约1300例外阴癌患者p16和高危HPV DNA对预后的影响

IF 4.7 2区 医学 Q1 ONCOLOGY
International Journal of Cancer Pub Date : 2025-10-01 Epub Date: 2025-05-30 DOI:10.1002/ijc.35501
Susanne K Kjær, Kirsten Frederiksen, Christina L Rasmussen, Louise T Thomsen, Else M Madsen, Maria B Franzmann, Alexander K Kjær, Lise G Larsen, Nadia V Salinas, Doris Schledermann, Birgitte H Winberg, Pernille T Jensen, Dorthe Ørnskov, Marianne Waldstrøm, Louise Baandrup
{"title":"约1300例外阴癌患者p16和高危HPV DNA对预后的影响","authors":"Susanne K Kjær, Kirsten Frederiksen, Christina L Rasmussen, Louise T Thomsen, Else M Madsen, Maria B Franzmann, Alexander K Kjær, Lise G Larsen, Nadia V Salinas, Doris Schledermann, Birgitte H Winberg, Pernille T Jensen, Dorthe Ørnskov, Marianne Waldstrøm, Louise Baandrup","doi":"10.1002/ijc.35501","DOIUrl":null,"url":null,"abstract":"<p><p>The study aimed to investigate whether vulvar squamous cell carcinoma (VSCC) survival varies by human papillomavirus (HPV) status measured by p16 expression and to determine whether high-risk HPV (hrHPV) DNA detection adds further prognostic information. Our cohort included 1277 women with histologically verified VSCC (1990-2017) categorized according to p16 and hrHPV DNA. Crude survival was estimated using Kaplan-Meier, and differences in restricted mean survival time were estimated in linear regression models. Analyses were stratified by p16 and p16/hrHPV status and stage, and adjustment included age, calendar year, and comorbidity. Overall analysis showed that 5-year survival was 67% (95% CI: 63-71%) and 45% (95% CI: 42-48%) in p16-positive and p16-negative VSCC, respectively. Overall, detection of hrHPV was associated with a 23% (95% CI: 6-40%) improvement in 5-year survival in p16-positive VSCC, whereas hrHPV status did not impact 5-year survival in p16-negative VSCC. In adjusted analysis, the survival difference by p16 status increased with increasing stage with a 26% (95% CI: 4-46%) higher 5-year survival in FIGO IV disease if the tumor was p16-positive compared to p16-negative, corresponding to a restricted mean survival time difference of 18 months in favor of p16 positivity. The largest VSCC cohort to date confirms the beneficial prognostic impact of p16 expression regardless of age and comorbidity and with the greatest impact in women with advanced disease. Classification according to p16 was adequate for p16-negative VSCC, whereas the survival of p16-positive VSCC was higher if hrHPV testing was also positive.</p>","PeriodicalId":180,"journal":{"name":"International Journal of Cancer","volume":" ","pages":"1354-1362"},"PeriodicalIF":4.7000,"publicationDate":"2025-10-01","publicationTypes":"Journal Article","fieldsOfStudy":null,"isOpenAccess":false,"openAccessPdf":"https://www.ncbi.nlm.nih.gov/pmc/articles/PMC12334900/pdf/","citationCount":"0","resultStr":"{\"title\":\"Prognostic impact of p16 and high-risk HPV DNA in ~1300 patients with vulvar cancer.\",\"authors\":\"Susanne K Kjær, Kirsten Frederiksen, Christina L Rasmussen, Louise T Thomsen, Else M Madsen, Maria B Franzmann, Alexander K Kjær, Lise G Larsen, Nadia V Salinas, Doris Schledermann, Birgitte H Winberg, Pernille T Jensen, Dorthe Ørnskov, Marianne Waldstrøm, Louise Baandrup\",\"doi\":\"10.1002/ijc.35501\",\"DOIUrl\":null,\"url\":null,\"abstract\":\"<p><p>The study aimed to investigate whether vulvar squamous cell carcinoma (VSCC) survival varies by human papillomavirus (HPV) status measured by p16 expression and to determine whether high-risk HPV (hrHPV) DNA detection adds further prognostic information. Our cohort included 1277 women with histologically verified VSCC (1990-2017) categorized according to p16 and hrHPV DNA. Crude survival was estimated using Kaplan-Meier, and differences in restricted mean survival time were estimated in linear regression models. Analyses were stratified by p16 and p16/hrHPV status and stage, and adjustment included age, calendar year, and comorbidity. Overall analysis showed that 5-year survival was 67% (95% CI: 63-71%) and 45% (95% CI: 42-48%) in p16-positive and p16-negative VSCC, respectively. Overall, detection of hrHPV was associated with a 23% (95% CI: 6-40%) improvement in 5-year survival in p16-positive VSCC, whereas hrHPV status did not impact 5-year survival in p16-negative VSCC. In adjusted analysis, the survival difference by p16 status increased with increasing stage with a 26% (95% CI: 4-46%) higher 5-year survival in FIGO IV disease if the tumor was p16-positive compared to p16-negative, corresponding to a restricted mean survival time difference of 18 months in favor of p16 positivity. The largest VSCC cohort to date confirms the beneficial prognostic impact of p16 expression regardless of age and comorbidity and with the greatest impact in women with advanced disease. Classification according to p16 was adequate for p16-negative VSCC, whereas the survival of p16-positive VSCC was higher if hrHPV testing was also positive.</p>\",\"PeriodicalId\":180,\"journal\":{\"name\":\"International Journal of Cancer\",\"volume\":\" \",\"pages\":\"1354-1362\"},\"PeriodicalIF\":4.7000,\"publicationDate\":\"2025-10-01\",\"publicationTypes\":\"Journal Article\",\"fieldsOfStudy\":null,\"isOpenAccess\":false,\"openAccessPdf\":\"https://www.ncbi.nlm.nih.gov/pmc/articles/PMC12334900/pdf/\",\"citationCount\":\"0\",\"resultStr\":null,\"platform\":\"Semanticscholar\",\"paperid\":null,\"PeriodicalName\":\"International Journal of Cancer\",\"FirstCategoryId\":\"3\",\"ListUrlMain\":\"https://doi.org/10.1002/ijc.35501\",\"RegionNum\":2,\"RegionCategory\":\"医学\",\"ArticlePicture\":[],\"TitleCN\":null,\"AbstractTextCN\":null,\"PMCID\":null,\"EPubDate\":\"2025/5/30 0:00:00\",\"PubModel\":\"Epub\",\"JCR\":\"Q1\",\"JCRName\":\"ONCOLOGY\",\"Score\":null,\"Total\":0}","platform":"Semanticscholar","paperid":null,"PeriodicalName":"International Journal of Cancer","FirstCategoryId":"3","ListUrlMain":"https://doi.org/10.1002/ijc.35501","RegionNum":2,"RegionCategory":"医学","ArticlePicture":[],"TitleCN":null,"AbstractTextCN":null,"PMCID":null,"EPubDate":"2025/5/30 0:00:00","PubModel":"Epub","JCR":"Q1","JCRName":"ONCOLOGY","Score":null,"Total":0}
引用次数: 0

