谷氨酸棒状杆菌合成芳香族化合物的工程研究。

IF 4.3 3区 生物学 Q2 BIOTECHNOLOGY & APPLIED MICROBIOLOGY
Jan Marienhagen
{"title":"谷氨酸棒状杆菌合成芳香族化合物的工程研究。","authors":"Jan Marienhagen","doi":"10.1007/s00253-025-13520-3","DOIUrl":null,"url":null,"abstract":"<p><p>A significant proportion of industrially important small molecules are aromatic, and the majority of these compounds are produced chemically, relying heavily on fossil resources. In bacteria and plants, the shikimate pathway and related biosynthetic routes serve as the primary sources of aromatic compounds. Microbial cell factories, which are poised to play a central role in the emerging bio-based economy, provide a sustainable alternative for producing commercially valuable aromatics from renewable resources. Corynebacterium glutamicum, already established as an industrial workhorse for the large-scale production of various amino acids, can be engineered to overproduce aromatic compounds derived from the shikimate pathway. Furthermore, the functional integration of heterologous or synthetic pathways enables access to high-value natural products, such as plant polyphenols and other polyketides. This review highlights recent advancements in the metabolic engineering of C. glutamicum for the sustainable production of these aromatic compounds. KEY POINTS: • C. glutamicum's high tolerance to aromatic compounds is key to aromatics production. • Detailed physiological insights enable access to shikimate pathway-derived products. • Diverse plant (poly)phenols and other aromatic polyketides can be produced.</p>","PeriodicalId":8342,"journal":{"name":"Applied Microbiology and Biotechnology","volume":"109 1","pages":"132"},"PeriodicalIF":4.3000,"publicationDate":"2025-05-30","publicationTypes":"Journal Article","fieldsOfStudy":null,"isOpenAccess":false,"openAccessPdf":"https://www.ncbi.nlm.nih.gov/pmc/articles/PMC12125101/pdf/","citationCount":"0","resultStr":"{\"title\":\"Engineering of Corynebacterium glutamicum for the synthesis of aromatic compounds.\",\"authors\":\"Jan Marienhagen\",\"doi\":\"10.1007/s00253-025-13520-3\",\"DOIUrl\":null,\"url\":null,\"abstract\":\"<p><p>A significant proportion of industrially important small molecules are aromatic, and the majority of these compounds are produced chemically, relying heavily on fossil resources. In bacteria and plants, the shikimate pathway and related biosynthetic routes serve as the primary sources of aromatic compounds. Microbial cell factories, which are poised to play a central role in the emerging bio-based economy, provide a sustainable alternative for producing commercially valuable aromatics from renewable resources. Corynebacterium glutamicum, already established as an industrial workhorse for the large-scale production of various amino acids, can be engineered to overproduce aromatic compounds derived from the shikimate pathway. Furthermore, the functional integration of heterologous or synthetic pathways enables access to high-value natural products, such as plant polyphenols and other polyketides. This review highlights recent advancements in the metabolic engineering of C. glutamicum for the sustainable production of these aromatic compounds. KEY POINTS: • C. glutamicum's high tolerance to aromatic compounds is key to aromatics production. • Detailed physiological insights enable access to shikimate pathway-derived products. • Diverse plant (poly)phenols and other aromatic polyketides can be produced.</p>\",\"PeriodicalId\":8342,\"journal\":{\"name\":\"Applied Microbiology and Biotechnology\",\"volume\":\"109 1\",\"pages\":\"132\"},\"PeriodicalIF\":4.3000,\"publicationDate\":\"2025-05-30\",\"publicationTypes\":\"Journal Article\",\"fieldsOfStudy\":null,\"isOpenAccess\":false,\"openAccessPdf\":\"https://www.ncbi.nlm.nih.gov/pmc/articles/PMC12125101/pdf/\",\"citationCount\":\"0\",\"resultStr\":null,\"platform\":\"Semanticscholar\",\"paperid\":null,\"PeriodicalName\":\"Applied Microbiology and Biotechnology\",\"FirstCategoryId\":\"5\",\"ListUrlMain\":\"https://doi.org/10.1007/s00253-025-13520-3\",\"RegionNum\":3,\"RegionCategory\":\"生物学\",\"ArticlePicture\":[],\"TitleCN\":null,\"AbstractTextCN\":null,\"PMCID\":null,\"EPubDate\":\"\",\"PubModel\":\"\",\"JCR\":\"Q2\",\"JCRName\":\"BIOTECHNOLOGY & APPLIED MICROBIOLOGY\",\"Score\":null,\"Total\":0}","platform":"Semanticscholar","paperid":null,"PeriodicalName":"Applied Microbiology and Biotechnology","FirstCategoryId":"5","ListUrlMain":"https://doi.org/10.1007/s00253-025-13520-3","RegionNum":3,"RegionCategory":"生物学","ArticlePicture":[],"TitleCN":null,"AbstractTextCN":null,"PMCID":null,"EPubDate":"","PubModel":"","JCR":"Q2","JCRName":"BIOTECHNOLOGY & APPLIED MICROBIOLOGY","Score":null,"Total":0}
引用次数: 0

