暴雨事件影响城市河流中宏观塑料的运移。

IF 1.9 4区 环境科学与生态学 Q3 ENGINEERING, ENVIRONMENTAL
Bailey A Schwenk, Elizabeth M Kazmierczak, Fritz Petersen, Jacob Haney, Xia Zhu, Shan Zuidema, Emily K Lever, Richard B Lammers, Wilfred M Wollheim, Chelsea M Rochman, Timothy J Hoellein
{"title":"暴雨事件影响城市河流中宏观塑料的运移。","authors":"Bailey A Schwenk, Elizabeth M Kazmierczak, Fritz Petersen, Jacob Haney, Xia Zhu, Shan Zuidema, Emily K Lever, Richard B Lammers, Wilfred M Wollheim, Chelsea M Rochman, Timothy J Hoellein","doi":"10.1002/wer.70083","DOIUrl":null,"url":null,"abstract":"<p><p>Plastic litter is a globally pervasive pollutant. Storms are likely key drivers of plastic transport to oceans, but plastic transport during rising and falling limbs of storm hydrographs is rarely measured. Measurements of plastic movement throughout individual storms will improve watershed models of plastic dynamics. We used cameras to quantify macroplastic movement (i.e., particles > 5 mm) in rivers before, during, and after individual storms (N = 18) at 10 sites within three North American watersheds. Most storms showed no difference in macroplastic transport between rising and falling hydrograph limbs or evidence of hysteresis (transport rate range = 0-236 items/30 min). Total macroplastic exported during storm events was positively related to storm magnitude and was greatest at more urban sites. Thus, macroplastic transport during storms was driven by storm size and land use. The quantitative relationships between macroplastic movement and hydrology will improve discharge-weighted calculations of macroplastic transport which can benefit modeling, monitoring, and mitigation efforts. PRACTITIONER POINTS: Macroplastic particles (i.e, > 5 mm) are both retained in urban streams (e.g., in debris dams), and move downstream during baseflow and stormflow conditions Storm flows are key periods of macroplastic transport: transport rates are higher on both rising and falling limbs of storm hydrographs relative to baseflow. The amount of macroplastics moving during storm flows is positively related to storm intensity. The predictive relationships generated between storm flow and macroplastic transport will improve estimates of annual export, and policies for macroplastic pollution reduction.</p>","PeriodicalId":23621,"journal":{"name":"Water Environment Research","volume":"97 6","pages":"e70083"},"PeriodicalIF":1.9000,"publicationDate":"2025-06-01","publicationTypes":"Journal Article","fieldsOfStudy":null,"isOpenAccess":false,"openAccessPdf":"https://www.ncbi.nlm.nih.gov/pmc/articles/PMC12127040/pdf/","citationCount":"0","resultStr":"{\"title\":\"Storm events influence the transport of macroplastics in urban streams.\",\"authors\":\"Bailey A Schwenk, Elizabeth M Kazmierczak, Fritz Petersen, Jacob Haney, Xia Zhu, Shan Zuidema, Emily K Lever, Richard B Lammers, Wilfred M Wollheim, Chelsea M Rochman, Timothy J Hoellein\",\"doi\":\"10.1002/wer.70083\",\"DOIUrl\":null,\"url\":null,\"abstract\":\"<p><p>Plastic litter is a globally pervasive pollutant. Storms are likely key drivers of plastic transport to oceans, but plastic transport during rising and falling limbs of storm hydrographs is rarely measured. Measurements of plastic movement throughout individual storms will improve watershed models of plastic dynamics. We used cameras to quantify macroplastic movement (i.e., particles > 5 mm) in rivers before, during, and after individual storms (N = 18) at 10 sites within three North American watersheds. Most storms showed no difference in macroplastic transport between rising and falling hydrograph limbs or evidence of hysteresis (transport rate range = 0-236 items/30 min). Total macroplastic exported during storm events was positively related to storm magnitude and was greatest at more urban sites. Thus, macroplastic transport during storms was driven by storm size and land use. The quantitative relationships between macroplastic movement and hydrology will improve discharge-weighted calculations of macroplastic transport which can benefit modeling, monitoring, and mitigation efforts. PRACTITIONER POINTS: Macroplastic particles (i.e, > 5 mm) are both retained in urban streams (e.g., in debris dams), and move downstream during baseflow and stormflow conditions Storm flows are key periods of macroplastic transport: transport rates are higher on both rising and falling limbs of storm hydrographs relative to baseflow. The amount of macroplastics moving during storm flows is positively related to storm intensity. The predictive relationships generated between storm flow and macroplastic transport will improve estimates of annual export, and policies for macroplastic pollution reduction.</p>\",\"PeriodicalId\":23621,\"journal\":{\"name\":\"Water Environment Research\",\"volume\":\"97 6\",\"pages\":\"e70083\"},\"PeriodicalIF\":1.9000,\"publicationDate\":\"2025-06-01\",\"publicationTypes\":\"Journal Article\",\"fieldsOfStudy\":null,\"isOpenAccess\":false,\"openAccessPdf\":\"https://www.ncbi.nlm.nih.gov/pmc/articles/PMC12127040/pdf/\",\"citationCount\":\"0\",\"resultStr\":null,\"platform\":\"Semanticscholar\",\"paperid\":null,\"PeriodicalName\":\"Water Environment Research\",\"FirstCategoryId\":\"93\",\"ListUrlMain\":\"https://doi.org/10.1002/wer.70083\",\"RegionNum\":4,\"RegionCategory\":\"环境科学与生态学\",\"ArticlePicture\":[],\"TitleCN\":null,\"AbstractTextCN\":null,\"PMCID\":null,\"EPubDate\":\"\",\"PubModel\":\"\",\"JCR\":\"Q3\",\"JCRName\":\"ENGINEERING, ENVIRONMENTAL\",\"Score\":null,\"Total\":0}","platform":"Semanticscholar","paperid":null,"PeriodicalName":"Water Environment Research","FirstCategoryId":"93","ListUrlMain":"https://doi.org/10.1002/wer.70083","RegionNum":4,"RegionCategory":"环境科学与生态学","ArticlePicture":[],"TitleCN":null,"AbstractTextCN":null,"PMCID":null,"EPubDate":"","PubModel":"","JCR":"Q3","JCRName":"ENGINEERING, ENVIRONMENTAL","Score":null,"Total":0}
引用次数: 0

