牛头草酚类化合物对耐甲氧西林金黄色葡萄球菌和大肠杆菌具有生物膜抑制活性。

IF 4.8 3区 医学 Q1 MEDICAL LABORATORY TECHNOLOGY
Pharmaceutical Biology Pub Date : 2025-12-01 Epub Date: 2025-06-02 DOI:10.1080/13880209.2025.2511805
Annamária Kincses, Tasneem Sultan Abu Ghazal, Katalin Veres, Gabriella Spengler, Judit Hohmann
{"title":"牛头草酚类化合物对耐甲氧西林金黄色葡萄球菌和大肠杆菌具有生物膜抑制活性。","authors":"Annamária Kincses, Tasneem Sultan Abu Ghazal, Katalin Veres, Gabriella Spengler, Judit Hohmann","doi":"10.1080/13880209.2025.2511805","DOIUrl":null,"url":null,"abstract":"<p><strong>Context: </strong>Antibiotic resistance in bacteria is a growing global problem, with biofilm formation and efflux pumps playing crucial roles in this issue.</p><p><strong>Objective: </strong>This study explores the effects of phenolic compounds of <i>Origanum majorana</i> against <i>Escherichia coli</i> and methicillin-resistant <i>Staphylococcus aureus</i> (MRSA) strains by inhibiting biofilm formation and efflux pumps.</p><p><strong>Materials and methods: </strong>The methanolic extract of <i>O. majorana</i> was fractionated guided by an antibiofilm assay, and the active fractions were analyzed by multistep chromatographic separation to yield five pure compounds. Their structures were then determined using 1D and 2D nuclear magnetic resonance spectroscopy. The minimum inhibitory concentrations of the extracts, fractions, and isolated compounds were determined <i>via</i> the microdilution method in a 96-well plate. Antibiofilm activity was assessed using the crystal violet method, and the effect on efflux pumps was tested by a real-time ethidium bromide accumulation assay.</p><p><strong>Results: </strong>Arbutin (<b>1</b>), apigenin 7-<i>O</i>-glucoside (<b>2</b>), 6'-caffeoylarbutin (<b>3</b>), rosmarinic acid (<b>4</b>), and 2-deoxy-d-1,4-ribonolactone (<b>5</b>) were isolated from the aqueous methanolic extract. Compounds <b>1</b>, <b>2</b>, and <b>4</b> reduced <i>E. coli</i> biofilm formation by 24.82%-42.98% at 100 µM, whereas only arbutin (<b>1</b>) moderately suppressed biofilm formation of MRSA (23.15 ± 1.56% at 50 µM). Arbutin also demonstrated efflux pump inhibitory activity against MRSA (relative fluorescence index of 0.49 at 100 µM).</p><p><strong>Discussion and conclusions: </strong>The newly discovered natural antibiofilm agents show promise as candidates for treating biofilm-associated infections and combating antibiotic-resistant bacteria.</p>","PeriodicalId":19942,"journal":{"name":"Pharmaceutical Biology","volume":"63 1","pages":"402-410"},"PeriodicalIF":4.8000,"publicationDate":"2025-12-01","publicationTypes":"Journal Article","fieldsOfStudy":null,"isOpenAccess":false,"openAccessPdf":"https://www.ncbi.nlm.nih.gov/pmc/articles/PMC12135086/pdf/","citationCount":"0","resultStr":"{\"title\":\"Phenolic compounds from <i>Origanum majorana</i> with biofilm-inhibitory activity against methicillin-resistant <i>Staphylococcus aureus</i> and <i>Escherichia coli</i> strains.\",\"authors\":\"Annamária Kincses, Tasneem Sultan Abu Ghazal, Katalin Veres, Gabriella Spengler, Judit Hohmann\",\"doi\":\"10.1080/13880209.2025.2511805\",\"DOIUrl\":null,\"url\":null,\"abstract\":\"<p><strong>Context: </strong>Antibiotic resistance in bacteria is a growing global problem, with biofilm formation and efflux pumps playing crucial roles in this issue.</p><p><strong>Objective: </strong>This study explores the effects of phenolic compounds of <i>Origanum majorana</i> against <i>Escherichia coli</i> and methicillin-resistant <i>Staphylococcus aureus</i> (MRSA) strains by inhibiting biofilm formation and efflux pumps.</p><p><strong>Materials and methods: </strong>The methanolic extract of <i>O. majorana</i> was fractionated guided by an antibiofilm assay, and the active fractions were analyzed by multistep chromatographic separation to yield five pure compounds. Their structures were then determined using 1D and 2D nuclear magnetic resonance spectroscopy. The minimum inhibitory concentrations of the extracts, fractions, and isolated compounds were determined <i>via</i> the microdilution method in a 96-well plate. Antibiofilm activity was assessed using the crystal violet method, and the effect on efflux pumps was tested by a real-time ethidium bromide accumulation assay.</p><p><strong>Results: </strong>Arbutin (<b>1</b>), apigenin 7-<i>O</i>-glucoside (<b>2</b>), 6'-caffeoylarbutin (<b>3</b>), rosmarinic acid (<b>4</b>), and 2-deoxy-d-1,4-ribonolactone (<b>5</b>) were isolated from the aqueous methanolic extract. Compounds <b>1</b>, <b>2</b>, and <b>4</b> reduced <i>E. coli</i> biofilm formation by 24.82%-42.98% at 100 µM, whereas only arbutin (<b>1</b>) moderately suppressed biofilm formation of MRSA (23.15 ± 1.56% at 50 µM). Arbutin also demonstrated efflux pump inhibitory activity against MRSA (relative fluorescence index of 0.49 at 100 µM).</p><p><strong>Discussion and conclusions: </strong>The newly discovered natural antibiofilm agents show promise as candidates for treating biofilm-associated infections and combating antibiotic-resistant bacteria.</p>\",\"PeriodicalId\":19942,\"journal\":{\"name\":\"Pharmaceutical Biology\",\"volume\":\"63 1\",\"pages\":\"402-410\"},\"PeriodicalIF\":4.8000,\"publicationDate\":\"2025-12-01\",\"publicationTypes\":\"Journal Article\",\"fieldsOfStudy\":null,\"isOpenAccess\":false,\"openAccessPdf\":\"https://www.ncbi.nlm.nih.gov/pmc/articles/PMC12135086/pdf/\",\"citationCount\":\"0\",\"resultStr\":null,\"platform\":\"Semanticscholar\",\"paperid\":null,\"PeriodicalName\":\"Pharmaceutical Biology\",\"FirstCategoryId\":\"3\",\"ListUrlMain\":\"https://doi.org/10.1080/13880209.2025.2511805\",\"RegionNum\":3,\"RegionCategory\":\"医学\",\"ArticlePicture\":[],\"TitleCN\":null,\"AbstractTextCN\":null,\"PMCID\":null,\"EPubDate\":\"2025/6/2 0:00:00\",\"PubModel\":\"Epub\",\"JCR\":\"Q1\",\"JCRName\":\"MEDICAL LABORATORY TECHNOLOGY\",\"Score\":null,\"Total\":0}","platform":"Semanticscholar","paperid":null,"PeriodicalName":"Pharmaceutical Biology","FirstCategoryId":"3","ListUrlMain":"https://doi.org/10.1080/13880209.2025.2511805","RegionNum":3,"RegionCategory":"医学","ArticlePicture":[],"TitleCN":null,"AbstractTextCN":null,"PMCID":null,"EPubDate":"2025/6/2 0:00:00","PubModel":"Epub","JCR":"Q1","JCRName":"MEDICAL LABORATORY TECHNOLOGY","Score":null,"Total":0}
引用次数: 0

