种植技术对牙种植体抗骨折性的影响。系统回顾和荟萃分析。

IF 1.8 Q3 DENTISTRY, ORAL SURGERY & MEDICINE
Frontiers in dental medicine Pub Date : 2025-05-15 eCollection Date: 2025-01-01 DOI:10.3389/fdmed.2025.1568465
Giovanni Pissu, Javier Flores-Fraile, Álvaro Zubizarreta-Macho, José María Montiel-Company, Ana Belén Lobo-Galindo
{"title":"种植技术对牙种植体抗骨折性的影响。系统回顾和荟萃分析。","authors":"Giovanni Pissu, Javier Flores-Fraile, Álvaro Zubizarreta-Macho, José María Montiel-Company, Ana Belén Lobo-Galindo","doi":"10.3389/fdmed.2025.1568465","DOIUrl":null,"url":null,"abstract":"<p><p>The aim of this systematic review and meta-analysis was to analyze and compare the effect of diamond drill, tungsten carbide drill and ultrasound tips for implantoplasty procedures on the fracture resistance of dental implants affected by periimplant disease.</p><p><strong>Materials and methods: </strong>This systematic review of the scientific literature and meta-analysis was carried out based on the recommendations of the Preferred Reporting Items for Systematic Reviews and Meta-Analyses (PRISMA), analyzing all studies that evaluated the fracture resistance of dental implants submitted to implantoplasty through diamond drill, tungsten carbide drill and ultrasound tips for implantoplasty procedures, comparing with the fracture resistance values of non-treated dental implants. A total of 4 databases were searched in the literature: Pubmed, Scopus, Cochrane and Web of Science. After eliminating duplicate articles and applying certain inclusion criteria, a total of 9 articles were selected and compared using the random effects model and inverse variance method. The significance of the effect size was measured with the <i>z</i> test, the heterogeneity using the <i>Q</i> test and the <i>I</i> <sup>2</sup> and publication bias was analyzed using the trim-and-fill method.</p><p><strong>Results: </strong>The difference in means between the treatment and control groups was estimated as the effect size, obtaining a statistically significant difference of -232.01 MPa., with a 95% confidence interval of the difference between -417.3 and -44.71 (<i>z</i> test = -2.43; <i>p</i>-value = 0.015). The meta-analysis has presented high heterogeneity with an <i>I</i> <sup>2</sup> = 99.3% and a <i>Q</i> test = 2,195.7; <i>p</i>-value < 0.001. No significant differences were found between the three subgroups with the <i>Q</i> test = 0.20: <i>p</i>-value = 0.903.</p><p><strong>Conclusions: </strong>the tungsten carbide drills resulted in less fracture resistance loss than the diamond and tungsten carbide drills for the dental implants submitted to implantoplasty procedures. <b>Systematic Review Registration</b>: [http://www.prisma-statement.org], identifier [INPLASY202460018].</p>","PeriodicalId":73077,"journal":{"name":"Frontiers in dental medicine","volume":"6 ","pages":"1568465"},"PeriodicalIF":1.8000,"publicationDate":"2025-05-15","publicationTypes":"Journal Article","fieldsOfStudy":null,"isOpenAccess":false,"openAccessPdf":"https://www.ncbi.nlm.nih.gov/pmc/articles/PMC12119573/pdf/","citationCount":"0","resultStr":"{\"title\":\"Effect of the implantoplasty techniques on the fracture resistance of dental implants. Systematic review and meta-analysis.\",\"authors\":\"Giovanni Pissu, Javier Flores-Fraile, Álvaro Zubizarreta-Macho, José María Montiel-Company, Ana Belén Lobo-Galindo\",\"doi\":\"10.3389/fdmed.2025.1568465\",\"DOIUrl\":null,\"url\":null,\"abstract\":\"<p><p>The aim of this systematic review and meta-analysis was to analyze and compare the effect of diamond drill, tungsten carbide drill and ultrasound tips for implantoplasty procedures on the fracture resistance of dental implants affected by periimplant disease.