摘要

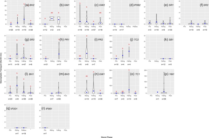
塑料垃圾是一种全球普遍存在的污染物。风暴可能是塑料向海洋运输的关键驱动因素,但在风暴水文曲线上升和下降的过程中,塑料运输很少被测量到。在单个风暴中塑料运动的测量将改进塑料动力学的流域模型。在北美三个流域的10个地点,我们使用相机量化了在单个风暴(N = 18)之前,期间和之后河流中的宏观塑性运动(即颗粒bbb50毫米)。大多数风暴在上升线和下降线之间的宏观塑性传输没有差异,也没有迟滞的证据(传输速率范围= 0-236项/30分钟)。暴雨期间的宏观塑料总量与暴雨强度呈正相关,且在更多的城市站点最大。因此,风暴期间的宏观塑性运输受到风暴大小和土地利用的驱动。宏观塑性运动与水文之间的定量关系将改善宏观塑性运移的流量加权计算,从而有利于建模、监测和减灾工作。实践要点:大塑性颗粒(即bbb50毫米)既保留在城市溪流中(例如,在碎屑坝中),又在基流和暴雨流条件下向下游移动。暴雨流是大塑性运移的关键时期:相对于基流,风暴线的上升和下降分支的输送率都更高。暴雨期间宏观塑料的移动量与暴雨强度呈正相关。暴雨流和宏观塑料运输之间的预测关系将改善对年出口的估计,以及减少宏观塑料污染的政策。
本文章由计算机程序翻译,如有差异,请以英文原文为准。

Storm events influence the transport of macroplastics in urban streams.

Storm events influence the transport of macroplastics in urban streams.

Storm events influence the transport of macroplastics in urban streams.

Storm events influence the transport of macroplastics in urban streams.

Plastic litter is a globally pervasive pollutant. Storms are likely key drivers of plastic transport to oceans, but plastic transport during rising and falling limbs of storm hydrographs is rarely measured. Measurements of plastic movement throughout individual storms will improve watershed models of plastic dynamics. We used cameras to quantify macroplastic movement (i.e., particles > 5 mm) in rivers before, during, and after individual storms (N = 18) at 10 sites within three North American watersheds. Most storms showed no difference in macroplastic transport between rising and falling hydrograph limbs or evidence of hysteresis (transport rate range = 0-236 items/30 min). Total macroplastic exported during storm events was positively related to storm magnitude and was greatest at more urban sites. Thus, macroplastic transport during storms was driven by storm size and land use. The quantitative relationships between macroplastic movement and hydrology will improve discharge-weighted calculations of macroplastic transport which can benefit modeling, monitoring, and mitigation efforts. PRACTITIONER POINTS: Macroplastic particles (i.e, > 5 mm) are both retained in urban streams (e.g., in debris dams), and move downstream during baseflow and stormflow conditions Storm flows are key periods of macroplastic transport: transport rates are higher on both rising and falling limbs of storm hydrographs relative to baseflow. The amount of macroplastics moving during storm flows is positively related to storm intensity. The predictive relationships generated between storm flow and macroplastic transport will improve estimates of annual export, and policies for macroplastic pollution reduction.

求助全文
通过发布文献求助,成功后即可免费获取论文全文。 去求助
来源期刊
Water Environment Research
Water Environment Research 环境科学-工程:环境
CiteScore
6.30
自引率
0.00%
发文量
138
审稿时长
11 months
期刊介绍: Published since 1928, Water Environment Research (WER) is an international multidisciplinary water resource management journal for the dissemination of fundamental and applied research in all scientific and technical areas related to water quality and resource recovery. WER''s goal is to foster communication and interdisciplinary research between water sciences and related fields such as environmental toxicology, agriculture, public and occupational health, microbiology, and ecology. In addition to original research articles, short communications, case studies, reviews, and perspectives are encouraged.
×
引用
GB/T 7714-2015
复制
MLA
复制
APA
复制
导出至
BibTeX EndNote RefMan NoteFirst NoteExpress
×
提示
您的信息不完整,为了账户安全,请先补充。
现在去补充
×
提示
您因"违规操作"
具体请查看互助需知
我知道了
×
提示
确定
请完成安全验证×
copy
已复制链接
快去分享给好友吧!
我知道了
右上角分享
点击右上角分享
0
联系我们:info@booksci.cn Book学术提供免费学术资源搜索服务,方便国内外学者检索中英文文献。致力于提供最便捷和优质的服务体验。 Copyright © 2023 布克学术 All rights reserved.
京ICP备2023020795号-1
ghs 京公网安备 11010802042870号
Book学术文献互助
Book学术文献互助群
群 号:604180095
Book学术官方微信