循环成纤维细胞生长因子-21在非酒精性脂肪肝患者中的作用:一项系统综述和荟萃分析

IF 11 2区 医学 Q1 ENDOCRINOLOGY & METABOLISM
Ioanna Filimidou, Myrsini Orfanidou, Antonis Goulas, Olga Giouleme, Stergios Α Polyzos
{"title":"循环成纤维细胞生长因子-21在非酒精性脂肪肝患者中的作用:一项系统综述和荟萃分析","authors":"Ioanna Filimidou, Myrsini Orfanidou, Antonis Goulas, Olga Giouleme, Stergios Α Polyzos","doi":"10.1007/s13679-025-00643-x","DOIUrl":null,"url":null,"abstract":"<p><strong>Background: </strong>The pathogenesis of nonalcoholic fatty liver disease (NAFLD) is multifactorial. Fibroblast growth factor-21 (FGF-21) has been proposed to be associated with NAFLD, but data on its circulating levels in patients with NAFLD are to date conflicting.</p><p><strong>Aims: </strong>The synthesis and comparison of data on circulating FGF-21 between patients with NAFLD and controls without NAFLD.</p><p><strong>Methods: </strong>A comprehensive literature search was conducted in PubMed, Cochrane Library and Scopus, complemented by hand-searching. Forty-four observational studies with overall 15,563 participants (9548 controls and 6015 NAFLD patients) were included in the study.</p><p><strong>Results: </strong>Circulating FGF-21 was higher in patients with NAFLD compared to controls (standardized mean difference [SMD]: 0.61; 95% confidence interval [CI]: 0.44, 0.77; p < 0.00001). Subgroup analysis showed higher FGF-21 levels in patients with nonalcoholic steatohepatitis (NASH) compared to controls (SMD: 1.30; 95% CI: 0.35, 2.24; p = 0.007), but not between hepatic steatosis and controls, or hepatic steatosis and NASH. Furthermore, the findings were more robust in the subgroup of studies with NASH-related cirrhosis than those without them (p = 0.0004). Sensitivity analysis further supported the findings. Heterogeneity was high in all comparisons. Meta-regression analyses showed that FGF-21 SMD between NAFLD patients and controls was positively associated with the rate of patients with type 2 diabetes mellitus per study, and this could explain 49.2% of the heterogeneity among studies.</p><p><strong>Conclusions: </strong>Circulating FGF-21 levels were higher in NAFLD patients than controls, which may be possibly attributed to those with advanced disease (NASH and related cirrhosis).  Circulating fibroblast growth factor-21 levels were higher in patients with nonalcoholic fatty liver disease compared to controls. This is primarily attributed to the higher levels observed in patients with advanced disease (steatohepatitis and related cirrhosis).</p>","PeriodicalId":10846,"journal":{"name":"Current Obesity Reports","volume":"14 1","pages":"51"},"PeriodicalIF":11.0000,"publicationDate":"2025-06-04","publicationTypes":"Journal Article","fieldsOfStudy":null,"isOpenAccess":false,"openAccessPdf":"https://www.ncbi.nlm.nih.gov/pmc/articles/PMC12137391/pdf/","citationCount":"0","resultStr":"{\"title\":\"Circulating Fibroblast Growth Factor-21 in Patients with Nonalcoholic Fatty Liver Disease: A Systematic Review and Meta-Analysis.\",\"authors\":\"Ioanna Filimidou, Myrsini Orfanidou, Antonis Goulas, Olga Giouleme, Stergios Α Polyzos\",\"doi\":\"10.1007/s13679-025-00643-x\",\"DOIUrl\":null,\"url\":null,\"abstract\":\"<p><strong>Background: </strong>The pathogenesis of nonalcoholic fatty liver disease (NAFLD) is multifactorial. Fibroblast growth factor-21 (FGF-21) has been proposed to be associated with NAFLD, but data on its circulating levels in patients with NAFLD are to date conflicting.</p><p><strong>Aims: </strong>The synthesis and comparison of data on circulating FGF-21 between patients with NAFLD and controls without NAFLD.</p><p><strong>Methods: </strong>A comprehensive literature search was conducted in PubMed, Cochrane Library and Scopus, complemented by hand-searching. Forty-four observational studies with overall 15,563 participants (9548 controls and 6015 NAFLD patients) were included in the study.</p><p><strong>Results: </strong>Circulating FGF-21 was higher in patients with NAFLD compared to controls (standardized mean difference [SMD]: 0.61; 95% confidence interval [CI]: 0.44, 0.77; p < 0.00001). Subgroup analysis showed higher FGF-21 levels in patients with nonalcoholic steatohepatitis (NASH) compared to controls (SMD: 1.30; 95% CI: 0.35, 2.24; p = 0.007), but not between hepatic steatosis and controls, or hepatic steatosis and NASH. Furthermore, the findings were more robust in the subgroup of studies with NASH-related cirrhosis than those without them (p = 0.0004). Sensitivity analysis further supported the findings. Heterogeneity was high in all comparisons. Meta-regression analyses showed that FGF-21 SMD between NAFLD patients and controls was positively associated with the rate of patients with type 2 diabetes mellitus per study, and this could explain 49.2% of the heterogeneity among studies.</p><p><strong>Conclusions: </strong>Circulating FGF-21 levels were higher in NAFLD patients than controls, which may be possibly attributed to those with advanced disease (NASH and related cirrhosis).  Circulating fibroblast growth factor-21 levels were higher in patients with nonalcoholic fatty liver disease compared to controls. This is primarily attributed to the higher levels observed in patients with advanced disease (steatohepatitis and related cirrhosis).</p>\",\"PeriodicalId\":10846,\"journal\":{\"name\":\"Current Obesity Reports\",\"volume\":\"14 1\",\"pages\":\"51\"},\"PeriodicalIF\":11.0000,\"publicationDate\":\"2025-06-04\",\"publicationTypes\":\"Journal Article\",\"fieldsOfStudy\":null,\"isOpenAccess\":false,\"openAccessPdf\":\"https://www.ncbi.nlm.nih.gov/pmc/articles/PMC12137391/pdf/\",\"citationCount\":\"0\",\"resultStr\":null,\"platform\":\"Semanticscholar\",\"paperid\":null,\"PeriodicalName\":\"Current Obesity Reports\",\"FirstCategoryId\":\"3\",\"ListUrlMain\":\"https://doi.org/10.1007/s13679-025-00643-x\",\"RegionNum\":2,\"RegionCategory\":\"医学\",\"ArticlePicture\":[],\"TitleCN\":null,\"AbstractTextCN\":null,\"PMCID\":null,\"EPubDate\":\"\",\"PubModel\":\"\",\"JCR\":\"Q1\",\"JCRName\":\"ENDOCRINOLOGY & METABOLISM\",\"Score\":null,\"Total\":0}","platform":"Semanticscholar","paperid":null,"PeriodicalName":"Current Obesity Reports","FirstCategoryId":"3","ListUrlMain":"https://doi.org/10.1007/s13679-025-00643-x","RegionNum":2,"RegionCategory":"医学","ArticlePicture":[],"TitleCN":null,"AbstractTextCN":null,"PMCID":null,"EPubDate":"","PubModel":"","JCR":"Q1","JCRName":"ENDOCRINOLOGY & METABOLISM","Score":null,"Total":0}
引用次数: 0

