中国成年人新冠肺炎急性期疲劳与神经精神和神经认知症状轨迹以及长期健康相关生活质量的关系

IF 3.4 2区 医学 Q1 HEALTH CARE SCIENCES & SERVICES
Qiange Zhu, Xingpu Quan, Zhaoyao Luo, Yu Shang, Xinyi Zhu, Wenrui Bao, Meiling Shang, Peng Li, Fan Gao, Wenyang Wang, Ziyi Liu, Xuan Niu, Yuchen Zhang
{"title":"中国成年人新冠肺炎急性期疲劳与神经精神和神经认知症状轨迹以及长期健康相关生活质量的关系","authors":"Qiange Zhu, Xingpu Quan, Zhaoyao Luo, Yu Shang, Xinyi Zhu, Wenrui Bao, Meiling Shang, Peng Li, Fan Gao, Wenyang Wang, Ziyi Liu, Xuan Niu, Yuchen Zhang","doi":"10.1186/s12955-025-02384-w","DOIUrl":null,"url":null,"abstract":"<p><strong>Background: </strong>Post-viral fatigue is a common and debilitating neurological sequela of COVID-19, often accompanied with multidimensional neuropsychiatric symptoms (post-viral fatigue, sleep disturbance, anxiety, depression, and post-traumatic stress disorder) and neurocognitive impairment. We sought to characterize the trajectory of these neurological symptoms and investigate the relationship between acute-phase fatigue (< 1 month) and the chronicity of neuropsychiatric and neurocognitive symptoms, as well as long-term health-related quality of life (HRQoL) at 3 months post-infection.</p><p><strong>Methods: </strong>A prospective, multi-center, longitudinal study was conducted from January to February 2023 within a cohort of individuals with a mild SARS-COV-2 infection and contemporaneous healthy controls (HCs). Comprehensive neuropsychiatric and neurocognitive assessments were collected for COVID-19 survivors during both acute and chronic phase post-infection, with the EQ-5D-5L (a standardized instrument for assessing HRQoL) evaluated at the chronic phase. Healthy controls underwent the same protocol for recruitment to the study. Linear mixed models were used to access the impact of acute-phase fatigue on different neuropsychiatric and neurocognitive scales over time.</p><p><strong>Results: </strong>Three hundred thirty-five COVID-19 survivors and 79 HCs were included in the study. COVID-19 survivors exhibited poorer performance in various neuropsychiatric domains during the acute phase, with the exception of cognitive impairment. A significant amelioration of emotional symptoms, including anxiety and depression, was observed from the acute to chronic phase among COVID-19 survivors, reaching levels comparable to those of HCs. However, at 3 months post-infection, survivors continued to report higher levels of fatigue and poorer sleep quality compared to HCs, although the differences had diminished from the acute phase. The impact of the pandemic event persisted, and no significant changes in cognitive performance were observed. Acute-phase fatigue was associated with poorer sleep and worse emotional problems during the recovery process (from the acute to the chronic phase), and further exacerbated overall HRQoL at 3 months post-infection (EQ index score, p = 0.001, Cohen's d = -0.33; EQ-VAS, p = 0.007, Cohen's d = -0.19).</p><p><strong>Conclusions: </strong>Our findings provide novel evidence on the distinct temporal trajectories for post-acute COVID-19 sequelae in a longitudinal study, highlighting the negative impact of acute-phase fatigue on the process of neuropsychiatric recovery and long-term HRQoL.</p>","PeriodicalId":12980,"journal":{"name":"Health and Quality of Life Outcomes","volume":"23 1","pages":"54"},"PeriodicalIF":3.4000,"publicationDate":"2025-05-31","publicationTypes":"Journal Article","fieldsOfStudy":null,"isOpenAccess":false,"openAccessPdf":"https://www.ncbi.nlm.nih.gov/pmc/articles/PMC12125754/pdf/","citationCount":"0","resultStr":"{\"title\":\"The association of post-COVID-19 fatigue in the acute phase with neuropsychiatric and neurocognitive symptoms trajectory over time and long-term health-related quality of life among Chinese adults.