健康志愿者和危重病人血浆非挥发性弱酸的pKA测定。

IF 2.8 Q2 CRITICAL CARE MEDICINE
Martin Krbec, Serena Brusatori, Petr Waldauf, Alberto Zanella, Francesco Zadek, Victor van Bochove, František Duška, Thomas Langer, Paul Elbers
{"title":"健康志愿者和危重病人血浆非挥发性弱酸的pKA测定。","authors":"Martin Krbec, Serena Brusatori, Petr Waldauf, Alberto Zanella, Francesco Zadek, Victor van Bochove, František Duška, Thomas Langer, Paul Elbers","doi":"10.1186/s40635-025-00762-8","DOIUrl":null,"url":null,"abstract":"<p><strong>Background: </strong>The dissociation constant of nonvolatile weak acids in plasma (K<sub>A</sub>), expressed as pK<sub>A</sub>, is essential for electroneutrality-based acid-base analysis. To date, its normal value in human plasma has been determined in only one study involving eight healthy volunteers. We hypothesized that pK<sub>A</sub> would differ in ICU patients, whose plasma protein composition is altered by disease and medication, and that changes in protein charge-rather than undetected strong acids-could account for the unexplained anions observed in sepsis.</p><p><strong>Methods: </strong>Using CO<sub>2</sub> tonometry, we determined pK<sub>A</sub> and total weak nonvolatile acids (A<sub>TOT</sub>) in plasma from 30 healthy volunteers and two ICU cohorts (27 postoperative and 30 septic patients). Additionally, we calculated the strong ion gap in plasma and protein-free serum filtrates from 10 healthy volunteers and 20 septic patients.</p><p><strong>Results: </strong>In healthy volunteers, pK<sub>A</sub> was 7.55 ± 0.16 (K<sub>A</sub> = 2.8 × 10⁻⁸) and A<sub>TOT</sub> was 15.9 ± 3.0 mmol/L (0.222 ± 0.043 mmol/g of TP). In postoperative and septic patients, A<sub>TOT</sub> was significantly reduced (10.1 ± 5.4 and 11.9 ± 4.0 mmol/L, p < 0.001), but pK<sub>A</sub> and A<sub>TOT</sub>/TP remained unchanged, yielding an average pK<sub>A</sub> of 7.55 ± 0.35 (K<sub>A</sub> = 2.8 × 10⁻⁸) and A<sub>TOT</sub>/TP of 0.230 ± 0.097 mmol/g. We found elevated strong ion gap in both plasma and protein-free filtrates of septic patients, which confirms the presence of unmeasured low-molecular-weight anions.</p><p><strong>Conclusion: </strong>Our findings confirm stable pK<sub>A</sub> and A<sub>TOT</sub>/TP values in human plasma in both health and disease, supporting the Staempfli-Constable model for clinical acid-base diagnostics. Unexplained anions in sepsis are attributed to low molecular weight strong ions rather than alterations in plasma protein dissociation.</p>","PeriodicalId":13750,"journal":{"name":"Intensive Care Medicine Experimental","volume":"13 1","pages":"54"},"PeriodicalIF":2.8000,"publicationDate":"2025-06-02","publicationTypes":"Journal Article","fieldsOfStudy":null,"isOpenAccess":false,"openAccessPdf":"https://www.ncbi.nlm.nih.gov/pmc/articles/PMC12130371/pdf/","citationCount":"0","resultStr":"{\"title\":\"Determination of pK<sub>A</sub> of nonvolatile weak acids in plasma of healthy volunteers and critically ill patients.