</p><p><strong>Materials and methods: </strong>This systematic review of the scientific literature and meta-analysis was carried out based on the recommendations of the Preferred Reporting Items for Systematic Reviews and Meta-Analyses (PRISMA), analyzing all studies that evaluated the fracture resistance of dental implants submitted to implantoplasty through diamond drill, tungsten carbide drill and ultrasound tips for implantoplasty procedures, comparing with the fracture resistance values of non-treated dental implants. A total of 4 databases were searched in the literature: Pubmed, Scopus, Cochrane and Web of Science. After eliminating duplicate articles and applying certain inclusion criteria, a total of 9 articles were selected and compared using the random effects model and inverse variance method. The significance of the effect size was measured with the <i>z</i> test, the heterogeneity using the <i>Q</i> test and the <i>I</i> <sup>2</sup> and publication bias was analyzed using the trim-and-fill method.</p><p><strong>Results: </strong>The difference in means between the treatment and control groups was estimated as the effect size, obtaining a statistically significant difference of -232.01 MPa., with a 95% confidence interval of the difference between -417.3 and -44.71 (<i>z</i> test = -2.43; <i>p</i>-value = 0.015). The meta-analysis has presented high heterogeneity with an <i>I</i> <sup>2</sup> = 99.3% and a <i>Q</i> test = 2,195.7; <i>p</i>-value < 0.001. No significant differences were found between the three subgroups with the <i>Q</i> test = 0.20: <i>p</i>-value = 0.903.</p><p><strong>Conclusions: </strong>the tungsten carbide drills resulted in less fracture resistance loss than the diamond and tungsten carbide drills for the dental implants submitted to implantoplasty procedures. <b>Systematic Review Registration</b>: [http://www.prisma-statement.org], identifier [INPLASY202460018].</p>\",\"PeriodicalId\":73077,\"journal\":{\"name\":\"Frontiers in dental medicine\",\"volume\":\"6 \",\"pages\":\"1568465\"},\"PeriodicalIF\":1.8000,\"publicationDate\":\"2025-05-15\",\"publicationTypes\":\"Journal Article\",\"fieldsOfStudy\":null,\"isOpenAccess\":false,\"openAccessPdf\":\"https://www.ncbi.nlm.nih.gov/pmc/articles/PMC12119573/pdf/\",\"citationCount\":\"0\",\"resultStr\":null,\"platform\":\"Semanticscholar\",\"paperid\":null,\"PeriodicalName\":\"Frontiers in dental medicine\",\"FirstCategoryId\":\"1085\",\"ListUrlMain\":\"https://doi.org/10.3389/fdmed.2025.1568465\",\"RegionNum\":0,\"RegionCategory\":null,\"ArticlePicture\":[],\"TitleCN\":null,\"AbstractTextCN\":null,\"PMCID\":null,\"EPubDate\":\"2025/1/1 0:00:00\",\"PubModel\":\"eCollection\",\"JCR\":\"Q3\",\"JCRName\":\"DENTISTRY, ORAL SURGERY & MEDICINE\",\"Score\":null,\"Total\":0}","platform":"Semanticscholar","paperid":null,"PeriodicalName":"Frontiers in dental medicine","FirstCategoryId":"1085","ListUrlMain":"https://doi.org/10.3389/fdmed.2025.1568465","RegionNum":0,"RegionCategory":null,"ArticlePicture":[],"TitleCN":null,"AbstractTextCN":null,"PMCID":null,"EPubDate":"2025/1/1 0:00:00","PubModel":"eCollection","JCR":"Q3","JCRName":"DENTISTRY, ORAL SURGERY & MEDICINE","Score":null,"Total":0}
引用次数: 0

