卧推运动中血流限制后不同再灌注时间对杆速的急性影响。

IF 2.8 3区 医学 Q2 SPORT SCIENCES
Journal of Human Kinetics Pub Date : 2024-12-19 eCollection Date: 2025-04-01 DOI:10.5114/jhk/194471
Dawid Gawel, Robert Trybulski, Marta Bichowska-Paweska, Jakub Jarosz, Maciej Kostrzewa, Michal Wilk
{"title":"卧推运动中血流限制后不同再灌注时间对杆速的急性影响。","authors":"Dawid Gawel, Robert Trybulski, Marta Bichowska-Paweska, Jakub Jarosz, Maciej Kostrzewa, Michal Wilk","doi":"10.5114/jhk/194471","DOIUrl":null,"url":null,"abstract":"<p><p>The main goal of this study was to evaluate the effects of different reperfusion duration following intra-conditioning blood flow restriction (BFR) on bar velocity during the bench press exercise and muscle viscoelastic properties of the triceps brachii. Eleven resistance trained males (age: 24.3 ± 4.9 years; body mass: 85.5 ± 13.2 kg; bench press 1RM: 123.6 ± 25.4 kg; training experience: 6.8 ± 5.1 years) volunteered for the study. During the experimental sessions participants performed 5 sets of 3 repetitions of the bench press exercise with a load of 60% 1RM under four different conditions: two BFR (80% AOP) and two control conditions. For the BFR conditions, cuffs were applied before each set for 4.5 min and released 30 or 60 s before the start of the set as reperfusion. Under the control conditions, BFR was not applied and the total duration of rest intervals amounted to 5 min and 5.5 min. Measurements of viscoelastic properties were conducted at baseline and immediately after completion of each set of the bench press exercise. The two-way ANOVA showed no significant condition × set interaction for mean and peak bar velocity (p = 0.93; p = 0.787; accordingly), and no main effect of condition for mean and peak bar velocity (p = 0.57; p = 0.417; accordingly). The Friedman's test showed no differences in oscillation frequency (p = 0.156), stiffness (p = 0.368), and the logarithmic decrement of tissue oscillation (p = 0.644). The results of this study indicate that BFR during rest intervals does not acutely influence mean and peak bar velocity, as well as mechanical properties of the triceps brachii regardless of the duration of reperfusion.</p>","PeriodicalId":16055,"journal":{"name":"Journal of Human Kinetics","volume":"97 ","pages":"141-155"},"PeriodicalIF":2.8000,"publicationDate":"2024-12-19","publicationTypes":"Journal Article","fieldsOfStudy":null,"isOpenAccess":false,"openAccessPdf":"https://www.ncbi.nlm.nih.gov/pmc/articles/PMC12127942/pdf/","citationCount":"0","resultStr":"{\"title\":\"Acute Impact of Different Reperfusion Duration Following Blood Flow Restriction on Bar Velocity during the Bench Press Exercise.\",\"authors\":\"Dawid Gawel, Robert Trybulski, Marta Bichowska-Paweska, Jakub Jarosz, Maciej Kostrzewa, Michal Wilk\",\"doi\":\"10.5114/jhk/194471\",\"DOIUrl\":null,\"url\":null,\"abstract\":\"<p><p>The main goal of this study was to evaluate the effects of different reperfusion duration following intra-conditioning blood flow restriction (BFR) on bar velocity during the bench press exercise and muscle viscoelastic properties of the triceps brachii. Eleven resistance trained males (age: 24.3 ± 4.9 years; body mass: 85.5 ± 13.2 kg; bench press 1RM: 123.6 ± 25.4 kg; training experience: 6.8 ± 5.1 years) volunteered for the study. During the experimental sessions participants performed 5 sets of 3 repetitions of the bench press exercise with a load of 60% 1RM under four different conditions: two BFR (80% AOP) and two control conditions. For the BFR conditions, cuffs were applied before each set for 4.5 min and released 30 or 60 s before the start of the set as reperfusion. Under the control conditions, BFR was not applied and the total duration of rest intervals amounted to 5 min and 5.5 min. Measurements of viscoelastic properties were conducted at baseline and immediately after completion of each set of the bench press exercise. The two-way ANOVA showed no significant condition × set interaction for mean and peak bar velocity (p = 0.93; p = 0.787; accordingly), and no main effect of condition for mean and peak bar velocity (p = 0.57; p = 0.417; accordingly). The Friedman's test showed no differences in oscillation frequency (p = 0.156), stiffness (p = 0.368), and the logarithmic decrement of tissue oscillation (p = 0.644). The results of this study indicate that BFR during rest intervals does not acutely influence mean and peak bar velocity, as well as mechanical properties of the triceps brachii regardless of the duration of reperfusion.</p>\",\"PeriodicalId\":16055,\"journal\":{\"name\":\"Journal of Human Kinetics\",\"volume\":\"97 \",\"pages\":\"141-155\"},\"PeriodicalIF\":2.8000,\"publicationDate\":\"2024-12-19\",\"publicationTypes\":\"Journal Article\",\"fieldsOfStudy\":null,\"isOpenAccess\":false,\"openAccessPdf\":\"https://www.ncbi.nlm.nih.gov/pmc/articles/PMC12127942/pdf/\",\"citationCount\":\"0\",\"resultStr\":null,\"platform\":\"Semanticscholar\",\"paperid\":null,\"PeriodicalName\":\"Journal of Human Kinetics\",\"FirstCategoryId\":\"3\",\"ListUrlMain\":\"https://doi.org/10.5114/jhk/194471\",\"RegionNum\":3,\"RegionCategory\":\"医学\",\"ArticlePicture\":[],\"TitleCN\":null,\"AbstractTextCN\":null,\"PMCID\":null,\"EPubDate\":\"2025/4/1 0:00:00\",\"PubModel\":\"eCollection\",\"JCR\":\"Q2\",\"JCRName\":\"SPORT SCIENCES\",\"Score\":null,\"Total\":0}","platform":"Semanticscholar","paperid":null,"PeriodicalName":"Journal of Human Kinetics","FirstCategoryId":"3","ListUrlMain":"https://doi.org/10.5114/jhk/194471","RegionNum":3,"RegionCategory":"医学","ArticlePicture":[],"TitleCN":null,"AbstractTextCN":null,"PMCID":null,"EPubDate":"2025/4/1 0:00:00","PubModel":"eCollection","JCR":"Q2","JCRName":"SPORT SCIENCES","Score":null,"Total":0}
引用次数: 0

