英国布里斯托尔急诊科社区获得性下呼吸道疾病报告:一项2022-2023年的前瞻性队列研究

IF 3.4 3区 医学 Q1 RESPIRATORY SYSTEM
Catherine Hyams, Robert Challen, Maria Lahuerta, Elizabeth Begier, Serena McGuinness, Madeleine Clout, Jo Southern, James Campling, Jennifer Oliver, Christian Theilacker, Gillian Ellsbury, Nick Maskell, Bradford D Gessner, Leon Danon, Adam Finn
{"title":"英国布里斯托尔急诊科社区获得性下呼吸道疾病报告:一项2022-2023年的前瞻性队列研究","authors":"Catherine Hyams, Robert Challen, Maria Lahuerta, Elizabeth Begier, Serena McGuinness, Madeleine Clout, Jo Southern, James Campling, Jennifer Oliver, Christian Theilacker, Gillian Ellsbury, Nick Maskell, Bradford D Gessner, Leon Danon, Adam Finn","doi":"10.1136/bmjresp-2024-002572","DOIUrl":null,"url":null,"abstract":"<p><strong>Background: </strong>Recent reports highlight the importance of acute lower respiratory tract disease (aLRTD) for patients, but data describing incidence and burden in emergency departments (ED) are lacking.</p><p><strong>Methods: </strong>A cohort study ascertaining cases prospectively at two EDs in Bristol, UK, enrolling adults (≥18 years) presenting with aLRTD from 1 August 2022 to 31 July 2023. Multivariate logistic regression modelled risk of hospitalisation. Incidence was estimated per 1000 person-years, using adult population estimates for the AvonCAP study catchment area.</p><p><strong>Results: </strong>151 865 ED visits, with 9452 (6.2%) aLRTD cases: 2376 (25%) were discharged and 7076 (75%) subsequently hospitalised, including:3663 (38.8%) pneumonia, 4167 (44.1%) non-pneumonic lower respiratory tract infection and 1622 (17.2%) cases without evidence of infection. Univariate analysis demonstrated that aLRTD patients discharged were younger than those hospitalised (median age 43.4 years, IQR 29.4-62.3 vs 74.0 years, IQR 59.8-83.5), and less likely to have pneumonia (17.0% vs 46.0%, respectively). Smoking, heart failure at presentation and underlying chronic cardiac disease conferred risk of admission, above an age effect in the adjusted logistic regression model.Total ED aLRTD incidence was 12.8/1000 person-years (9.6 admitted, 3.2 seen and discharged), with incidences of 7.0 and 36.8/1000 person-years in 18-64 years and ≥65 years, respectively, and incidence increased with patient age: 39.5 and 82.5/1000 person-years in 75-84 years and ≥85 years age groups, respectively.</p><p><strong>Interpretation: </strong>We report a higher ED aLRTD incidence than in recent British Thoracic Society and Getting It Right First Time reports. This is concerning, particularly in older adults, and may be reduced by respiratory disease optimisation and public health initiatives including smoking cessation and vaccination programmes.</p>","PeriodicalId":9048,"journal":{"name":"BMJ Open Respiratory Research","volume":"12 1","pages":""},"PeriodicalIF":3.4000,"publicationDate":"2025-05-16","publicationTypes":"Journal Article","fieldsOfStudy":null,"isOpenAccess":false,"openAccessPdf":"https://www.ncbi.nlm.nih.gov/pmc/articles/PMC12086923/pdf/","citationCount":"0","resultStr":"{\"title\":\"Emergency department presentations of community-acquired lower respiratory tract disease in Bristol, UK: a prospective cohort study 2022-2023.\",\"authors\":\"Catherine Hyams, Robert Challen, Maria Lahuerta, Elizabeth Begier, Serena McGuinness, Madeleine Clout, Jo Southern, James Campling, Jennifer Oliver, Christian Theilacker, Gillian Ellsbury, Nick Maskell, Bradford D Gessner, Leon Danon, Adam Finn\",\"doi\":\"10.1136/bmjresp-2024-002572\",\"DOIUrl\":null,\"url\":null,\"abstract\":\"<p><strong>Background: </strong>Recent reports highlight the importance of acute lower respiratory tract disease (aLRTD) for patients, but data describing incidence and burden in emergency departments (ED) are lacking.</p><p><strong>Methods: </strong>A cohort study ascertaining cases prospectively at two EDs in Bristol, UK, enrolling adults (≥18 years) presenting with aLRTD from 1 August 2022 to 31 July 2023. Multivariate logistic regression modelled risk of hospitalisation. Incidence was estimated per 1000 person-years, using adult population estimates for the AvonCAP study catchment area.</p><p><strong>Results: </strong>151 865 ED visits, with 9452 (6.2%) aLRTD cases: 2376 (25%) were discharged and 7076 (75%) subsequently hospitalised, including:3663 (38.8%) pneumonia, 4167 (44.1%) non-pneumonic lower respiratory tract infection and 1622 (17.2%) cases without evidence of infection. Univariate analysis demonstrated that aLRTD patients discharged were younger than those hospitalised (median age 43.4 years, IQR 29.4-62.3 vs 74.0 years, IQR 59.8-83.5), and less likely to have pneumonia (17.0% vs 46.0%, respectively). Smoking, heart failure at presentation and underlying chronic cardiac disease conferred risk of admission, above an age effect in the adjusted logistic regression model.Total ED aLRTD incidence was 12.8/1000 person-years (9.6 admitted, 3.2 seen and discharged), with incidences of 7.0 and 36.8/1000 person-years in 18-64 years and ≥65 years, respectively, and incidence increased with patient age: 39.5 and 82.5/1000 person-years in 75-84 years and ≥85 years age groups, respectively.</p><p><strong>Interpretation: </strong>We report a higher ED aLRTD incidence than in recent British Thoracic Society and Getting It Right First Time reports. This is concerning, particularly in older adults, and may be reduced by respiratory disease optimisation and public health initiatives including smoking cessation and vaccination programmes.</p>\",\"PeriodicalId\":9048,\"journal\":{\"name\":\"BMJ Open Respiratory Research\",\"volume\":\"12 1\",\"pages\":\"\"},\"PeriodicalIF\":3.4000,\"publicationDate\":\"2025-05-16\",\"publicationTypes\":\"Journal Article\",\"fieldsOfStudy\":null,\"isOpenAccess\":false,\"openAccessPdf\":\"https://www.ncbi.nlm.nih.gov/pmc/articles/PMC12086923/pdf/\",\"citationCount\":\"0\",\"resultStr\":null,\"platform\":\"Semanticscholar\",\"paperid\":null,\"PeriodicalName\":\"BMJ Open Respiratory Research\",\"FirstCategoryId\":\"3\",\"ListUrlMain\":\"https://doi.org/10.1136/bmjresp-2024-002572\",\"RegionNum\":3,\"RegionCategory\":\"医学\",\"ArticlePicture\":[],\"TitleCN\":null,\"AbstractTextCN\":null,\"PMCID\":null,\"EPubDate\":\"\",\"PubModel\":\"\",\"JCR\":\"Q1\",\"JCRName\":\"RESPIRATORY SYSTEM\",\"Score\":null,\"Total\":0}","platform":"Semanticscholar","paperid":null,"PeriodicalName":"BMJ Open Respiratory Research","FirstCategoryId":"3","ListUrlMain":"https://doi.org/10.1136/bmjresp-2024-002572","RegionNum":3,"RegionCategory":"医学","ArticlePicture":[],"TitleCN":null,"AbstractTextCN":null,"PMCID":null,"EPubDate":"","PubModel":"","JCR":"Q1","JCRName":"RESPIRATORY SYSTEM","Score":null,"Total":0}
引用次数: 0

