成人饮食中活微生物摄入与牙周炎之间的关系:来自NHANES的证据。

IF 1.4 4区 医学 Q3 DENTISTRY, ORAL SURGERY & MEDICINE
Shanshan Gong, Bin Lv, Yihong Fan, Yuchang Fei
{"title":"成人饮食中活微生物摄入与牙周炎之间的关系:来自NHANES的证据。","authors":"Shanshan Gong, Bin Lv, Yihong Fan, Yuchang Fei","doi":"10.3290/j.ohpd.c_2026","DOIUrl":null,"url":null,"abstract":"<p><strong>Purpose: </strong>To investigate the relationship between the consumption of live microbes in the diet and adult periodontitis.</p><p><strong>Materials and methods: </strong>Utilising data from the National Health and Nutrition Examination Survey (NHANES) spanning 1999-2004 and 2009-2014, 16,600 adults who underwent 24-h face-to-face dietary recall and oral health examinations were identified. Dietary live microbe intake was categorised into low, medium, and high levels. To examine the relationship between different levels of dietary live microbe intake and periodontitis, we employed logistic regression, subgroup and restricted cubic spline models.</p><p><strong>Results: </strong>Upon comprehensive covariate adjustment, low dietary live microbe intake (104 CFU/g) demonstrated a positive association with periodontitis prevalence, while medium intake (104 to 107 CFU/g) showed a negative association. Conversely, no significant associations were observed between high dietary live microbe intake (>107 CFU/g) and periodontitis. Restricted cubic spline analysis confirmed a linear association between low dietary live microbe intake. Moreover, a U-shaped dose-response relationship was identified between medium dietary live microbe intake and periodontitis prevalence.</p><p><strong>Conclusions: </strong>Moderate intake of medium live microbe food may be more conducive to avoiding the occurrence of periodontitis.</p>","PeriodicalId":19696,"journal":{"name":"Oral health & preventive dentistry","volume":"23 ","pages":"253-264"},"PeriodicalIF":1.4000,"publicationDate":"2025-06-03","publicationTypes":"Journal Article","fieldsOfStudy":null,"isOpenAccess":false,"openAccessPdf":"https://www.ncbi.nlm.nih.gov/pmc/articles/PMC12131903/pdf/","citationCount":"0","resultStr":"{\"title\":\"Association between Dietary Live Microbe Intake and Periodontitis in Adults: Evidence from NHANES.\",\"authors\":\"Shanshan Gong, Bin Lv, Yihong Fan, Yuchang Fei\",\"doi\":\"10.3290/j.ohpd.c_2026\",\"DOIUrl\":null,\"url\":null,\"abstract\":\"<p><strong>Purpose: </strong>To investigate the relationship between the consumption of live microbes in the diet and adult periodontitis.</p><p><strong>Materials and methods: </strong>Utilising data from the National Health and Nutrition Examination Survey (NHANES) spanning 1999-2004 and 2009-2014, 16,600 adults who underwent 24-h face-to-face dietary recall and oral health examinations were identified. Dietary live microbe intake was categorised into low, medium, and high levels. To examine the relationship between different levels of dietary live microbe intake and periodontitis, we employed logistic regression, subgroup and restricted cubic spline models.</p><p><strong>Results: </strong>Upon comprehensive covariate adjustment, low dietary live microbe intake (104 CFU/g) demonstrated a positive association with periodontitis prevalence, while medium intake (104 to 107 CFU/g) showed a negative association. Conversely, no significant associations were observed between high dietary live microbe intake (>107 CFU/g) and periodontitis. Restricted cubic spline analysis confirmed a linear association between low dietary live microbe intake. Moreover, a U-shaped dose-response relationship was identified between medium dietary live microbe intake and periodontitis prevalence.</p><p><strong>Conclusions: </strong>Moderate intake of medium live microbe food may be more conducive to avoiding the occurrence of periodontitis.</p>\",\"PeriodicalId\":19696,\"journal\":{\"name\":\"Oral health & preventive dentistry\",\"volume\":\"23 \",\"pages\":\"253-264\"},\"PeriodicalIF\":1.4000,\"publicationDate\":\"2025-06-03\",\"publicationTypes\":\"Journal Article\",\"fieldsOfStudy\":null,\"isOpenAccess\":false,\"openAccessPdf\":\"https://www.ncbi.nlm.nih.gov/pmc/articles/PMC12131903/pdf/\",\"citationCount\":\"0\",\"resultStr\":null,\"platform\":\"Semanticscholar\",\"paperid\":null,\"PeriodicalName\":\"Oral health & preventive dentistry\",\"FirstCategoryId\":\"3\",\"ListUrlMain\":\"https://doi.org/10.3290/j.ohpd.c_2026\",\"RegionNum\":4,\"RegionCategory\":\"医学\",\"ArticlePicture\":[],\"TitleCN\":null,\"AbstractTextCN\":null,\"PMCID\":null,\"EPubDate\":\"\",\"PubModel\":\"\",\"JCR\":\"Q3\",\"JCRName\":\"DENTISTRY, ORAL SURGERY & MEDICINE\",\"Score\":null,\"Total\":0}","platform":"Semanticscholar","paperid":null,"PeriodicalName":"Oral health & preventive dentistry","FirstCategoryId":"3","ListUrlMain":"https://doi.org/10.3290/j.ohpd.c_2026","RegionNum":4,"RegionCategory":"医学","ArticlePicture":[],"TitleCN":null,"AbstractTextCN":null,"PMCID":null,"EPubDate":"","PubModel":"","JCR":"Q3","JCRName":"DENTISTRY, ORAL SURGERY & MEDICINE","Score":null,"Total":0}
引用次数: 0