摘要

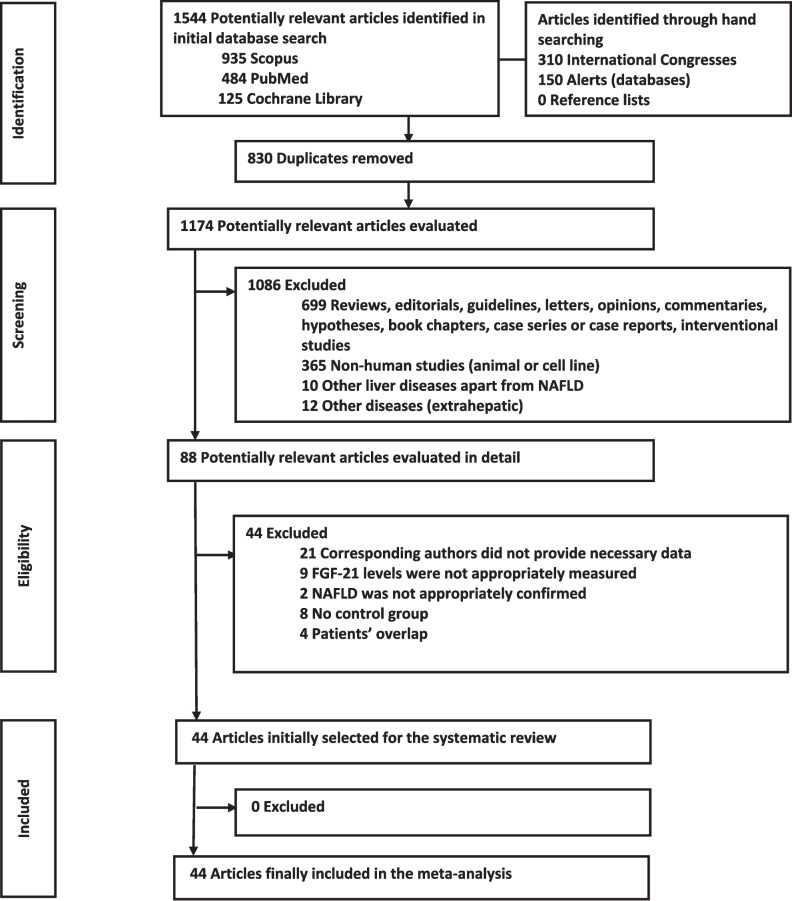
背景:非酒精性脂肪肝(NAFLD)的发病机制是多因素的。成纤维细胞生长因子-21 (FGF-21)被认为与NAFLD有关,但其在NAFLD患者体内循环水平的数据迄今为止存在矛盾。目的:NAFLD患者与非NAFLD对照组循环FGF-21数据的综合与比较。方法:在PubMed、Cochrane Library和Scopus中进行综合文献检索,并辅以手工检索。44项观察性研究共纳入15563名参与者(9548名对照和6015名NAFLD患者)。结果:NAFLD患者的循环FGF-21高于对照组(标准化平均差[SMD]: 0.61;95%置信区间[CI]: 0.44, 0.77;结论:NAFLD患者的循环FGF-21水平高于对照组,这可能归因于疾病晚期(NASH和相关肝硬化)。与对照组相比,非酒精性脂肪肝患者的循环成纤维细胞生长因子-21水平更高。这主要归因于在晚期疾病(脂肪性肝炎和相关肝硬化)患者中观察到的较高水平。
本文章由计算机程序翻译,如有差异,请以英文原文为准。

