有弹性阻力和无弹性阻力的肩部康复训练中肌肉恢复模式的分析。

IF 1.6 4区 医学 Q4 NEUROSCIENCES
Alberto Tonon, Renzo Pozzo, Stefano Pollastri, Roberto Centemeri, Luis Mochizuki
{"title":"有弹性阻力和无弹性阻力的肩部康复训练中肌肉恢复模式的分析。","authors":"Alberto Tonon, Renzo Pozzo, Stefano Pollastri, Roberto Centemeri, Luis Mochizuki","doi":"","DOIUrl":null,"url":null,"abstract":"<p><strong>Objectives: </strong>This investigation examined the muscle's activation patterns of shoulder girdle principal muscles during a set of rehabilitation exercises.</p><p><strong>Methods: </strong>Thirty healthy participants (21 males, 9 females) performed a randomized set (12 repetitions at 2 s/repetition) of 7 exercises under natural and elastic loading conditions. The activation of 8 muscles was measured by surface electromyography (sEMG) and quantified as percentage of their maximal activation (%MVC). A linear encoder allowed to recognise the concentric and eccentric phases.</p><p><strong>Results: </strong>The execution time of 2 s was provided for most of exercises and conditions; however, females showed a higher variability especially in the elastic load condition. Considering a 20 %MVC as a sEMG threshold for low muscular activation, the ranking order of each muscle was determined for each exercise and loading conditions. By performing regression analysis with respect to the sEMG levels and ranking order, a neuromuscular cost can be evaluated and consequently the ability to perform the same work but with different efficiency.</p><p><strong>Conclusions: </strong>Linear and non-linear regression curves can be calculated and suggested as reference models. Hence the data presented here can be used as guideline for a more individualised rehabilitation programs or for specific tasks in the resistance strength training.</p>","PeriodicalId":16430,"journal":{"name":"Journal of musculoskeletal & neuronal interactions","volume":"25 2","pages":"160-171"},"PeriodicalIF":1.6000,"publicationDate":"2025-06-01","publicationTypes":"Journal Article","fieldsOfStudy":null,"isOpenAccess":false,"openAccessPdf":"https://www.ncbi.nlm.nih.gov/pmc/articles/PMC12131079/pdf/","citationCount":"0","resultStr":"{\"title\":\"Analysis of Muscle Recruitment Patterns During Shoulder Rehabilitation Exercises With and Without Elastic Resistance.\",\"authors\":\"Alberto Tonon, Renzo Pozzo, Stefano Pollastri, Roberto Centemeri, Luis Mochizuki\",\"doi\":\"\",\"DOIUrl\":null,\"url\":null,\"abstract\":\"<p><strong>Objectives: </strong>This investigation examined the muscle's activation patterns of shoulder girdle principal muscles during a set of rehabilitation exercises.</p><p><strong>Methods: </strong>Thirty healthy participants (21 males, 9 females) performed a randomized set (12 repetitions at 2 s/repetition) of 7 exercises under natural and elastic loading conditions. The activation of 8 muscles was measured by surface electromyography (sEMG) and quantified as percentage of their maximal activation (%MVC). A linear encoder allowed to recognise the concentric and eccentric phases.</p><p><strong>Results: </strong>The execution time of 2 s was provided for most of exercises and conditions; however, females showed a higher variability especially in the elastic load condition. Considering a 20 %MVC as a sEMG threshold for low muscular activation, the ranking order of each muscle was determined for each exercise and loading conditions. By performing regression analysis with respect to the sEMG levels and ranking order, a neuromuscular cost can be evaluated and consequently the ability to perform the same work but with different efficiency.</p><p><strong>Conclusions: </strong>Linear and non-linear regression curves can be calculated and suggested as reference models. Hence the data presented here can be used as guideline for a more individualised rehabilitation programs or for specific tasks in the resistance strength training.</p>\",\"PeriodicalId\":16430,\"journal\":{\"name\":\"Journal of musculoskeletal & neuronal interactions\",\"volume\":\"25 2\",\"pages\":\"160-171\"},\"PeriodicalIF\":1.6000,\"publicationDate\":\"2025-06-01\",\"publicationTypes\":\"Journal Article\",\"fieldsOfStudy\":null,\"isOpenAccess\":false,\"openAccessPdf\":\"https://www.ncbi.nlm.nih.gov/pmc/articles/PMC12131079/pdf/\",\"citationCount\":\"0\",\"resultStr\":null,\"platform\":\"Semanticscholar\",\"paperid\":null,\"PeriodicalName\":\"Journal of musculoskeletal & neuronal interactions\",\"FirstCategoryId\":\"3\",\"ListUrlMain\":\"\",\"RegionNum\":4,\"RegionCategory\":\"医学\",\"ArticlePicture\":[],\"TitleCN\":null,\"AbstractTextCN\":null,\"PMCID\":null,\"EPubDate\":\"\",\"PubModel\":\"\",\"JCR\":\"Q4\",\"JCRName\":\"NEUROSCIENCES\",\"Score\":null,\"Total\":0}","platform":"Semanticscholar","paperid":null,"PeriodicalName":"Journal of musculoskeletal & neuronal interactions","FirstCategoryId":"3","ListUrlMain":"","RegionNum":4,"RegionCategory":"医学","ArticlePicture":[],"TitleCN":null,"AbstractTextCN":null,"PMCID":null,"EPubDate":"","PubModel":"","JCR":"Q4","JCRName":"NEUROSCIENCES","Score":null,"Total":0}
引用次数: 0