摘要

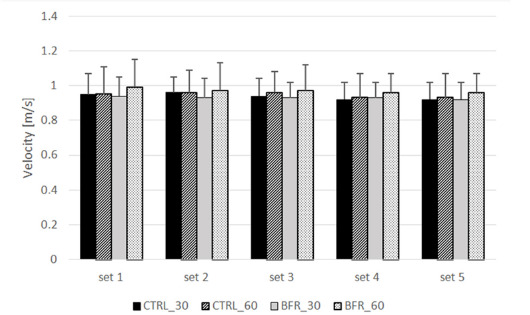
本研究的主要目的是评估调节血流限制(BFR)后不同再灌注时间对卧推运动中杠铃速度和肱三头肌肌肉粘弹性特性的影响。抗阻训练男性11人(年龄:24.3±4.9岁;体重:85.5±13.2 kg;卧推1RM: 123.6±25.4 kg;培训经历:6.8±5.1年)自愿参加研究。在实验期间,参与者在四种不同的条件下进行了5组3次重复的卧推练习,负荷为60% 1RM:两种BFR (80% AOP)和两种对照条件。在BFR条件下,每次设置前使用手铐4.5 min,并在开始设置前30或60 s释放作为再灌注。在控制条件下,不使用BFR,休息间隔的总持续时间为5分钟和5.5分钟。粘弹性性能的测量在基线和每组卧推练习完成后立即进行。双向方差分析显示,平均杆速和峰值杆速无显著的条件×集交互作用(p = 0.93;P = 0.787;条件对平均杆速和峰值杆速无主要影响(p = 0.57;P = 0.417;相应的)。弗里德曼检验显示振荡频率(p = 0.156)、刚度(p = 0.368)和组织振荡的对数衰减(p = 0.644)无差异。本研究结果表明,无论再灌注持续时间如何,休息间隔期间的BFR对平均杆速和峰值杆速以及肱三头肌的力学性能都没有明显影响。
本文章由计算机程序翻译,如有差异,请以英文原文为准。

Acute Impact of Different Reperfusion Duration Following Blood Flow Restriction on Bar Velocity during the Bench Press Exercise.