\",\"authors\":\"Qiange Zhu, Xingpu Quan, Zhaoyao Luo, Yu Shang, Xinyi Zhu, Wenrui Bao, Meiling Shang, Peng Li, Fan Gao, Wenyang Wang, Ziyi Liu, Xuan Niu, Yuchen Zhang\",\"doi\":\"10.1186/s12955-025-02384-w\",\"DOIUrl\":null,\"url\":null,\"abstract\":\"<p><strong>Background: </strong>Post-viral fatigue is a common and debilitating neurological sequela of COVID-19, often accompanied with multidimensional neuropsychiatric symptoms (post-viral fatigue, sleep disturbance, anxiety, depression, and post-traumatic stress disorder) and neurocognitive impairment. We sought to characterize the trajectory of these neurological symptoms and investigate the relationship between acute-phase fatigue (< 1 month) and the chronicity of neuropsychiatric and neurocognitive symptoms, as well as long-term health-related quality of life (HRQoL) at 3 months post-infection.</p><p><strong>Methods: </strong>A prospective, multi-center, longitudinal study was conducted from January to February 2023 within a cohort of individuals with a mild SARS-COV-2 infection and contemporaneous healthy controls (HCs). Comprehensive neuropsychiatric and neurocognitive assessments were collected for COVID-19 survivors during both acute and chronic phase post-infection, with the EQ-5D-5L (a standardized instrument for assessing HRQoL) evaluated at the chronic phase. Healthy controls underwent the same protocol for recruitment to the study. Linear mixed models were used to access the impact of acute-phase fatigue on different neuropsychiatric and neurocognitive scales over time.</p><p><strong>Results: </strong>Three hundred thirty-five COVID-19 survivors and 79 HCs were included in the study. COVID-19 survivors exhibited poorer performance in various neuropsychiatric domains during the acute phase, with the exception of cognitive impairment. A significant amelioration of emotional symptoms, including anxiety and depression, was observed from the acute to chronic phase among COVID-19 survivors, reaching levels comparable to those of HCs. However, at 3 months post-infection, survivors continued to report higher levels of fatigue and poorer sleep quality compared to HCs, although the differences had diminished from the acute phase. The impact of the pandemic event persisted, and no significant changes in cognitive performance were observed. Acute-phase fatigue was associated with poorer sleep and worse emotional problems during the recovery process (from the acute to the chronic phase), and further exacerbated overall HRQoL at 3 months post-infection (EQ index score, p = 0.001, Cohen's d = -0.33; EQ-VAS, p = 0.007, Cohen's d = -0.19).</p><p><strong>Conclusions: </strong>Our findings provide novel evidence on the distinct temporal trajectories for post-acute COVID-19 sequelae in a longitudinal study, highlighting the negative impact of acute-phase fatigue on the process of neuropsychiatric recovery and long-term HRQoL.</p>\",\"PeriodicalId\":12980,\"journal\":{\"name\":\"Health and Quality of Life Outcomes\",\"volume\":\"23 1\",\"pages\":\"54\"},\"PeriodicalIF\":3.4000,\"publicationDate\":\"2025-05-31\",\"publicationTypes\":\"Journal Article\",\"fieldsOfStudy\":null,\"isOpenAccess\":false,\"openAccessPdf\":\"https://www.ncbi.nlm.nih.gov/pmc/articles/PMC12125754/pdf/\",\"citationCount\":\"0\",\"resultStr\":null,\"platform\":\"Semanticscholar\",\"paperid\":null,\"PeriodicalName\":\"Health and Quality of Life Outcomes\",\"FirstCategoryId\":\"3\",\"ListUrlMain\":\"https://doi.org/10.1186/s12955-025-02384-w\",\"RegionNum\":2,\"RegionCategory\":\"医学\",\"ArticlePicture\":[],\"TitleCN\":null,\"AbstractTextCN\":null,\"PMCID\":null,\"EPubDate\":\"\",\"PubModel\":\"\",\"JCR\":\"Q1\",\"JCRName\":\"HEALTH CARE SCIENCES & SERVICES\",\"Score\":null,\"Total\":0}","platform":"Semanticscholar","paperid":null,"PeriodicalName":"Health and Quality of Life Outcomes","FirstCategoryId":"3","ListUrlMain":"https://doi.org/10.1186/s12955-025-02384-w","RegionNum":2,"RegionCategory":"医学","ArticlePicture":[],"TitleCN":null,"AbstractTextCN":null,"PMCID":null,"EPubDate":"","PubModel":"","JCR":"Q1","JCRName":"HEALTH CARE SCIENCES & SERVICES","Score":null,"Total":0}
引用次数: 0