摘要

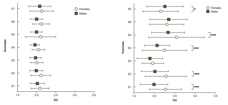
目的:研究一组康复训练中肩带主肌的肌肉激活模式。方法:30名健康参与者(男性21名,女性9名)在自然和弹性负荷条件下随机进行7项运动(12次,每次2秒)。通过表面肌电图(sEMG)测量8块肌肉的激活,并以其最大激活的百分比(%MVC)进行量化。一种线性编码器,可以识别同心和偏心相位。结果:大多数运动条件的执行时间为2 s;然而,雌性表现出更高的变异性,特别是在弹性载荷条件下。考虑到20%的MVC作为低肌肉激活的sEMG阈值,确定了每个肌肉在每种运动和负载条件下的排名顺序。通过对表面肌电信号水平和排序顺序进行回归分析,可以评估神经肌肉成本,从而评估以不同效率执行相同工作的能力。结论:可以计算出线性和非线性回归曲线,并建议作为参考模型。因此,这里提供的数据可以作为更个性化的康复计划或阻力力量训练中特定任务的指导。
本文章由计算机程序翻译,如有差异,请以英文原文为准。

Analysis of Muscle Recruitment Patterns During Shoulder Rehabilitation Exercises With and Without Elastic Resistance.

Analysis of Muscle Recruitment Patterns During Shoulder Rehabilitation Exercises With and Without Elastic Resistance.

Analysis of Muscle Recruitment Patterns During Shoulder Rehabilitation Exercises With and Without Elastic Resistance.

Analysis of Muscle Recruitment Patterns During Shoulder Rehabilitation Exercises With and Without Elastic Resistance.

Objectives: This investigation examined the muscle's activation patterns of shoulder girdle principal muscles during a set of rehabilitation exercises.

Methods: Thirty healthy participants (21 males, 9 females) performed a randomized set (12 repetitions at 2 s/repetition) of 7 exercises under natural and elastic loading conditions. The activation of 8 muscles was measured by surface electromyography (sEMG) and quantified as percentage of their maximal activation (%MVC). A linear encoder allowed to recognise the concentric and eccentric phases.

Results: The execution time of 2 s was provided for most of exercises and conditions; however, females showed a higher variability especially in the elastic load condition. Considering a 20 %MVC as a sEMG threshold for low muscular activation, the ranking order of each muscle was determined for each exercise and loading conditions. By performing regression analysis with respect to the sEMG levels and ranking order, a neuromuscular cost can be evaluated and consequently the ability to perform the same work but with different efficiency.

Conclusions: Linear and non-linear regression curves can be calculated and suggested as reference models. Hence the data presented here can be used as guideline for a more individualised rehabilitation programs or for specific tasks in the resistance strength training.

求助全文
通过发布文献求助,成功后即可免费获取论文全文。 去求助
来源期刊
CiteScore
3.40
自引率
0.00%
发文量
67
审稿时长
>12 weeks
期刊介绍: The Journal of Musculoskeletal and Neuronal Interactions (JMNI) is an academic journal dealing with the pathophysiology and treatment of musculoskeletal disorders. It is published quarterly (months of issue March, June, September, December). Its purpose is to publish original, peer-reviewed papers of research and clinical experience in all areas of the musculoskeletal system and its interactions with the nervous system, especially metabolic bone diseases, with particular emphasis on osteoporosis. Additionally, JMNI publishes the Abstracts from the biannual meetings of the International Society of Musculoskeletal and Neuronal Interactions, and hosts Abstracts of other meetings on topics related to the aims and scope of JMNI.
×
引用
GB/T 7714-2015
复制
MLA
复制
APA
复制
导出至
BibTeX EndNote RefMan NoteFirst NoteExpress
×
提示
您的信息不完整,为了账户安全,请先补充。
现在去补充
×
提示
您因"违规操作"
具体请查看互助需知
我知道了
×
提示
确定
请完成安全验证×
copy
已复制链接
快去分享给好友吧!
我知道了
右上角分享
点击右上角分享
0
联系我们:info@booksci.cn Book学术提供免费学术资源搜索服务,方便国内外学者检索中英文文献。致力于提供最便捷和优质的服务体验。 Copyright © 2023 布克学术 All rights reserved.
京ICP备2023020795号-1
ghs 京公网安备 11010802042870号
Book学术文献互助
Book学术文献互助群
群 号:604180095
Book学术官方微信