摘要

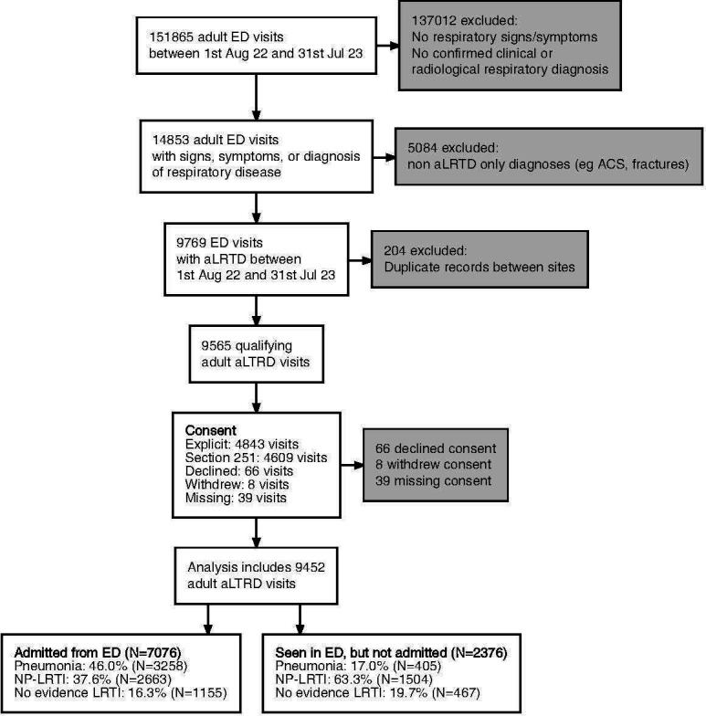
背景:最近的报道强调了急性下呼吸道疾病(aLRTD)对患者的重要性,但缺乏描述急诊科(ED)发病率和负担的数据。方法:一项队列研究确定了2022年8月1日至2023年7月31日在英国布里斯托尔的两家急诊科前瞻性病例,纳入了患有aLRTD的成人(≥18岁)。多因素logistic回归建模住院风险。使用AvonCAP研究集水区的成人人口估计值,估计每1000人年的发病率。结果急诊就诊151565例,aLRTD 9452例(6.2%),出院2376例(25%),住院7076例(75%),其中肺炎3663例(38.8%),非肺炎性下呼吸道感染4167例(44.1%),无感染证据1622例(17.2%)。单因素分析显示,出院的aLRTD患者比住院患者更年轻(中位年龄43.4岁,IQR为29.4-62.3岁,74.0岁,IQR为59.8-83.5岁),患肺炎的可能性更小(分别为17.0%和46.0%)。在调整后的logistic回归模型中,吸烟、入院时心力衰竭和潜在的慢性心脏病会增加入院风险,高于年龄效应。ED aLRTD总发病率为12.8/1000人-年(入院9.6人,就诊出院3.2人),18-64岁和≥65岁的发病率分别为7.0和36.8/1000人-年,随着患者年龄的增加,75-84岁和≥85岁年龄组的发病率分别为39.5和82.5/1000人-年。解释:我们报告的ED aLRTD发生率高于最近英国胸科学会和Getting It Right First Time报告。这是令人担忧的,特别是在老年人中,并且可以通过呼吸系统疾病优化和公共卫生举措(包括戒烟和疫苗接种规划)来减少。
本文章由计算机程序翻译,如有差异,请以英文原文为准。