Circulating Fibroblast Growth Factor-21 in Patients with Nonalcoholic Fatty Liver Disease: A Systematic Review and Meta-Analysis.

Circulating Fibroblast Growth Factor-21 in Patients with Nonalcoholic Fatty Liver Disease: A Systematic Review and Meta-Analysis.

Circulating Fibroblast Growth Factor-21 in Patients with Nonalcoholic Fatty Liver Disease: A Systematic Review and Meta-Analysis.

Circulating Fibroblast Growth Factor-21 in Patients with Nonalcoholic Fatty Liver Disease: A Systematic Review and Meta-Analysis.

Background: The pathogenesis of nonalcoholic fatty liver disease (NAFLD) is multifactorial. Fibroblast growth factor-21 (FGF-21) has been proposed to be associated with NAFLD, but data on its circulating levels in patients with NAFLD are to date conflicting.

Aims: The synthesis and comparison of data on circulating FGF-21 between patients with NAFLD and controls without NAFLD.

Methods: A comprehensive literature search was conducted in PubMed, Cochrane Library and Scopus, complemented by hand-searching. Forty-four observational studies with overall 15,563 participants (9548 controls and 6015 NAFLD patients) were included in the study.

Results: Circulating FGF-21 was higher in patients with NAFLD compared to controls (standardized mean difference [SMD]: 0.61; 95% confidence interval [CI]: 0.44, 0.77; p < 0.00001). Subgroup analysis showed higher FGF-21 levels in patients with nonalcoholic steatohepatitis (NASH) compared to controls (SMD: 1.30; 95% CI: 0.35, 2.24; p = 0.007), but not between hepatic steatosis and controls, or hepatic steatosis and NASH. Furthermore, the findings were more robust in the subgroup of studies with NASH-related cirrhosis than those without them (p = 0.0004). Sensitivity analysis further supported the findings. Heterogeneity was high in all comparisons. Meta-regression analyses showed that FGF-21 SMD between NAFLD patients and controls was positively associated with the rate of patients with type 2 diabetes mellitus per study, and this could explain 49.2% of the heterogeneity among studies.

Conclusions: Circulating FGF-21 levels were higher in NAFLD patients than controls, which may be possibly attributed to those with advanced disease (NASH and related cirrhosis).  Circulating fibroblast growth factor-21 levels were higher in patients with nonalcoholic fatty liver disease compared to controls. This is primarily attributed to the higher levels observed in patients with advanced disease (steatohepatitis and related cirrhosis).

求助全文
通过发布文献求助,成功后即可免费获取论文全文。 去求助
来源期刊
Current Obesity Reports
Current Obesity Reports Medicine-General Medicine
CiteScore
16.40
自引率
1.10%
发文量
25
期刊介绍: The main objective of Current Obesity Reports is to provide expert review articles on recent advancements in the interdisciplinary field of obesity research. Our aim is to offer clear, insightful, and balanced contributions that will benefit all individuals involved in the treatment and prevention of obesity, as well as related conditions such as cardiovascular diseases, endocrine disorders, gynecological issues, cancer, mental health, respiratory complications, and rheumatological diseases. We strive to redefine the way knowledge is expressed and provide organized content for the benefit of our readership.
×
引用
GB/T 7714-2015
复制
MLA
复制
APA
复制
导出至
BibTeX EndNote RefMan NoteFirst NoteExpress
×
提示
您的信息不完整,为了账户安全,请先补充。
现在去补充
×
提示
您因"违规操作"
具体请查看互助需知
我知道了
×
提示
确定
请完成安全验证×
copy
已复制链接
快去分享给好友吧!
我知道了
右上角分享
点击右上角分享
0
联系我们:info@booksci.cn Book学术提供免费学术资源搜索服务,方便国内外学者检索中英文文献。致力于提供最便捷和优质的服务体验。 Copyright © 2023 布克学术 All rights reserved.
京ICP备2023020795号-1
ghs 京公网安备 11010802042870号
Book学术文献互助
Book学术文献互助群
群 号:604180095
Book学术官方微信