\",\"authors\":\"Martin Krbec, Serena Brusatori, Petr Waldauf, Alberto Zanella, Francesco Zadek, Victor van Bochove, František Duška, Thomas Langer, Paul Elbers\",\"doi\":\"10.1186/s40635-025-00762-8\",\"DOIUrl\":null,\"url\":null,\"abstract\":\"<p><strong>Background: </strong>The dissociation constant of nonvolatile weak acids in plasma (K<sub>A</sub>), expressed as pK<sub>A</sub>, is essential for electroneutrality-based acid-base analysis. To date, its normal value in human plasma has been determined in only one study involving eight healthy volunteers. We hypothesized that pK<sub>A</sub> would differ in ICU patients, whose plasma protein composition is altered by disease and medication, and that changes in protein charge-rather than undetected strong acids-could account for the unexplained anions observed in sepsis.</p><p><strong>Methods: </strong>Using CO<sub>2</sub> tonometry, we determined pK<sub>A</sub> and total weak nonvolatile acids (A<sub>TOT</sub>) in plasma from 30 healthy volunteers and two ICU cohorts (27 postoperative and 30 septic patients). Additionally, we calculated the strong ion gap in plasma and protein-free serum filtrates from 10 healthy volunteers and 20 septic patients.</p><p><strong>Results: </strong>In healthy volunteers, pK<sub>A</sub> was 7.55 ± 0.16 (K<sub>A</sub> = 2.8 × 10⁻⁸) and A<sub>TOT</sub> was 15.9 ± 3.0 mmol/L (0.222 ± 0.043 mmol/g of TP). In postoperative and septic patients, A<sub>TOT</sub> was significantly reduced (10.1 ± 5.4 and 11.9 ± 4.0 mmol/L, p < 0.001), but pK<sub>A</sub> and A<sub>TOT</sub>/TP remained unchanged, yielding an average pK<sub>A</sub> of 7.55 ± 0.35 (K<sub>A</sub> = 2.8 × 10⁻⁸) and A<sub>TOT</sub>/TP of 0.230 ± 0.097 mmol/g. We found elevated strong ion gap in both plasma and protein-free filtrates of septic patients, which confirms the presence of unmeasured low-molecular-weight anions.</p><p><strong>Conclusion: </strong>Our findings confirm stable pK<sub>A</sub> and A<sub>TOT</sub>/TP values in human plasma in both health and disease, supporting the Staempfli-Constable model for clinical acid-base diagnostics. Unexplained anions in sepsis are attributed to low molecular weight strong ions rather than alterations in plasma protein dissociation.</p>\",\"PeriodicalId\":13750,\"journal\":{\"name\":\"Intensive Care Medicine Experimental\",\"volume\":\"13 1\",\"pages\":\"54\"},\"PeriodicalIF\":2.8000,\"publicationDate\":\"2025-06-02\",\"publicationTypes\":\"Journal Article\",\"fieldsOfStudy\":null,\"isOpenAccess\":false,\"openAccessPdf\":\"https://www.ncbi.nlm.nih.gov/pmc/articles/PMC12130371/pdf/\",\"citationCount\":\"0\",\"resultStr\":null,\"platform\":\"Semanticscholar\",\"paperid\":null,\"PeriodicalName\":\"Intensive Care Medicine Experimental\",\"FirstCategoryId\":\"1085\",\"ListUrlMain\":\"https://doi.org/10.1186/s40635-025-00762-8\",\"RegionNum\":0,\"RegionCategory\":null,\"ArticlePicture\":[],\"TitleCN\":null,\"AbstractTextCN\":null,\"PMCID\":null,\"EPubDate\":\"\",\"PubModel\":\"\",\"JCR\":\"Q2\",\"JCRName\":\"CRITICAL CARE MEDICINE\",\"Score\":null,\"Total\":0}","platform":"Semanticscholar","paperid":null,"PeriodicalName":"Intensive Care Medicine Experimental","FirstCategoryId":"1085","ListUrlMain":"https://doi.org/10.1186/s40635-025-00762-8","RegionNum":0,"RegionCategory":null,"ArticlePicture":[],"TitleCN":null,"AbstractTextCN":null,"PMCID":null,"EPubDate":"","PubModel":"","JCR":"Q2","JCRName":"CRITICAL CARE MEDICINE","Score":null,"Total":0}
引用次数: 0