摘要

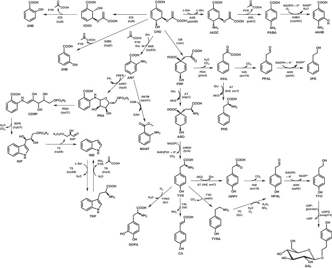
工业上重要的小分子中有很大一部分是芳香的,而这些化合物中的大多数都是化学生产的,严重依赖化石资源。在细菌和植物中,莽草酸途径和相关的生物合成途径是芳香族化合物的主要来源。微生物细胞工厂将在新兴的生物经济中发挥核心作用,为从可再生资源中生产具有商业价值的芳烃提供了可持续的选择。谷氨酸棒状杆菌已经成为大规模生产各种氨基酸的工业支柱,可以被改造成过量生产源自莽草酸途径的芳香族化合物。此外,异种或合成途径的功能整合可以获得高价值的天然产物,如植物多酚和其他聚酮。本文综述了谷氨酰胺代谢工程在可持续生产这些芳香族化合物方面的最新进展。•谷氨酰胺对芳香族化合物的高耐受性是产生芳香族化合物的关键。•详细的生理见解使获得莽草酸途径衍生的产品。•可生产多种植物(聚)酚和其他芳香聚酮。
本文章由计算机程序翻译,如有差异,请以英文原文为准。

Engineering of Corynebacterium glutamicum for the synthesis of aromatic compounds.

Engineering of Corynebacterium glutamicum for the synthesis of aromatic compounds.

Engineering of Corynebacterium glutamicum for the synthesis of aromatic compounds.

Engineering of Corynebacterium glutamicum for the synthesis of aromatic compounds.

A significant proportion of industrially important small molecules are aromatic, and the majority of these compounds are produced chemically, relying heavily on fossil resources. In bacteria and plants, the shikimate pathway and related biosynthetic routes serve as the primary sources of aromatic compounds. Microbial cell factories, which are poised to play a central role in the emerging bio-based economy, provide a sustainable alternative for producing commercially valuable aromatics from renewable resources. Corynebacterium glutamicum, already established as an industrial workhorse for the large-scale production of various amino acids, can be engineered to overproduce aromatic compounds derived from the shikimate pathway. Furthermore, the functional integration of heterologous or synthetic pathways enables access to high-value natural products, such as plant polyphenols and other polyketides. This review highlights recent advancements in the metabolic engineering of C. glutamicum for the sustainable production of these aromatic compounds. KEY POINTS: • C. glutamicum's high tolerance to aromatic compounds is key to aromatics production. • Detailed physiological insights enable access to shikimate pathway-derived products. • Diverse plant (poly)phenols and other aromatic polyketides can be produced.

求助全文
通过发布文献求助,成功后即可免费获取论文全文。 去求助
来源期刊
Applied Microbiology and Biotechnology
Applied Microbiology and Biotechnology 工程技术-生物工程与应用微生物
CiteScore
10.00
自引率
4.00%
发文量
535
审稿时长
2 months
期刊介绍: Applied Microbiology and Biotechnology focusses on prokaryotic or eukaryotic cells, relevant enzymes and proteins; applied genetics and molecular biotechnology; genomics and proteomics; applied microbial and cell physiology; environmental biotechnology; process and products and more. The journal welcomes full-length papers and mini-reviews of new and emerging products, processes and technologies.
×
引用
GB/T 7714-2015
复制
MLA
复制
APA
复制
导出至
BibTeX EndNote RefMan NoteFirst NoteExpress
×
提示
您的信息不完整,为了账户安全,请先补充。
现在去补充
×
提示
您因"违规操作"
具体请查看互助需知
我知道了
×
提示
确定
请完成安全验证×
copy
已复制链接
快去分享给好友吧!
我知道了
右上角分享
点击右上角分享
0
联系我们:info@booksci.cn Book学术提供免费学术资源搜索服务,方便国内外学者检索中英文文献。致力于提供最便捷和优质的服务体验。 Copyright © 2023 布克学术 All rights reserved.
京ICP备2023020795号-1
ghs 京公网安备 11010802042870号
Book学术文献互助
Book学术文献互助群
群 号:604180095
Book学术官方微信