摘要

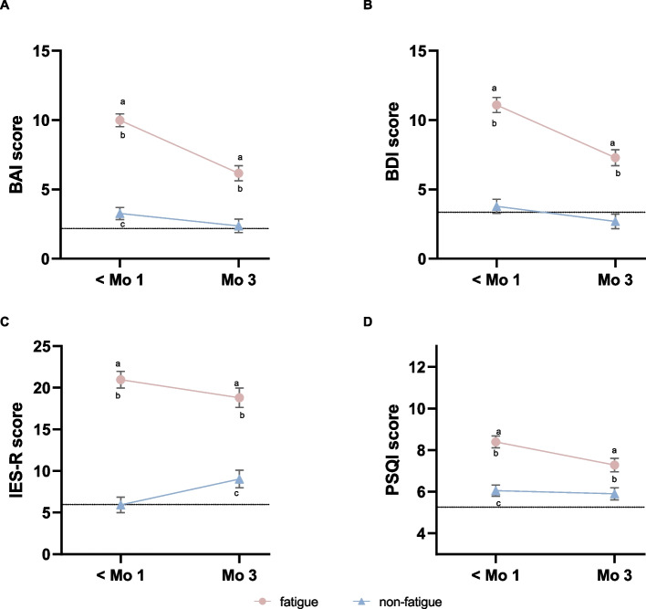
背景:病毒后疲劳是COVID-19常见的神经系统衰弱后遗症,常伴有多维神经精神症状(病毒后疲劳、睡眠障碍、焦虑、抑郁、创伤后应激障碍)和神经认知障碍。我们试图描述这些神经系统症状的发展轨迹,并调查急性期疲劳之间的关系(方法:一项前瞻性、多中心、纵向研究于2023年1月至2月在轻度SARS-COV-2感染个体和同期健康对照组(hc)中进行。在感染后急性期和慢性期收集COVID-19幸存者的综合神经精神病学和神经认知评估,并在慢性期评估EQ-5D-5L(一种评估HRQoL的标准化仪器)。健康对照者在招募研究人员时采用了相同的方案。使用线性混合模型来获取急性期疲劳随时间对不同神经精神和神经认知量表的影响。结果:研究中包括335名COVID-19幸存者和79名hcc患者。COVID-19幸存者在急性期的各种神经精神领域表现较差,但认知障碍除外。从急性期到慢性期,观察到COVID-19幸存者的情绪症状(包括焦虑和抑郁)显著改善,达到与hc相当的水平。然而,在感染后3个月,与hc相比,幸存者继续报告更高水平的疲劳和更差的睡眠质量,尽管从急性期开始差异已经减弱。大流行事件的影响持续存在,没有观察到认知表现的显著变化。急性期疲劳与恢复过程(从急性期到慢性期)中较差的睡眠和较差的情绪问题相关,并进一步加重了感染后3个月的总体HRQoL (EQ指数评分,p = 0.001, Cohen’s d = -0.33;EQ-VAS, p = 0.007, Cohen’s d = -0.19)。结论:我们的研究结果在一项纵向研究中为COVID-19急性期后后遗症的不同时间轨迹提供了新的证据,突出了急性期疲劳对神经精神康复过程和长期HRQoL的负面影响。
本文章由计算机程序翻译,如有差异,请以英文原文为准。

The association of post-COVID-19 fatigue in the acute phase with neuropsychiatric and neurocognitive symptoms trajectory over time and long-term health-related quality of life among Chinese adults.

The association of post-COVID-19 fatigue in the acute phase with neuropsychiatric and neurocognitive symptoms trajectory over time and long-term health-related quality of life among Chinese adults.

The association of post-COVID-19 fatigue in the acute phase with neuropsychiatric and neurocognitive symptoms trajectory over time and long-term health-related quality of life among Chinese adults.