摘要

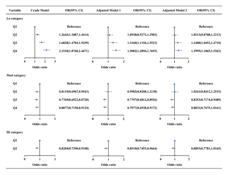
目的:探讨饮食中活菌摄入与成人牙周炎的关系。材料与方法:利用1999-2004年和2009-2014年国家健康与营养调查(NHANES)的数据,对16600名成年人进行了24小时面对面的饮食回忆和口腔健康检查。饮食中活微生物的摄入量被分为低、中、高水平。为了检验不同水平的饮食活微生物摄入量与牙周炎之间的关系,我们采用了logistic回归、亚组和限制三次样条模型。结果:经综合协变量调整,低饮食活微生物摄入量(104 CFU/g)与牙周炎患病率呈正相关,而中等摄入量(104 ~ 107 CFU/g)与牙周炎患病率呈负相关。相反,高饮食活微生物摄入量(100 ~ 107 CFU/g)与牙周炎之间没有显著关联。限制三次样条分析证实了低饮食活微生物摄入量之间的线性关联。此外,在中等膳食活微生物摄入量与牙周炎患病率之间确定了u型剂量-反应关系。结论:适量摄入中等活菌食品可能更有利于避免牙周炎的发生。
本文章由计算机程序翻译,如有差异,请以英文原文为准。

Association between Dietary Live Microbe Intake and Periodontitis in Adults: Evidence from NHANES.

Association between Dietary Live Microbe Intake and Periodontitis in Adults: Evidence from NHANES.

Association between Dietary Live Microbe Intake and Periodontitis in Adults: Evidence from NHANES.

Association between Dietary Live Microbe Intake and Periodontitis in Adults: Evidence from NHANES.

Purpose: To investigate the relationship between the consumption of live microbes in the diet and adult periodontitis.

Materials and methods: Utilising data from the National Health and Nutrition Examination Survey (NHANES) spanning 1999-2004 and 2009-2014, 16,600 adults who underwent 24-h face-to-face dietary recall and oral health examinations were identified. Dietary live microbe intake was categorised into low, medium, and high levels. To examine the relationship between different levels of dietary live microbe intake and periodontitis, we employed logistic regression, subgroup and restricted cubic spline models.

Results: Upon comprehensive covariate adjustment, low dietary live microbe intake (104 CFU/g) demonstrated a positive association with periodontitis prevalence, while medium intake (104 to 107 CFU/g) showed a negative association. Conversely, no significant associations were observed between high dietary live microbe intake (>107 CFU/g) and periodontitis. Restricted cubic spline analysis confirmed a linear association between low dietary live microbe intake. Moreover, a U-shaped dose-response relationship was identified between medium dietary live microbe intake and periodontitis prevalence.

Conclusions: Moderate intake of medium live microbe food may be more conducive to avoiding the occurrence of periodontitis.

求助全文
通过发布文献求助,成功后即可免费获取论文全文。 去求助
来源期刊
Oral health & preventive dentistry
Oral health & preventive dentistry DENTISTRY, ORAL SURGERY & MEDICINE-
CiteScore
3.00
自引率
0.00%
发文量
51
审稿时长
>12 weeks
期刊介绍: Clinicians, general practitioners, teachers, researchers, and public health administrators will find this journal an indispensable source of essential, timely information about scientific progress in the fields of oral health and the prevention of caries, periodontal diseases, oral mucosal diseases, and dental trauma. Central topics, including oral hygiene, oral epidemiology, oral health promotion, and public health issues, are covered in peer-reviewed articles such as clinical and basic science research reports; reviews; invited focus articles, commentaries, and guest editorials; and symposium, workshop, and conference proceedings.
×
引用
GB/T 7714-2015
复制
MLA
复制
APA
复制
导出至
BibTeX EndNote RefMan NoteFirst NoteExpress
×
提示
您的信息不完整,为了账户安全,请先补充。
现在去补充
×
提示
您因"违规操作"
具体请查看互助需知
我知道了
×
提示
确定
请完成安全验证×
copy
已复制链接
快去分享给好友吧!
我知道了
右上角分享
点击右上角分享
0
联系我们:info@booksci.cn Book学术提供免费学术资源搜索服务,方便国内外学者检索中英文文献。致力于提供最便捷和优质的服务体验。 Copyright © 2023 布克学术 All rights reserved.
京ICP备2023020795号-1
ghs 京公网安备 11010802042870号
Book学术文献互助
Book学术文献互助群
群 号:604180095
Book学术官方微信