不同后热身策略对五人制足球非首发球员的影响。

IF 2.8 3区 医学 Q2 SPORT SCIENCES
Journal of Human Kinetics Pub Date : 2024-12-19 eCollection Date: 2025-04-01 DOI:10.5114/jhk/192789
Nuno Silva, Bruno Travassos, Bruno Gonçalves, Fábio Yuzo Nakamura, Eduardo Abade
{"title":"不同后热身策略对五人制足球非首发球员的影响。","authors":"Nuno Silva, Bruno Travassos, Bruno Gonçalves, Fábio Yuzo Nakamura, Eduardo Abade","doi":"10.5114/jhk/192789","DOIUrl":null,"url":null,"abstract":"<p><p>Futsal warm-ups are crucial pre-match routines designed to enhance players' readiness. However, non-starter players inevitably face longer periods of inactivity. This study aimed to investigate the effects of various post warm-up strategies on physical performance of non-starter players in futsal. Thirteen highly trained male futsal players participated in this study during the in-season period. All players performed three distinct post warm-up strategies over consecutive days: REST, dynamic stretching (DYS), and a combination of plyometrics with change of direction drills (PLY-COD). After performing a standard warm-up, players remained inactive for 10 min, mirroring the traditional time window leading up to the start of the match. Subsequently, post warm-up strategies were implemented. Testing included a countermovement-jump, a reactive strength index, 5- and 10-m sprints, and a 505 COD test. Players were tested 10 min after the conclusion of the warm-up and immediately after the post warm-up strategy. The PLY-COD strategy yielded positive effects across all variables. Running performance improved with small to moderate effect in both sprint (-2.2 ± 1.9%), (-1.6 ± 1.7%), and COD (-2.9 ± 3.5%) tests. Conversely, both DYS and REST strategies had a detrimental impact on running and jumping performances, with this impairment being more pronounced in running following REST strategy, particularly in the 10-m linear sprint (1.4 ± 1.7%). These results suggest that remaining inactive or exerting limited effort after a warm-up may be detrimental to physical performance of futsal non-starter players. On the other hand, PLY-COD drills could be effective strategies to maintain or even enhance physical performance following the warm-up.</p>","PeriodicalId":16055,"journal":{"name":"Journal of Human Kinetics","volume":"97 ","pages":"169-181"},"PeriodicalIF":2.8000,"publicationDate":"2024-12-19","publicationTypes":"Journal Article","fieldsOfStudy":null,"isOpenAccess":false,"openAccessPdf":"https://www.ncbi.nlm.nih.gov/pmc/articles/PMC12127939/pdf/","citationCount":"0","resultStr":"{\"title\":\"Effects of Different Post Warm-Up Strategies for Non-Starter Players in Futsal.\",\"authors\":\"Nuno Silva, Bruno Travassos, Bruno Gonçalves, Fábio Yuzo Nakamura, Eduardo Abade\",\"doi\":\"10.5114/jhk/192789\",\"DOIUrl\":null,\"url\":null,\"abstract\":\"<p><p>Futsal warm-ups are crucial pre-match routines designed to enhance players' readiness. However, non-starter players inevitably face longer periods of inactivity. This study aimed to investigate the effects of various post warm-up strategies on physical performance of non-starter players in futsal. Thirteen highly trained male futsal players participated in this study during the in-season period. All players performed three distinct post warm-up strategies over consecutive days: REST, dynamic stretching (DYS), and a combination of plyometrics with change of direction drills (PLY-COD). After performing a standard warm-up, players remained inactive for 10 min, mirroring the traditional time window leading up to the start of the match. Subsequently, post warm-up strategies were implemented. Testing included a countermovement-jump, a reactive strength index, 5- and 10-m sprints, and a 505 COD test. Players were tested 10 min after the conclusion of the warm-up and immediately after the post warm-up strategy. The PLY-COD strategy yielded positive effects across all variables. Running performance improved with small to moderate effect in both sprint (-2.2 ± 1.9%), (-1.6 ± 1.7%), and COD (-2.9 ± 3.5%) tests. Conversely, both DYS and REST strategies had a detrimental impact on running and jumping performances, with this impairment being more pronounced in running following REST strategy, particularly in the 10-m linear sprint (1.4 ± 1.7%). These results suggest that remaining inactive or exerting limited effort after a warm-up may be detrimental to physical performance of futsal non-starter players. On the other hand, PLY-COD drills could be effective strategies to maintain or even enhance physical performance following the warm-up.</p>\",\"PeriodicalId\":16055,\"journal\":{\"name\":\"Journal of Human Kinetics\",\"volume\":\"97 \",\"pages\":\"169-181\"},\"PeriodicalIF\":2.8000,\"publicationDate\":\"2024-12-19\",\"publicationTypes\":\"Journal Article\",\"fieldsOfStudy\":null,\"isOpenAccess\":false,\"openAccessPdf\":\"https://www.ncbi.nlm.nih.gov/pmc/articles/PMC12127939/pdf/\",\"citationCount\":\"0\",\"resultStr\":null,\"platform\":\"Semanticscholar\",\"paperid\":null,\"PeriodicalName\":\"Journal of Human Kinetics\",\"FirstCategoryId\":\"3\",\"ListUrlMain\":\"https://doi.org/10.5114/jhk/192789\",\"RegionNum\":3,\"RegionCategory\":\"医学\",\"ArticlePicture\":[],\"TitleCN\":null,\"AbstractTextCN\":null,\"PMCID\":null,\"EPubDate\":\"2025/4/1 0:00:00\",\"PubModel\":\"eCollection\",\"JCR\":\"Q2\",\"JCRName\":\"SPORT SCIENCES\",\"Score\":null,\"Total\":0}","platform":"Semanticscholar","paperid":null,"PeriodicalName":"Journal of Human Kinetics","FirstCategoryId":"3","ListUrlMain":"https://doi.org/10.5114/jhk/192789","RegionNum":3,"RegionCategory":"医学","ArticlePicture":[],"TitleCN":null,"AbstractTextCN":null,"PMCID":null,"EPubDate":"2025/4/1 0:00:00","PubModel":"eCollection","JCR":"Q2","JCRName":"SPORT SCIENCES","Score":null,"Total":0}
引用次数: 0

