野生榛睡鼠(Muscardinus avellanarius)短睡眠使用变异的环境和种群相关性。

IF 2.3 2区 环境科学与生态学 Q2 ECOLOGY
Charlotte Armitage, Jonathan J Bennie, Eleanor R Scopes, Kristen Liptrot, Ian White, Nida Al-Fulaij, Robbie A McDonald
{"title":"野生榛睡鼠(Muscardinus avellanarius)短睡眠使用变异的环境和种群相关性。","authors":"Charlotte Armitage, Jonathan J Bennie, Eleanor R Scopes, Kristen Liptrot, Ian White, Nida Al-Fulaij, Robbie A McDonald","doi":"10.1007/s00442-025-05730-3","DOIUrl":null,"url":null,"abstract":"<p><p>Torpor is a life history strategy for conserving energy during unfavourable conditions. Hazel dormice Muscardinus avellanarius are known for prolonged winter hibernation but also employ short bouts of torpor of less than 24 hrs, independently of hibernation. In Great Britain, at the edge of the species' range, there is marked spatial and temporal variation in short torpor among individuals and among populations, the causes and consequences of which are not well understood. We quantified variation in torpor use in the dormouse active season and identified individual and population-level correlates of torpor frequency. We analysed the data from the National Dormouse Monitoring Programme, comprising 53,953 observations of adult dormice in nest boxes on 381 sites over 25 years. Short torpor was more frequent at sites towards western Britain, at greater elevation, with more ancient woodland, and greater connectivity of broadleaf woodland. Dormice were more frequently torpid on colder and wetter days, and within colder and wetter seasons. Adult dormice observed in boxes containing young were rarely torpid, while adults alone were more frequently torpid. Lighter individuals were more frequently torpid earlier in the season (April-August) and heavier individuals later (September-October). Sites where short torpor was more frequent had lower counts of dormice and lower counts of breeding events. As a response to short and long-term variation in environmental conditions, short torpor is likely a mediator of environmental drivers of dormouse population dynamics. This is of particular relevance under climate change and at range edges, which already experience adverse environmental conditions.</p>","PeriodicalId":19473,"journal":{"name":"Oecologia","volume":"207 6","pages":"97"},"PeriodicalIF":2.3000,"publicationDate":"2025-06-03","publicationTypes":"Journal Article","fieldsOfStudy":null,"isOpenAccess":false,"openAccessPdf":"https://www.ncbi.nlm.nih.gov/pmc/articles/PMC12134035/pdf/","citationCount":"0","resultStr":"{\"title\":\"Environmental and population correlates of variation in short torpor use by wild hazel dormice (Muscardinus avellanarius).\",\"authors\":\"Charlotte Armitage, Jonathan J Bennie, Eleanor R Scopes, Kristen Liptrot, Ian White, Nida Al-Fulaij, Robbie A McDonald\",\"doi\":\"10.1007/s00442-025-05730-3\",\"DOIUrl\":null,\"url\":null,\"abstract\":\"<p><p>Torpor is a life history strategy for conserving energy during unfavourable conditions. Hazel dormice Muscardinus avellanarius are known for prolonged winter hibernation but also employ short bouts of torpor of less than 24 hrs, independently of hibernation. In Great Britain, at the edge of the species' range, there is marked spatial and temporal variation in short torpor among individuals and among populations, the causes and consequences of which are not well understood. We quantified variation in torpor use in the dormouse active season and identified individual and population-level correlates of torpor frequency. We analysed the data from the National Dormouse Monitoring Programme, comprising 53,953 observations of adult dormice in nest boxes on 381 sites over 25 years. Short torpor was more frequent at sites towards western Britain, at greater elevation, with more ancient woodland, and greater connectivity of broadleaf woodland. Dormice were more frequently torpid on colder and wetter days, and within colder and wetter seasons. Adult dormice observed in boxes containing young were rarely torpid, while adults alone were more frequently torpid. Lighter individuals were more frequently torpid earlier in the season (April-August) and heavier individuals later (September-October). Sites where short torpor was more frequent had lower counts of dormice and lower counts of breeding events. As a response to short and long-term variation in environmental conditions, short torpor is likely a mediator of environmental drivers of dormouse population dynamics. This is of particular relevance under climate change and at range edges, which already experience adverse environmental conditions.</p>\",\"PeriodicalId\":19473,\"journal\":{\"name\":\"Oecologia\",\"volume\":\"207 6\",\"pages\":\"97\"},\"PeriodicalIF\":2.3000,\"publicationDate\":\"2025-06-03\",\"publicationTypes\":\"Journal Article\",\"fieldsOfStudy\":null,\"isOpenAccess\":false,\"openAccessPdf\":\"https://www.ncbi.nlm.nih.gov/pmc/articles/PMC12134035/pdf/\",\"citationCount\":\"0\",\"resultStr\":null,\"platform\":\"Semanticscholar\",\"paperid\":null,\"PeriodicalName\":\"Oecologia\",\"FirstCategoryId\":\"93\",\"ListUrlMain\":\"https://doi.org/10.1007/s00442-025-05730-3\",\"RegionNum\":2,\"RegionCategory\":\"环境科学与生态学\",\"ArticlePicture\":[],\"TitleCN\":null,\"AbstractTextCN\":null,\"PMCID\":null,\"EPubDate\":\"\",\"PubModel\":\"\",\"JCR\":\"Q2\",\"JCRName\":\"ECOLOGY\",\"Score\":null,\"Total\":0}","platform":"Semanticscholar","paperid":null,"PeriodicalName":"Oecologia","FirstCategoryId":"93","ListUrlMain":"https://doi.org/10.1007/s00442-025-05730-3","RegionNum":2,"RegionCategory":"环境科学与生态学","ArticlePicture":[],"TitleCN":null,"AbstractTextCN":null,"PMCID":null,"EPubDate":"","PubModel":"","JCR":"Q2","JCRName":"ECOLOGY","Score":null,"Total":0}
引用次数: 0

