 去求助
来源期刊
Journal of Human Kinetics
Journal of Human Kinetics 医学-运动科学
CiteScore
4.80
自引率
0.00%
发文量
83
审稿时长
3 months
期刊介绍: The Journal of Human Kinetics is an open access interdisciplinary periodical offering the latest research in the science of human movement studies. This comprehensive professional journal features articles and research notes encompassing such topic areas as: Kinesiology, Exercise Physiology and Nutrition, Sports Training and Behavioural Sciences in Sport, but especially considering elite and competitive aspects of sport. The journal publishes original papers, invited reviews, short communications and letters to the Editors. Manuscripts submitted to the journal must contain novel data on theoretical or experimental research or on practical applications in the field of sport sciences. The Journal of Human Kinetics is published in March, June, September and December. We encourage scientists from around the world to submit their papers to our periodical.
×
引用
GB/T 7714-2015
复制
MLA
复制
APA
复制
导出至
BibTeX EndNote RefMan NoteFirst NoteExpress
×
提示
您的信息不完整,为了账户安全,请先补充。
现在去补充
×
提示
您因"违规操作"
具体请查看互助需知
我知道了
×
提示
确定
请完成安全验证×
copy
已复制链接
快去分享给好友吧!
我知道了
右上角分享
点击右上角分享
0
联系我们:info@booksci.cn Book学术提供免费学术资源搜索服务,方便国内外学者检索中英文文献。致力于提供最便捷和优质的服务体验。 Copyright © 2023 布克学术 All rights reserved.
京ICP备2023020795号-1
ghs 京公网安备 11010802042870号
Book学术文献互助
Book学术文献互助群
群 号:604180095
Book学术官方微信