海藻糖- 6-磷酸的合成、降解及其生物学功能。

IF 5.8
Yangzhi Liu, Boqiang Li, Tong Chen, Shiping Tian, Zhanquan Zhang
{"title":"海藻糖- 6-磷酸的合成、降解及其生物学功能。","authors":"Yangzhi Liu, Boqiang Li, Tong Chen, Shiping Tian, Zhanquan Zhang","doi":"10.1007/s44154-025-00235-8","DOIUrl":null,"url":null,"abstract":"<p><p>Trehalose-6-phosphate (T6P), an intermediate in trehalose metabolic pathways, is ubiquitously present in nearly all cellular organisms except vertebrates. The most well-characterized metabolic route involves its synthesis by trehalose-6-phosphate synthase (TPS) and dephosphorylation to trehalose by trehalose-6-phosphate phosphatase (TPP) in the TPS/TPP pathway. Besides, alternative trehalose metabolic pathways aslo exist. In addition to being the precursor of trehalose synthesis, T6P functions as a signal molecule regulating various biological processes. In plants, T6P inhibits SnRK1 (Sucrose-nonfermenting 1 Related Kinase 1), while in fungi, T6P primarily inhibits hexokinase and regulates glycolysis. Notably, TPS and TPP themselves also have some regulatory functions. Genetic studies reveal that deletion of TPS or TPP usually causes developmental and virulence defects in fungi, bacteria and invertebrates. Given that TPS and TPP have important biological functions in pathogenic fungi but are absent in humans and vertebrates, they are ideal targets for fungicide development. This review summarizes trehalose metabolic pathways and the multifaceted roles of T6P in plants, fungi and invertebrates, providing a comprehensive overview of its biological functions. Additionally, it discusses some reported TPS/TPP inhibitor to offer insights for pathogen control strategies.</p>","PeriodicalId":74874,"journal":{"name":"Stress biology","volume":"5 1","pages":"38"},"PeriodicalIF":5.8000,"publicationDate":"2025-05-30","publicationTypes":"Journal Article","fieldsOfStudy":null,"isOpenAccess":false,"openAccessPdf":"https://www.ncbi.nlm.nih.gov/pmc/articles/PMC12125463/pdf/","citationCount":"0","resultStr":"{\"title\":\"The synthesis, degradation and biological function of trehalose- 6-phosphate.\",\"authors\":\"Yangzhi Liu, Boqiang Li, Tong Chen, Shiping Tian, Zhanquan Zhang\",\"doi\":\"10.1007/s44154-025-00235-8\",\"DOIUrl\":null,\"url\":null,\"abstract\":\"<p><p>Trehalose-6-phosphate (T6P), an intermediate in trehalose metabolic pathways, is ubiquitously present in nearly all cellular organisms except vertebrates. The most well-characterized metabolic route involves its synthesis by trehalose-6-phosphate synthase (TPS) and dephosphorylation to trehalose by trehalose-6-phosphate phosphatase (TPP) in the TPS/TPP pathway. Besides, alternative trehalose metabolic pathways aslo exist. In addition to being the precursor of trehalose synthesis, T6P functions as a signal molecule regulating various biological processes. In plants, T6P inhibits SnRK1 (Sucrose-nonfermenting 1 Related Kinase 1), while in fungi, T6P primarily inhibits hexokinase and regulates glycolysis. Notably, TPS and TPP themselves also have some regulatory functions. Genetic studies reveal that deletion of TPS or TPP usually causes developmental and virulence defects in fungi, bacteria and invertebrates. Given that TPS and TPP have important biological functions in pathogenic fungi but are absent in humans and vertebrates, they are ideal targets for fungicide development. This review summarizes trehalose metabolic pathways and the multifaceted roles of T6P in plants, fungi and invertebrates, providing a comprehensive overview of its biological functions. Additionally, it discusses some reported TPS/TPP inhibitor to offer insights for pathogen control strategies.</p>\",\"PeriodicalId\":74874,\"journal\":{\"name\":\"Stress biology\",\"volume\":\"5 1\",\"pages\":\"38\"},\"PeriodicalIF\":5.8000,\"publicationDate\":\"2025-05-30\",\"publicationTypes\":\"Journal Article\",\"fieldsOfStudy\":null,\"isOpenAccess\":false,\"openAccessPdf\":\"https://www.ncbi.nlm.nih.gov/pmc/articles/PMC12125463/pdf/\",\"citationCount\":\"0\",\"resultStr\":null,\"platform\":\"Semanticscholar\",\"paperid\":null,\"PeriodicalName\":\"Stress biology\",\"FirstCategoryId\":\"1085\",\"ListUrlMain\":\"https://doi.org/10.1007/s44154-025-00235-8\",\"RegionNum\":0,\"RegionCategory\":null,\"ArticlePicture\":[],\"TitleCN\":null,\"AbstractTextCN\":null,\"PMCID\":null,\"EPubDate\":\"\",\"PubModel\":\"\",\"JCR\":\"\",\"JCRName\":\"\",\"Score\":null,\"Total\":0}","platform":"Semanticscholar","paperid":null,"PeriodicalName":"Stress biology","FirstCategoryId":"1085","ListUrlMain":"https://doi.org/10.1007/s44154-025-00235-8","RegionNum":0,"RegionCategory":null,"ArticlePicture":[],"TitleCN":null,"AbstractTextCN":null,"PMCID":null,"EPubDate":"","PubModel":"","JCR":"","JCRName":"","Score":null,"Total":0}
引用次数: 0