摘要

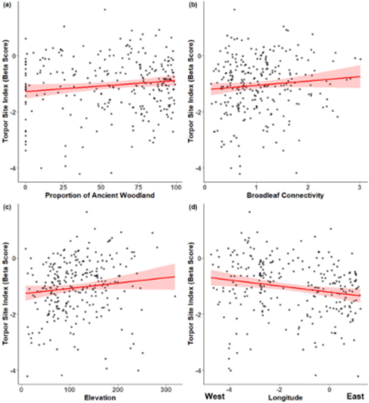
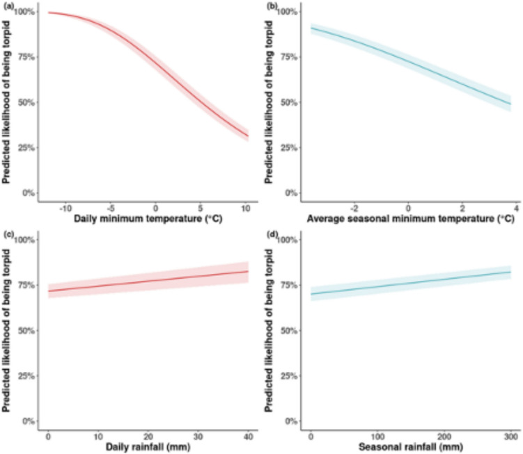
冬眠是在不利条件下保存能量的生活史策略。榛睡鼠(Muscardinus avellanarius)以长时间冬眠而闻名,但也会独立于冬眠时间,在24小时内短暂冬眠。在英国,在物种范围的边缘,个体之间和种群之间的短睡眠存在明显的时空差异,其原因和后果尚不清楚。我们量化了睡鼠活跃季节睡眠使用的变化,并确定了个体和种群水平上睡眠频率的相关性。我们分析了来自国家睡鼠监测计划的数据,包括25年来381个地点的53,953个成年睡鼠的巢箱观察数据。在海拔较高、古林地较多、阔叶林连通性较强的英国西部地区,短时间的冬眠更为频繁。睡鼠在寒冷和潮湿的日子里,以及在寒冷和潮湿的季节里,往往更迟钝。在有幼鼠的盒子里观察到的成年睡鼠很少迟钝,而单独的成年睡鼠更经常迟钝。较轻的个体在季节早期(4 - 8月)更容易麻木,较重的个体在季节后期(9 - 10月)更容易麻木。短睡频繁的地方,睡鼠数量和繁殖事件数量都较低。作为对环境条件的短期和长期变化的反应,短睡鼠可能是环境驱动因素的中介。在气候变化和已经经历不利环境条件的山脉边缘,这一点尤其重要。
本文章由计算机程序翻译,如有差异,请以英文原文为准。

