杜氏肌营养不良(DMD) DE50-MD犬模型的长期、年龄相关活动量化。

IF 3.3 3区 医学 Q2 CELL BIOLOGY
Disease Models & Mechanisms Pub Date : 2025-07-01 Epub Date: 2025-07-14 DOI:10.1242/dmm.052135
Kamila Karimjee, Rachel C M River, Emil Olsen, Yu-Mei Chang, Dominic J Wells, Monica A Daley, Richard J Piercy
{"title":"杜氏肌营养不良(DMD) DE50-MD犬模型的长期、年龄相关活动量化。","authors":"Kamila Karimjee, Rachel C M River, Emil Olsen, Yu-Mei Chang, Dominic J Wells, Monica A Daley, Richard J Piercy","doi":"10.1242/dmm.052135","DOIUrl":null,"url":null,"abstract":"<p><p>Animal models with a clinically relevant phenotype remain important for robust evaluation of novel therapeutics for the fatal X-linked genetic disorder Duchenne muscular dystrophy (DMD). Demonstration of functional improvement is crucial for both patients and regulatory authorities. Here, we investigate non-invasive methods to quantify activity changes in DE50-MD dogs. Using collar-based Axivity-AX3 tri-axial accelerometers, we measured activity in affected DE50-MD male dogs (3-8 per age point) and littermate wild-type (WT) male controls (3-13 per age point) at monthly intervals from 3 to 18 months of age. Acceleration vector magnitudes were used to derive a series of activity measures over 24 h. Mixed model analyses were used to examine differences between affected and WT groups at different ages. Activity indicators for DE50-MD dogs were significantly higher for percent time spent at rest (P<0.001) and significantly lower for all other activity indicators (all P<0.05), when compared to age-matched WT dogs. Relatively few animals would be required to detect treatment effects with adequate power using these unbiassed, selected and composite activity measures. Our approach reveals opportunities for cross-model standardisation of activity monitoring.</p>","PeriodicalId":11144,"journal":{"name":"Disease Models & Mechanisms","volume":" ","pages":""},"PeriodicalIF":3.3000,"publicationDate":"2025-07-01","publicationTypes":"Journal Article","fieldsOfStudy":null,"isOpenAccess":false,"openAccessPdf":"https://www.ncbi.nlm.nih.gov/pmc/articles/PMC12309892/pdf/","citationCount":"0","resultStr":"{\"title\":\"Long-term, age-associated activity quantification in the DE50-MD dog model of Duchenne muscular dystrophy.\",\"authors\":\"Kamila Karimjee, Rachel C M River, Emil Olsen, Yu-Mei Chang, Dominic J Wells, Monica A Daley, Richard J Piercy\",\"doi\":\"10.1242/dmm.052135\",\"DOIUrl\":null,\"url\":null,\"abstract\":\"<p><p>Animal models with a clinically relevant phenotype remain important for robust evaluation of novel therapeutics for the fatal X-linked genetic disorder Duchenne muscular dystrophy (DMD). Demonstration of functional improvement is crucial for both patients and regulatory authorities. Here, we investigate non-invasive methods to quantify activity changes in DE50-MD dogs. Using collar-based Axivity-AX3 tri-axial accelerometers, we measured activity in affected DE50-MD male dogs (3-8 per age point) and littermate wild-type (WT) male controls (3-13 per age point) at monthly intervals from 3 to 18 months of age. Acceleration vector magnitudes were used to derive a series of activity measures over 24 h. Mixed model analyses were used to examine differences between affected and WT groups at different ages. Activity indicators for DE50-MD dogs were significantly higher for percent time spent at rest (P<0.001) and significantly lower for all other activity indicators (all P<0.05), when compared to age-matched WT dogs. Relatively few animals would be required to detect treatment effects with adequate power using these unbiassed, selected and composite activity measures. Our approach reveals opportunities for cross-model standardisation of activity monitoring.</p>\",\"PeriodicalId\":11144,\"journal\":{\"name\":\"Disease Models & Mechanisms\",\"volume\":\" \",\"pages\":\"\"},\"PeriodicalIF\":3.3000,\"publicationDate\":\"2025-07-01\",\"publicationTypes\":\"Journal Article\",\"fieldsOfStudy\":null,\"isOpenAccess\":false,\"openAccessPdf\":\"https://www.ncbi.nlm.nih.gov/pmc/articles/PMC12309892/pdf/\",\"citationCount\":\"0\",\"resultStr\":null,\"platform\":\"Semanticscholar\",\"paperid\":null,\"PeriodicalName\":\"Disease Models & Mechanisms\",\"FirstCategoryId\":\"3\",\"ListUrlMain\":\"https://doi.org/10.1242/dmm.052135\",\"RegionNum\":3,\"RegionCategory\":\"医学\",\"ArticlePicture\":[],\"TitleCN\":null,\"AbstractTextCN\":null,\"PMCID\":null,\"EPubDate\":\"2025/7/14 0:00:00\",\"PubModel\":\"Epub\",\"JCR\":\"Q2\",\"JCRName\":\"CELL BIOLOGY\",\"Score\":null,\"Total\":0}","platform":"Semanticscholar","paperid":null,"PeriodicalName":"Disease Models & Mechanisms","FirstCategoryId":"3","ListUrlMain":"https://doi.org/10.1242/dmm.052135","RegionNum":3,"RegionCategory":"医学","ArticlePicture":[],"TitleCN":null,"AbstractTextCN":null,"PMCID":null,"EPubDate":"2025/7/14 0:00:00","PubModel":"Epub","JCR":"Q2","JCRName":"CELL BIOLOGY","Score":null,"Total":0}
引用次数: 0