Acute Impact of Different Reperfusion Duration Following Blood Flow Restriction on Bar Velocity during the Bench Press Exercise.

Acute Impact of Different Reperfusion Duration Following Blood Flow Restriction on Bar Velocity during the Bench Press Exercise.

Acute Impact of Different Reperfusion Duration Following Blood Flow Restriction on Bar Velocity during the Bench Press Exercise.

The main goal of this study was to evaluate the effects of different reperfusion duration following intra-conditioning blood flow restriction (BFR) on bar velocity during the bench press exercise and muscle viscoelastic properties of the triceps brachii. Eleven resistance trained males (age: 24.3 ± 4.9 years; body mass: 85.5 ± 13.2 kg; bench press 1RM: 123.6 ± 25.4 kg; training experience: 6.8 ± 5.1 years) volunteered for the study. During the experimental sessions participants performed 5 sets of 3 repetitions of the bench press exercise with a load of 60% 1RM under four different conditions: two BFR (80% AOP) and two control conditions. For the BFR conditions, cuffs were applied before each set for 4.5 min and released 30 or 60 s before the start of the set as reperfusion. Under the control conditions, BFR was not applied and the total duration of rest intervals amounted to 5 min and 5.5 min. Measurements of viscoelastic properties were conducted at baseline and immediately after completion of each set of the bench press exercise. The two-way ANOVA showed no significant condition × set interaction for mean and peak bar velocity (p = 0.93; p = 0.787; accordingly), and no main effect of condition for mean and peak bar velocity (p = 0.57; p = 0.417; accordingly). The Friedman's test showed no differences in oscillation frequency (p = 0.156), stiffness (p = 0.368), and the logarithmic decrement of tissue oscillation (p = 0.644). The results of this study indicate that BFR during rest intervals does not acutely influence mean and peak bar velocity, as well as mechanical properties of the triceps brachii regardless of the duration of reperfusion.

求助全文
通过发布文献求助,成功后即可免费获取论文全文。 去求助
来源期刊
Journal of Human Kinetics
Journal of Human Kinetics 医学-运动科学
CiteScore
4.80
自引率
0.00%
发文量
83
审稿时长
3 months
期刊介绍: The Journal of Human Kinetics is an open access interdisciplinary periodical offering the latest research in the science of human movement studies. This comprehensive professional journal features articles and research notes encompassing such topic areas as: Kinesiology, Exercise Physiology and Nutrition, Sports Training and Behavioural Sciences in Sport, but especially considering elite and competitive aspects of sport. The journal publishes original papers, invited reviews, short communications and letters to the Editors. Manuscripts submitted to the journal must contain novel data on theoretical or experimental research or on practical applications in the field of sport sciences. The Journal of Human Kinetics is published in March, June, September and December. We encourage scientists from around the world to submit their papers to our periodical.
×
引用
GB/T 7714-2015
复制
MLA
复制
APA
复制
导出至
BibTeX EndNote RefMan NoteFirst NoteExpress
×
提示
您的信息不完整,为了账户安全,请先补充。
现在去补充
×
提示
您因"违规操作"
具体请查看互助需知
我知道了
×
提示
确定
请完成安全验证×
copy
已复制链接
快去分享给好友吧!
我知道了
右上角分享
点击右上角分享
0
联系我们:info@booksci.cn Book学术提供免费学术资源搜索服务,方便国内外学者检索中英文文献。致力于提供最便捷和优质的服务体验。 Copyright © 2023 布克学术 All rights reserved.
京ICP备2023020795号-1
ghs 京公网安备 11010802042870号
Book学术文献互助
Book学术文献互助群
群 号:604180095
Book学术官方微信