Emergency department presentations of community-acquired lower respiratory tract disease in Bristol, UK: a prospective cohort study 2022-2023.

Emergency department presentations of community-acquired lower respiratory tract disease in Bristol, UK: a prospective cohort study 2022-2023.

Emergency department presentations of community-acquired lower respiratory tract disease in Bristol, UK: a prospective cohort study 2022-2023.

Background: Recent reports highlight the importance of acute lower respiratory tract disease (aLRTD) for patients, but data describing incidence and burden in emergency departments (ED) are lacking.

Methods: A cohort study ascertaining cases prospectively at two EDs in Bristol, UK, enrolling adults (≥18 years) presenting with aLRTD from 1 August 2022 to 31 July 2023. Multivariate logistic regression modelled risk of hospitalisation. Incidence was estimated per 1000 person-years, using adult population estimates for the AvonCAP study catchment area.

Results: 151 865 ED visits, with 9452 (6.2%) aLRTD cases: 2376 (25%) were discharged and 7076 (75%) subsequently hospitalised, including:3663 (38.8%) pneumonia, 4167 (44.1%) non-pneumonic lower respiratory tract infection and 1622 (17.2%) cases without evidence of infection. Univariate analysis demonstrated that aLRTD patients discharged were younger than those hospitalised (median age 43.4 years, IQR 29.4-62.3 vs 74.0 years, IQR 59.8-83.5), and less likely to have pneumonia (17.0% vs 46.0%, respectively). Smoking, heart failure at presentation and underlying chronic cardiac disease conferred risk of admission, above an age effect in the adjusted logistic regression model.Total ED aLRTD incidence was 12.8/1000 person-years (9.6 admitted, 3.2 seen and discharged), with incidences of 7.0 and 36.8/1000 person-years in 18-64 years and ≥65 years, respectively, and incidence increased with patient age: 39.5 and 82.5/1000 person-years in 75-84 years and ≥85 years age groups, respectively.

Interpretation: We report a higher ED aLRTD incidence than in recent British Thoracic Society and Getting It Right First Time reports. This is concerning, particularly in older adults, and may be reduced by respiratory disease optimisation and public health initiatives including smoking cessation and vaccination programmes.

求助全文
通过发布文献求助,成功后即可免费获取论文全文。 去求助
来源期刊
BMJ Open Respiratory Research
BMJ Open Respiratory Research RESPIRATORY SYSTEM-
CiteScore
6.60
自引率
2.40%
发文量
95
审稿时长
12 weeks
期刊介绍: BMJ Open Respiratory Research is a peer-reviewed, open access journal publishing respiratory and critical care medicine. It is the sister journal to Thorax and co-owned by the British Thoracic Society and BMJ. The journal focuses on robustness of methodology and scientific rigour with less emphasis on novelty or perceived impact. BMJ Open Respiratory Research operates a rapid review process, with continuous publication online, ensuring timely, up-to-date research is available worldwide. The journal publishes review articles and all research study types: Basic science including laboratory based experiments and animal models, Pilot studies or proof of concept, Observational studies, Study protocols, Registries, Clinical trials from phase I to multicentre randomised clinical trials, Systematic reviews and meta-analyses.
×
引用
GB/T 7714-2015
复制
MLA
复制
APA
复制
导出至
BibTeX EndNote RefMan NoteFirst NoteExpress
×
提示
您的信息不完整,为了账户安全,请先补充。
现在去补充
×
提示
您因"违规操作"
具体请查看互助需知
我知道了
×
提示
确定
请完成安全验证×
copy
已复制链接
快去分享给好友吧!
我知道了
右上角分享
点击右上角分享
0
联系我们:info@booksci.cn Book学术提供免费学术资源搜索服务,方便国内外学者检索中英文文献。致力于提供最便捷和优质的服务体验。 Copyright © 2023 布克学术 All rights reserved.
京ICP备2023020795号-1
ghs 京公网安备 11010802042870号
Book学术文献互助
Book学术文献互助群
群 号:604180095
Book学术官方微信