The association of post-COVID-19 fatigue in the acute phase with neuropsychiatric and neurocognitive symptoms trajectory over time and long-term health-related quality of life among Chinese adults.

Background: Post-viral fatigue is a common and debilitating neurological sequela of COVID-19, often accompanied with multidimensional neuropsychiatric symptoms (post-viral fatigue, sleep disturbance, anxiety, depression, and post-traumatic stress disorder) and neurocognitive impairment. We sought to characterize the trajectory of these neurological symptoms and investigate the relationship between acute-phase fatigue (< 1 month) and the chronicity of neuropsychiatric and neurocognitive symptoms, as well as long-term health-related quality of life (HRQoL) at 3 months post-infection.

Methods: A prospective, multi-center, longitudinal study was conducted from January to February 2023 within a cohort of individuals with a mild SARS-COV-2 infection and contemporaneous healthy controls (HCs). Comprehensive neuropsychiatric and neurocognitive assessments were collected for COVID-19 survivors during both acute and chronic phase post-infection, with the EQ-5D-5L (a standardized instrument for assessing HRQoL) evaluated at the chronic phase. Healthy controls underwent the same protocol for recruitment to the study. Linear mixed models were used to access the impact of acute-phase fatigue on different neuropsychiatric and neurocognitive scales over time.

Results: Three hundred thirty-five COVID-19 survivors and 79 HCs were included in the study. COVID-19 survivors exhibited poorer performance in various neuropsychiatric domains during the acute phase, with the exception of cognitive impairment. A significant amelioration of emotional symptoms, including anxiety and depression, was observed from the acute to chronic phase among COVID-19 survivors, reaching levels comparable to those of HCs. However, at 3 months post-infection, survivors continued to report higher levels of fatigue and poorer sleep quality compared to HCs, although the differences had diminished from the acute phase. The impact of the pandemic event persisted, and no significant changes in cognitive performance were observed. Acute-phase fatigue was associated with poorer sleep and worse emotional problems during the recovery process (from the acute to the chronic phase), and further exacerbated overall HRQoL at 3 months post-infection (EQ index score, p = 0.001, Cohen's d = -0.33; EQ-VAS, p = 0.007, Cohen's d = -0.19).

Conclusions: Our findings provide novel evidence on the distinct temporal trajectories for post-acute COVID-19 sequelae in a longitudinal study, highlighting the negative impact of acute-phase fatigue on the process of neuropsychiatric recovery and long-term HRQoL.

求助全文
通过发布文献求助,成功后即可免费获取论文全文。 去求助
来源期刊
CiteScore
7.30
自引率
2.80%
发文量
154
审稿时长
3-8 weeks
期刊介绍: Health and Quality of Life Outcomes is an open access, peer-reviewed, journal offering high quality articles, rapid publication and wide diffusion in the public domain. Health and Quality of Life Outcomes considers original manuscripts on the Health-Related Quality of Life (HRQOL) assessment for evaluation of medical and psychosocial interventions. It also considers approaches and studies on psychometric properties of HRQOL and patient reported outcome measures, including cultural validation of instruments if they provide information about the impact of interventions. The journal publishes study protocols and reviews summarising the present state of knowledge concerning a particular aspect of HRQOL and patient reported outcome measures. Reviews should generally follow systematic review methodology. Comments on articles and letters to the editor are welcome.
×
引用
GB/T 7714-2015
复制
MLA
复制
APA
复制
导出至
BibTeX EndNote RefMan NoteFirst NoteExpress
×
提示
您的信息不完整,为了账户安全,请先补充。
现在去补充
×
提示
您因"违规操作"
具体请查看互助需知
我知道了
×
提示
确定
请完成安全验证×
copy
已复制链接
快去分享给好友吧!
我知道了
右上角分享
点击右上角分享
0
联系我们:info@booksci.cn Book学术提供免费学术资源搜索服务,方便国内外学者检索中英文文献。致力于提供最便捷和优质的服务体验。 Copyright © 2023 布克学术 All rights reserved.
京ICP备2023020795号-1
ghs 京公网安备 11010802042870号
Book学术文献互助
Book学术文献互助群
群 号:604180095
Book学术官方微信