摘要

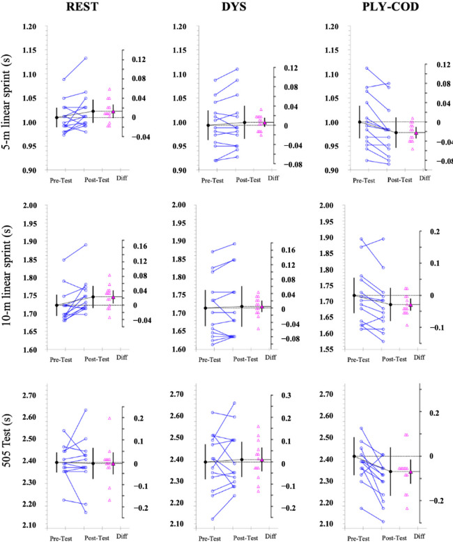
五人制热身是重要的赛前惯例,旨在提高球员的准备。然而,非首发球员不可避免地要面对更长时间的不活动。本研究旨在探讨不同热身策略对五人制比赛非首发球员体能表现的影响。13名训练有素的男子五人制足球运动员在赛季期间参加了这项研究。在连续的几天里,所有的运动员都进行了三种不同的热身后策略:休息、动态拉伸(DYS)和增强训练与方向变化训练(PLY-COD)的结合。在进行了标准的热身之后,球员们保持10分钟的不活动状态,这与比赛开始前的传统时间窗口一致。随后,实施了后热身策略。测试包括反运动跳跃,反应强度指数,5米和10米短跑,以及505 COD测试。在热身结束后10分钟和热身后立即对球员进行测试。PLY-COD策略在所有变量中都产生了积极的影响。在短跑(-2.2±1.9%)、(-1.6±1.7%)和COD(-2.9±3.5%)测试中,跑步性能均有小到中等程度的改善。相反,DYS和REST策略对跑步和跳跃性能都有不利影响,这种损害在遵循REST策略的跑步中更为明显,特别是在10米线性冲刺中(1.4±1.7%)。这些结果表明,在热身后保持不活动或施加有限的努力可能对五人制非首发球员的身体表现有害。另一方面,poly - cod训练可能是保持甚至提高热身后身体表现的有效策略。
本文章由计算机程序翻译,如有差异,请以英文原文为准。

Effects of Different Post Warm-Up Strategies for Non-Starter Players in Futsal.