摘要

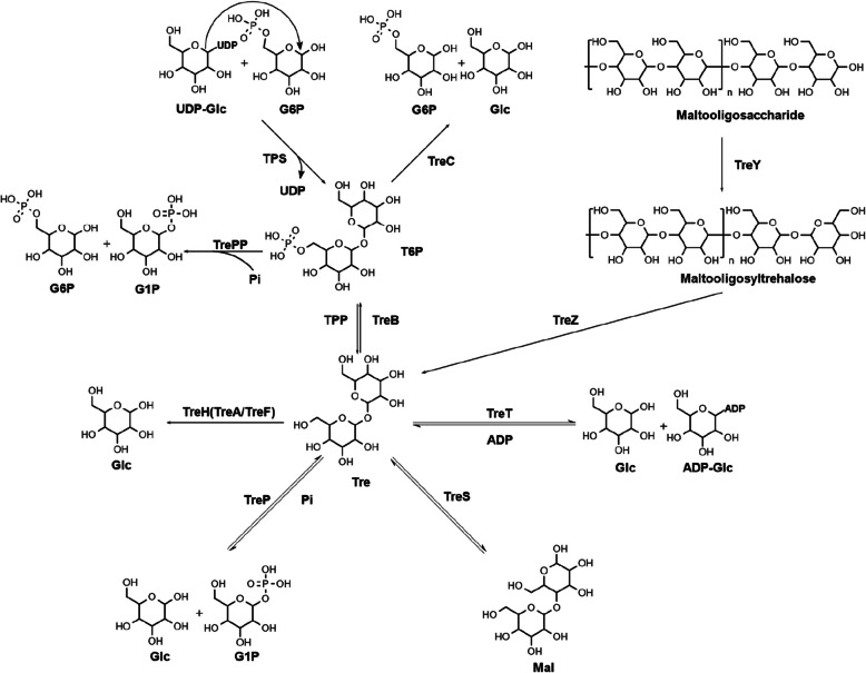
海藻糖-6-磷酸(T6P)是海藻糖代谢途径的中间体,普遍存在于除脊椎动物外的几乎所有细胞生物中。最具代表性的代谢途径是在TPS/TPP途径中由海藻糖-6-磷酸合成酶(TPS)合成海藻糖,然后由海藻糖-6-磷酸磷酸酶(TPP)去磷酸化为海藻糖。此外,海藻糖也存在其他代谢途径。除了作为海藻糖合成的前体外,T6P还作为调节各种生物过程的信号分子。在植物中,T6P抑制SnRK1(蔗糖非发酵1相关激酶1),而在真菌中,T6P主要抑制己糖激酶并调节糖酵解。值得注意的是,TPS和TPP本身也具有一定的监管功能。遗传学研究表明,TPS或TPP的缺失通常会导致真菌、细菌和无脊椎动物的发育和毒力缺陷。鉴于TPS和TPP在病原真菌中具有重要的生物学功能,但在人类和脊椎动物中缺乏,因此它们是杀菌剂开发的理想靶点。本文综述了海藻糖的代谢途径以及T6P在植物、真菌和无脊椎动物中的多方面作用,对其生物学功能进行了全面的综述。此外,本文还讨论了一些已报道的TPS/TPP抑制剂,以提供病原体控制策略的见解。
本文章由计算机程序翻译,如有差异,请以英文原文为准。

The synthesis, degradation and biological function of trehalose- 6-phosphate.

The synthesis, degradation and biological function of trehalose- 6-phosphate.

The synthesis, degradation and biological function of trehalose- 6-phosphate.

The synthesis, degradation and biological function of trehalose- 6-phosphate.

Trehalose-6-phosphate (T6P), an intermediate in trehalose metabolic pathways, is ubiquitously present in nearly all cellular organisms except vertebrates. The most well-characterized metabolic route involves its synthesis by trehalose-6-phosphate synthase (TPS) and dephosphorylation to trehalose by trehalose-6-phosphate phosphatase (TPP) in the TPS/TPP pathway. Besides, alternative trehalose metabolic pathways aslo exist. In addition to being the precursor of trehalose synthesis, T6P functions as a signal molecule regulating various biological processes. In plants, T6P inhibits SnRK1 (Sucrose-nonfermenting 1 Related Kinase 1), while in fungi, T6P primarily inhibits hexokinase and regulates glycolysis. Notably, TPS and TPP themselves also have some regulatory functions. Genetic studies reveal that deletion of TPS or TPP usually causes developmental and virulence defects in fungi, bacteria and invertebrates. Given that TPS and TPP have important biological functions in pathogenic fungi but are absent in humans and vertebrates, they are ideal targets for fungicide development. This review summarizes trehalose metabolic pathways and the multifaceted roles of T6P in plants, fungi and invertebrates, providing a comprehensive overview of its biological functions. Additionally, it discusses some reported TPS/TPP inhibitor to offer insights for pathogen control strategies.

求助全文
通过发布文献求助,成功后即可免费获取论文全文。 去求助
来源期刊
CiteScore
3.10
自引率
0.00%
发文量
0
×
引用
GB/T 7714-2015
复制
MLA
复制
APA
复制
导出至
BibTeX EndNote RefMan NoteFirst NoteExpress
×
提示
您的信息不完整,为了账户安全,请先补充。
现在去补充
×
提示
您因"违规操作"
具体请查看互助需知
我知道了
×
提示
确定
请完成安全验证×
copy
已复制链接
快去分享给好友吧!
我知道了
右上角分享
点击右上角分享
0
联系我们:info@booksci.cn Book学术提供免费学术资源搜索服务,方便国内外学者检索中英文文献。致力于提供最便捷和优质的服务体验。 Copyright © 2023 布克学术 All rights reserved.
京ICP备2023020795号-1
ghs 京公网安备 11010802042870号
Book学术文献互助
Book学术文献互助群
群 号:604180095
Book学术官方微信