摘要

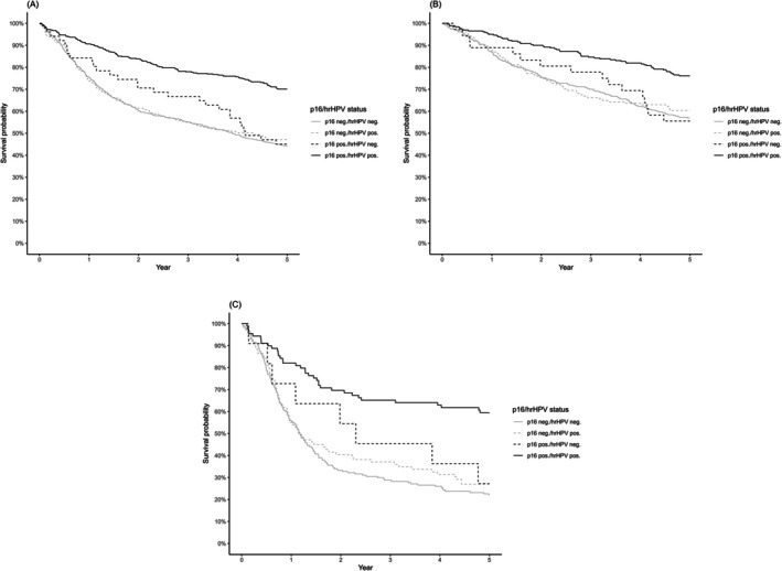
该研究旨在探讨外阴鳞状细胞癌(VSCC)的生存是否因p16表达测量的人乳头瘤病毒(HPV)状态而变化,并确定高危HPV (hrHPV) DNA检测是否增加了进一步的预后信息。我们的队列包括1277名组织学证实的VSCC女性(1990-2017),根据p16和hrHPV DNA分类。使用Kaplan-Meier估计粗生存期,使用线性回归模型估计限制平均生存期的差异。分析按p16和p16/hrHPV状态和分期分层,调整包括年龄、日历年和合并症。总体分析显示p16阳性和p16阴性VSCC的5年生存率分别为67% (95% CI: 63-71%)和45% (95% CI: 42-48%)。总体而言,hrHPV检测与p16阳性VSCC的5年生存率提高23% (95% CI: 6-40%)相关,而hrHPV状态对p16阴性VSCC的5年生存率没有影响。在调整分析中,p16状态的生存差异随着分期的增加而增加,FIGO IV疾病中p16阳性的5年生存率比p16阴性的高26% (95% CI: 4-46%),对应于p16阳性的限制平均生存时间差异为18个月。迄今为止最大的VSCC队列证实了p16表达对预后的有益影响,与年龄和合并症无关,并且对晚期疾病女性的影响最大。对于p16阴性的VSCC,根据p16进行分类是足够的,而如果hrHPV检测也呈阳性,则p16阳性的VSCC的生存率更高。
本文章由计算机程序翻译,如有差异,请以英文原文为准。