摘要

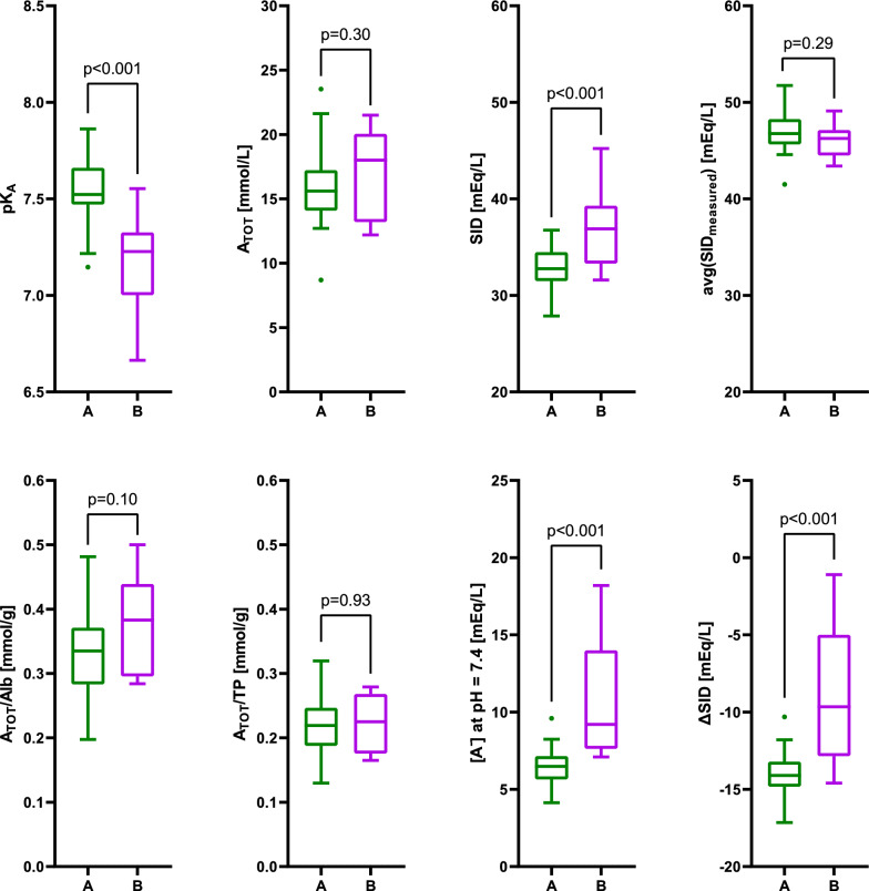
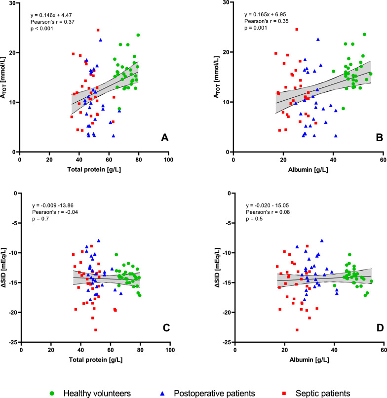
背景:血浆中非挥发性弱酸的解离常数(KA),表示为pKA,是基于电中性的酸碱分析所必需的。迄今为止,仅在一项涉及8名健康志愿者的研究中确定了其在人体血浆中的正常值。我们假设pKA在ICU患者中会有所不同,他们的血浆蛋白组成会因疾病和药物而改变,并且蛋白质电荷的变化-而不是未检测到的强酸-可以解释败血症中观察到的无法解释的阴离子。方法:采用CO2血压计测定30名健康志愿者和2个ICU队列(27名术后患者和30名脓毒症患者)血浆中的pKA和总弱非挥发性酸(ATOT)。此外,我们计算了10名健康志愿者和20名脓毒症患者血浆和无蛋白血清滤液中的强离子间隙。结果:健康志愿者pKA为7.55±0.16 (KA = 2.8 × 10⁻⁸),ATOT为15.9±3.0 mmol/L(0.222±0.043 mmol/g TP)。在术后和脓毒症患者中,ATOT显著降低(10.1±5.4和11.9±4.0 mmol/L), p - A和ATOT/TP保持不变,平均pKA为7.55±0.35 (KA = 2.8 × 10⁻⁸),ATOT/TP为0.230±0.097 mmol/g。我们在脓毒症患者的血浆和无蛋白滤液中发现了高强度的离子间隙,这证实了未测量到的低分子量阴离子的存在。结论:我们的研究结果证实了健康和疾病人群血浆中稳定的pKA和ATOT/TP值,支持staempli - constable模型用于临床酸碱诊断。脓毒症中原因不明的阴离子归因于低分子量强离子,而不是血浆蛋白解离的改变。
本文章由计算机程序翻译,如有差异,请以英文原文为准。