摘要

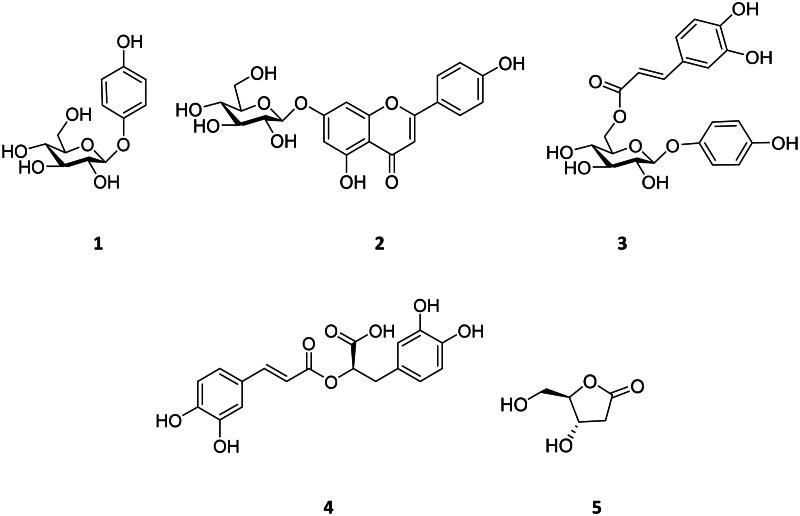
背景:细菌的抗生素耐药性是一个日益严重的全球性问题,生物膜的形成和外排泵在这一问题中起着至关重要的作用。目的:探讨牛头草酚类化合物通过抑制生物膜形成和外排泵对大肠杆菌和耐甲氧西林金黄色葡萄球菌(MRSA)的抑制作用。材料与方法:采用抗菌膜法对大黄花醇提物进行分离,并对活性组分进行多级色谱分离,得到5个纯化化合物。然后用1D和2D核磁共振波谱法确定它们的结构。通过96孔板微量稀释法测定提取物、馏分和分离化合物的最低抑菌浓度。用结晶紫法测定抗菌膜活性,用实时溴化乙锭积累法测定对外排泵的影响。结果:从甲醇提取液中分离得到熊果苷(1)、芹菜素7- o -葡萄糖苷(2)、6′-咖啡熊果苷(3)、迷迭香酸(4)和2-脱氧-d-1,4-核糖内酯(5)。化合物1、2和4在100µM下可减少大肠杆菌生物膜的形成24.82% ~ 42.98%,而只有熊果苷(1)在50µM下可适度抑制MRSA生物膜的形成(23.15±1.56%)。熊果苷还显示出对MRSA的外排泵抑制活性(100µM时相对荧光指数为0.49)。讨论与结论:新发现的天然抗生物膜药物有望成为治疗生物膜相关感染和对抗耐药细菌的候选药物。
本文章由计算机程序翻译,如有差异,请以英文原文为准。