Environmental and population correlates of variation in short torpor use by wild hazel dormice (Muscardinus avellanarius).

Environmental and population correlates of variation in short torpor use by wild hazel dormice (Muscardinus avellanarius).

Environmental and population correlates of variation in short torpor use by wild hazel dormice (Muscardinus avellanarius).

Environmental and population correlates of variation in short torpor use by wild hazel dormice (Muscardinus avellanarius).

Torpor is a life history strategy for conserving energy during unfavourable conditions. Hazel dormice Muscardinus avellanarius are known for prolonged winter hibernation but also employ short bouts of torpor of less than 24 hrs, independently of hibernation. In Great Britain, at the edge of the species' range, there is marked spatial and temporal variation in short torpor among individuals and among populations, the causes and consequences of which are not well understood. We quantified variation in torpor use in the dormouse active season and identified individual and population-level correlates of torpor frequency. We analysed the data from the National Dormouse Monitoring Programme, comprising 53,953 observations of adult dormice in nest boxes on 381 sites over 25 years. Short torpor was more frequent at sites towards western Britain, at greater elevation, with more ancient woodland, and greater connectivity of broadleaf woodland. Dormice were more frequently torpid on colder and wetter days, and within colder and wetter seasons. Adult dormice observed in boxes containing young were rarely torpid, while adults alone were more frequently torpid. Lighter individuals were more frequently torpid earlier in the season (April-August) and heavier individuals later (September-October). Sites where short torpor was more frequent had lower counts of dormice and lower counts of breeding events. As a response to short and long-term variation in environmental conditions, short torpor is likely a mediator of environmental drivers of dormouse population dynamics. This is of particular relevance under climate change and at range edges, which already experience adverse environmental conditions.

求助全文
通过发布文献求助,成功后即可免费获取论文全文。 去求助
来源期刊
Oecologia
Oecologia 环境科学-生态学
CiteScore
5.10
自引率
0.00%
发文量
192
审稿时长
5.3 months
期刊介绍: Oecologia publishes innovative ecological research of international interest. We seek reviews, advances in methodology, and original contributions, emphasizing the following areas: Population ecology, Plant-microbe-animal interactions, Ecosystem ecology, Community ecology, Global change ecology, Conservation ecology, Behavioral ecology and Physiological Ecology. In general, studies that are purely descriptive, mathematical, documentary, and/or natural history will not be considered.
×
引用
GB/T 7714-2015
复制
MLA
复制
APA
复制
导出至
BibTeX EndNote RefMan NoteFirst NoteExpress
×
提示
您的信息不完整,为了账户安全,请先补充。
现在去补充
×
提示
您因"违规操作"
具体请查看互助需知
我知道了
×
提示
确定
请完成安全验证×
copy
已复制链接
快去分享给好友吧!
我知道了
右上角分享
点击右上角分享
0
联系我们:info@booksci.cn Book学术提供免费学术资源搜索服务,方便国内外学者检索中英文文献。致力于提供最便捷和优质的服务体验。 Copyright © 2023 布克学术 All rights reserved.
京ICP备2023020795号-1
ghs 京公网安备 11010802042870号
Book学术文献互助
Book学术文献互助群
群 号:604180095
Book学术官方微信