摘要

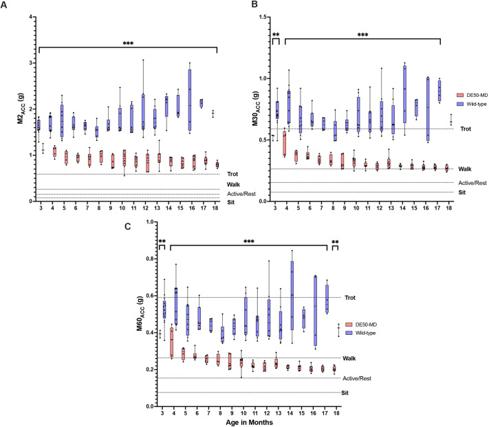
具有临床相关表型的动物模型对于评估致命的x连锁遗传性疾病杜氏肌营养不良症(DMD)的新疗法仍然很重要。功能改善的证明对患者和监管当局都至关重要。在这里,我们研究了非侵入性方法来量化DE50-MD犬的活动变化,使用基于项圈的三轴加速度计。使用Axivity-AX3加速计,我们每月测量受影响的DE50-MD雄性狗(每个年龄点3-8只)和同窝野生型(WT)雄性对照狗(每个年龄点3-13只)的活动,时间间隔为3至18个月。加速度矢量震级用于推导24小时内的一系列活动测量。混合模型分析用于检验不同年龄的受影响组和WT组之间的差异。DE50-MD犬的活动指标明显高于休息时间(p
本文章由计算机程序翻译,如有差异,请以英文原文为准。

Long-term, age-associated activity quantification in the DE50-MD dog model of Duchenne muscular dystrophy.

Long-term, age-associated activity quantification in the DE50-MD dog model of Duchenne muscular dystrophy.

Long-term, age-associated activity quantification in the DE50-MD dog model of Duchenne muscular dystrophy.

Long-term, age-associated activity quantification in the DE50-MD dog model of Duchenne muscular dystrophy.

Animal models with a clinically relevant phenotype remain important for robust evaluation of novel therapeutics for the fatal X-linked genetic disorder Duchenne muscular dystrophy (DMD). Demonstration of functional improvement is crucial for both patients and regulatory authorities. Here, we investigate non-invasive methods to quantify activity changes in DE50-MD dogs. Using collar-based Axivity-AX3 tri-axial accelerometers, we measured activity in affected DE50-MD male dogs (3-8 per age point) and littermate wild-type (WT) male controls (3-13 per age point) at monthly intervals from 3 to 18 months of age. Acceleration vector magnitudes were used to derive a series of activity measures over 24 h. Mixed model analyses were used to examine differences between affected and WT groups at different ages. Activity indicators for DE50-MD dogs were significantly higher for percent time spent at rest (P<0.001) and significantly lower for all other activity indicators (all P<0.05), when compared to age-matched WT dogs. Relatively few animals would be required to detect treatment effects with adequate power using these unbiassed, selected and composite activity measures. Our approach reveals opportunities for cross-model standardisation of activity monitoring.

求助全文
通过发布文献求助,成功后即可免费获取论文全文。 去求助
来源期刊
Disease Models & Mechanisms
Disease Models & Mechanisms 医学-病理学
CiteScore
6.60
自引率
7.00%
发文量
203
审稿时长
6-12 weeks
期刊介绍: Disease Models & Mechanisms (DMM) is an online Open Access journal focusing on the use of model systems to better understand, diagnose and treat human disease.
×
引用
GB/T 7714-2015
复制
MLA
复制
APA
复制
导出至
BibTeX EndNote RefMan NoteFirst NoteExpress
×
提示
您的信息不完整,为了账户安全,请先补充。
现在去补充
×
提示
您因"违规操作"
具体请查看互助需知
我知道了
×
提示
确定
请完成安全验证×
copy
已复制链接
快去分享给好友吧!
我知道了
右上角分享
点击右上角分享
0
联系我们:info@booksci.cn Book学术提供免费学术资源搜索服务,方便国内外学者检索中英文文献。致力于提供最便捷和优质的服务体验。 Copyright © 2023 布克学术 All rights reserved.
京ICP备2023020795号-1
ghs 京公网安备 11010802042870号
Book学术文献互助
Book学术文献互助群
群 号:604180095
Book学术官方微信