Phenolic compounds from <i>Origanum majorana</i> with biofilm-inhibitory activity against methicillin-resistant <i>Staphylococcus aureus</i> and <i>Escherichia coli</i> strains.

Phenolic compounds from <i>Origanum majorana</i> with biofilm-inhibitory activity against methicillin-resistant <i>Staphylococcus aureus</i> and <i>Escherichia coli</i> strains.

Phenolic compounds from Origanum majorana with biofilm-inhibitory activity against methicillin-resistant Staphylococcus aureus and Escherichia coli strains.

Context: Antibiotic resistance in bacteria is a growing global problem, with biofilm formation and efflux pumps playing crucial roles in this issue.

Objective: This study explores the effects of phenolic compounds of Origanum majorana against Escherichia coli and methicillin-resistant Staphylococcus aureus (MRSA) strains by inhibiting biofilm formation and efflux pumps.

Materials and methods: The methanolic extract of O. majorana was fractionated guided by an antibiofilm assay, and the active fractions were analyzed by multistep chromatographic separation to yield five pure compounds. Their structures were then determined using 1D and 2D nuclear magnetic resonance spectroscopy. The minimum inhibitory concentrations of the extracts, fractions, and isolated compounds were determined via the microdilution method in a 96-well plate. Antibiofilm activity was assessed using the crystal violet method, and the effect on efflux pumps was tested by a real-time ethidium bromide accumulation assay.

Results: Arbutin (1), apigenin 7-O-glucoside (2), 6'-caffeoylarbutin (3), rosmarinic acid (4), and 2-deoxy-d-1,4-ribonolactone (5) were isolated from the aqueous methanolic extract. Compounds 1, 2, and 4 reduced E. coli biofilm formation by 24.82%-42.98% at 100 µM, whereas only arbutin (1) moderately suppressed biofilm formation of MRSA (23.15 ± 1.56% at 50 µM). Arbutin also demonstrated efflux pump inhibitory activity against MRSA (relative fluorescence index of 0.49 at 100 µM).

Discussion and conclusions: The newly discovered natural antibiofilm agents show promise as candidates for treating biofilm-associated infections and combating antibiotic-resistant bacteria.

求助全文
通过发布文献求助,成功后即可免费获取论文全文。 去求助
来源期刊
Pharmaceutical Biology
Pharmaceutical Biology 医学-药学
CiteScore
6.70
自引率
2.60%
发文量
191
审稿时长
1 months
期刊介绍: Pharmaceutical Biology will publish manuscripts describing the discovery, methods for discovery, description, analysis characterization, and production/isolation (including sources and surveys) of biologically-active chemicals or other substances, drugs, pharmaceutical products, or preparations utilized in systems of traditional medicine. Topics may generally encompass any facet of natural product research related to pharmaceutical biology. Papers dealing with agents or topics related to natural product drugs are also appropriate (e.g., semi-synthetic derivatives). Manuscripts will be published as reviews, perspectives, regular research articles, and short communications. The primary criteria for acceptance and publication are scientific rigor and potential to advance the field.
×
引用
GB/T 7714-2015
复制
MLA
复制
APA
复制
导出至
BibTeX EndNote RefMan NoteFirst NoteExpress
×
提示
您的信息不完整,为了账户安全,请先补充。
现在去补充
×
提示
您因"违规操作"
具体请查看互助需知
我知道了
×
提示
确定
请完成安全验证×
copy
已复制链接
快去分享给好友吧!
我知道了
右上角分享
点击右上角分享
0
联系我们:info@booksci.cn Book学术提供免费学术资源搜索服务,方便国内外学者检索中英文文献。致力于提供最便捷和优质的服务体验。 Copyright © 2023 布克学术 All rights reserved.
京ICP备2023020795号-1
ghs 京公网安备 11010802042870号
Book学术文献互助
Book学术文献互助群
群 号:604180095
Book学术官方微信