Prognostic impact of p16 and high-risk HPV DNA in ~1300 patients with vulvar cancer.

Prognostic impact of p16 and high-risk HPV DNA in ~1300 patients with vulvar cancer.

Prognostic impact of p16 and high-risk HPV DNA in ~1300 patients with vulvar cancer.

Prognostic impact of p16 and high-risk HPV DNA in ~1300 patients with vulvar cancer.

The study aimed to investigate whether vulvar squamous cell carcinoma (VSCC) survival varies by human papillomavirus (HPV) status measured by p16 expression and to determine whether high-risk HPV (hrHPV) DNA detection adds further prognostic information. Our cohort included 1277 women with histologically verified VSCC (1990-2017) categorized according to p16 and hrHPV DNA. Crude survival was estimated using Kaplan-Meier, and differences in restricted mean survival time were estimated in linear regression models. Analyses were stratified by p16 and p16/hrHPV status and stage, and adjustment included age, calendar year, and comorbidity. Overall analysis showed that 5-year survival was 67% (95% CI: 63-71%) and 45% (95% CI: 42-48%) in p16-positive and p16-negative VSCC, respectively. Overall, detection of hrHPV was associated with a 23% (95% CI: 6-40%) improvement in 5-year survival in p16-positive VSCC, whereas hrHPV status did not impact 5-year survival in p16-negative VSCC. In adjusted analysis, the survival difference by p16 status increased with increasing stage with a 26% (95% CI: 4-46%) higher 5-year survival in FIGO IV disease if the tumor was p16-positive compared to p16-negative, corresponding to a restricted mean survival time difference of 18 months in favor of p16 positivity. The largest VSCC cohort to date confirms the beneficial prognostic impact of p16 expression regardless of age and comorbidity and with the greatest impact in women with advanced disease. Classification according to p16 was adequate for p16-negative VSCC, whereas the survival of p16-positive VSCC was higher if hrHPV testing was also positive.

求助全文
通过发布文献求助,成功后即可免费获取论文全文。 去求助
来源期刊
CiteScore
13.40
自引率
3.10%
发文量
460
审稿时长
2 months
期刊介绍: The International Journal of Cancer (IJC) is the official journal of the Union for International Cancer Control—UICC; it appears twice a month. IJC invites submission of manuscripts under a broad scope of topics relevant to experimental and clinical cancer research and publishes original Research Articles and Short Reports under the following categories: -Cancer Epidemiology- Cancer Genetics and Epigenetics- Infectious Causes of Cancer- Innovative Tools and Methods- Molecular Cancer Biology- Tumor Immunology and Microenvironment- Tumor Markers and Signatures- Cancer Therapy and Prevention
×
引用
GB/T 7714-2015
复制
MLA
复制
APA
复制
导出至
BibTeX EndNote RefMan NoteFirst NoteExpress
×
提示
您的信息不完整,为了账户安全,请先补充。
现在去补充
×
提示
您因"违规操作"
具体请查看互助需知
我知道了
×
提示
确定
请完成安全验证×
copy
已复制链接
快去分享给好友吧!
我知道了
右上角分享
点击右上角分享
0
联系我们:info@booksci.cn Book学术提供免费学术资源搜索服务,方便国内外学者检索中英文文献。致力于提供最便捷和优质的服务体验。 Copyright © 2023 布克学术 All rights reserved.
京ICP备2023020795号-1
ghs 京公网安备 11010802042870号
Book学术文献互助
Book学术文献互助群
群 号:604180095
Book学术官方微信