摘要

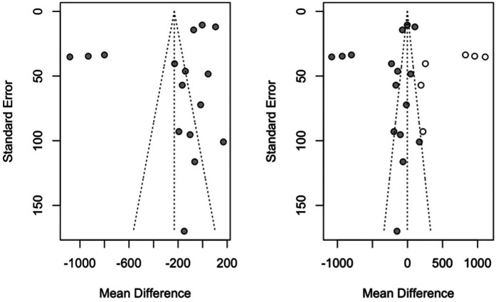
本系统综述和荟萃分析的目的是分析和比较金刚石钻头、碳化钨钻头和超声尖端在种植成形术中对种植体周围疾病影响的牙种植体抗骨折性的影响。材料和方法:本系统文献综述和荟萃分析是根据系统综述和荟萃分析首选报告项目(PRISMA)的建议进行的,分析了所有通过金刚石钻头、碳化钨钻头和超声尖端进行种植成形术的牙种植体的抗骨折性评估研究,并与未处理的牙种植体的抗骨折性值进行了比较。文献共检索了Pubmed、Scopus、Cochrane和Web of Science 4个数据库。在剔除重复文献并应用一定的纳入标准后,共选取9篇文献,采用随机效应模型和逆方差法进行比较。效应量的显著性采用z检验,异质性采用Q检验,发表偏倚采用补齐法分析。结果:以治疗组与对照组均数之差为效应量,差异有统计学意义,为-232.01 MPa。, 95%置信区间为-417.3和-44.71 (z检验= -2.43;p值= 0.015)。meta分析显示异质性较高,I 2 = 99.3%, Q检验= 2195.7;p值Q检验= 0.20:p值= 0.903。结论:在种植体成形术中,碳化钨钻头比金刚石和碳化钨钻头造成的抗骨折损失更小。系统评价注册:[http://www.prisma-statement.org]],标识符[INPLASY202460018]。
本文章由计算机程序翻译,如有差异,请以英文原文为准。

Effect of the implantoplasty techniques on the fracture resistance of dental implants. Systematic review and meta-analysis.

Effect of the implantoplasty techniques on the fracture resistance of dental implants. Systematic review and meta-analysis.

Effect of the implantoplasty techniques on the fracture resistance of dental implants. Systematic review and meta-analysis.

Effect of the implantoplasty techniques on the fracture resistance of dental implants. Systematic review and meta-analysis.

The aim of this systematic review and meta-analysis was to analyze and compare the effect of diamond drill, tungsten carbide drill and ultrasound tips for implantoplasty procedures on the fracture resistance of dental implants affected by periimplant disease.

Materials and methods: This systematic review of the scientific literature and meta-analysis was carried out based on the recommendations of the Preferred Reporting Items for Systematic Reviews and Meta-Analyses (PRISMA), analyzing all studies that evaluated the fracture resistance of dental implants submitted to implantoplasty through diamond drill, tungsten carbide drill and ultrasound tips for implantoplasty procedures, comparing with the fracture resistance values of non-treated dental implants. A total of 4 databases were searched in the literature: Pubmed, Scopus, Cochrane and Web of Science. After eliminating duplicate articles and applying certain inclusion criteria, a total of 9 articles were selected and compared using the random effects model and inverse variance method. The significance of the effect size was measured with the z test, the heterogeneity using the Q test and the I 2 and publication bias was analyzed using the trim-and-fill method.

Results: The difference in means between the treatment and control groups was estimated as the effect size, obtaining a statistically significant difference of -232.01 MPa., with a 95% confidence interval of the difference between -417.3 and -44.71 (z test = -2.43; p-value = 0.015). The meta-analysis has presented high heterogeneity with an I 2 = 99.3% and a Q test = 2,195.7; p-value < 0.001. No significant differences were found between the three subgroups with the Q test = 0.20: p-value = 0.903.

Conclusions: the tungsten carbide drills resulted in less fracture resistance loss than the diamond and tungsten carbide drills for the dental implants submitted to implantoplasty procedures. Systematic Review Registration: [http://www.prisma-statement.org], identifier [INPLASY202460018].

求助全文
通过发布文献求助,成功后即可免费获取论文全文。 去求助
来源期刊
CiteScore
2.10
自引率
0.00%
发文量
0
审稿时长
13 weeks
×
引用
GB/T 7714-2015
复制
MLA
复制
APA
复制
导出至
BibTeX EndNote RefMan NoteFirst NoteExpress
×
提示
您的信息不完整,为了账户安全,请先补充。
现在去补充
×
提示
您因"违规操作"
具体请查看互助需知
我知道了
×
提示
确定
请完成安全验证×
copy
已复制链接
快去分享给好友吧!
我知道了
右上角分享
点击右上角分享
0
联系我们:info@booksci.cn Book学术提供免费学术资源搜索服务,方便国内外学者检索中英文文献。致力于提供最便捷和优质的服务体验。 Copyright © 2023 布克学术 All rights reserved.
京ICP备2023020795号-1
ghs 京公网安备 11010802042870号
Book学术文献互助
Book学术文献互助群
群 号:604180095
Book学术官方微信