Determination of pK<sub>A</sub> of nonvolatile weak acids in plasma of healthy volunteers and critically ill patients.

Determination of pK<sub>A</sub> of nonvolatile weak acids in plasma of healthy volunteers and critically ill patients.

Determination of pK<sub>A</sub> of nonvolatile weak acids in plasma of healthy volunteers and critically ill patients.

Determination of pKA of nonvolatile weak acids in plasma of healthy volunteers and critically ill patients.

Background: The dissociation constant of nonvolatile weak acids in plasma (KA), expressed as pKA, is essential for electroneutrality-based acid-base analysis. To date, its normal value in human plasma has been determined in only one study involving eight healthy volunteers. We hypothesized that pKA would differ in ICU patients, whose plasma protein composition is altered by disease and medication, and that changes in protein charge-rather than undetected strong acids-could account for the unexplained anions observed in sepsis.

Methods: Using CO2 tonometry, we determined pKA and total weak nonvolatile acids (ATOT) in plasma from 30 healthy volunteers and two ICU cohorts (27 postoperative and 30 septic patients). Additionally, we calculated the strong ion gap in plasma and protein-free serum filtrates from 10 healthy volunteers and 20 septic patients.

Results: In healthy volunteers, pKA was 7.55 ± 0.16 (KA = 2.8 × 10⁻⁸) and ATOT was 15.9 ± 3.0 mmol/L (0.222 ± 0.043 mmol/g of TP). In postoperative and septic patients, ATOT was significantly reduced (10.1 ± 5.4 and 11.9 ± 4.0 mmol/L, p < 0.001), but pKA and ATOT/TP remained unchanged, yielding an average pKA of 7.55 ± 0.35 (KA = 2.8 × 10⁻⁸) and ATOT/TP of 0.230 ± 0.097 mmol/g. We found elevated strong ion gap in both plasma and protein-free filtrates of septic patients, which confirms the presence of unmeasured low-molecular-weight anions.

Conclusion: Our findings confirm stable pKA and ATOT/TP values in human plasma in both health and disease, supporting the Staempfli-Constable model for clinical acid-base diagnostics. Unexplained anions in sepsis are attributed to low molecular weight strong ions rather than alterations in plasma protein dissociation.

求助全文
通过发布文献求助,成功后即可免费获取论文全文。 去求助
来源期刊
Intensive Care Medicine Experimental
Intensive Care Medicine Experimental CRITICAL CARE MEDICINE-
CiteScore
5.10
自引率
2.90%
发文量
48
审稿时长
13 weeks
×
引用
GB/T 7714-2015
复制
MLA
复制
APA
复制
导出至
BibTeX EndNote RefMan NoteFirst NoteExpress
×
提示
您的信息不完整,为了账户安全,请先补充。
现在去补充
×
提示
您因"违规操作"
具体请查看互助需知
我知道了
×
提示
确定
请完成安全验证×
copy
已复制链接
快去分享给好友吧!
我知道了
右上角分享
点击右上角分享
0
联系我们:info@booksci.cn Book学术提供免费学术资源搜索服务,方便国内外学者检索中英文文献。致力于提供最便捷和优质的服务体验。 Copyright © 2023 布克学术 All rights reserved.
京ICP备2023020795号-1
ghs 京公网安备 11010802042870号
Book学术文献互助
Book学术文献互助群
群 号:604180095
Book学术官方微信