Effects of Different Post Warm-Up Strategies for Non-Starter Players in Futsal.

Effects of Different Post Warm-Up Strategies for Non-Starter Players in Futsal.

Effects of Different Post Warm-Up Strategies for Non-Starter Players in Futsal.

Futsal warm-ups are crucial pre-match routines designed to enhance players' readiness. However, non-starter players inevitably face longer periods of inactivity. This study aimed to investigate the effects of various post warm-up strategies on physical performance of non-starter players in futsal. Thirteen highly trained male futsal players participated in this study during the in-season period. All players performed three distinct post warm-up strategies over consecutive days: REST, dynamic stretching (DYS), and a combination of plyometrics with change of direction drills (PLY-COD). After performing a standard warm-up, players remained inactive for 10 min, mirroring the traditional time window leading up to the start of the match. Subsequently, post warm-up strategies were implemented. Testing included a countermovement-jump, a reactive strength index, 5- and 10-m sprints, and a 505 COD test. Players were tested 10 min after the conclusion of the warm-up and immediately after the post warm-up strategy. The PLY-COD strategy yielded positive effects across all variables. Running performance improved with small to moderate effect in both sprint (-2.2 ± 1.9%), (-1.6 ± 1.7%), and COD (-2.9 ± 3.5%) tests. Conversely, both DYS and REST strategies had a detrimental impact on running and jumping performances, with this impairment being more pronounced in running following REST strategy, particularly in the 10-m linear sprint (1.4 ± 1.7%). These results suggest that remaining inactive or exerting limited effort after a warm-up may be detrimental to physical performance of futsal non-starter players. On the other hand, PLY-COD drills could be effective strategies to maintain or even enhance physical performance following the warm-up.

求助全文
通过发布文献求助,成功后即可免费获取论文全文。 去求助
来源期刊
Journal of Human Kinetics
Journal of Human Kinetics 医学-运动科学
CiteScore
4.80
自引率
0.00%
发文量
83
审稿时长
3 months
期刊介绍: The Journal of Human Kinetics is an open access interdisciplinary periodical offering the latest research in the science of human movement studies. This comprehensive professional journal features articles and research notes encompassing such topic areas as: Kinesiology, Exercise Physiology and Nutrition, Sports Training and Behavioural Sciences in Sport, but especially considering elite and competitive aspects of sport. The journal publishes original papers, invited reviews, short communications and letters to the Editors. Manuscripts submitted to the journal must contain novel data on theoretical or experimental research or on practical applications in the field of sport sciences. The Journal of Human Kinetics is published in March, June, September and December. We encourage scientists from around the world to submit their papers to our periodical.
×
引用
GB/T 7714-2015
复制
MLA
复制
APA
复制
导出至
BibTeX EndNote RefMan NoteFirst NoteExpress
×
提示
您的信息不完整,为了账户安全,请先补充。
现在去补充
×
提示
您因"违规操作"
具体请查看互助需知
我知道了
×
提示
确定
请完成安全验证×
copy
已复制链接
快去分享给好友吧!
我知道了
右上角分享
点击右上角分享
0
联系我们:info@booksci.cn Book学术提供免费学术资源搜索服务,方便国内外学者检索中英文文献。致力于提供最便捷和优质的服务体验。 Copyright © 2023 布克学术 All rights reserved.
京ICP备2023020795号-1
ghs 京公网安备 11010802042870号
Book学术文献互助
Book学术文献互助群
群 号:604180095
Book学术官方微信