群体个性,而不是噪音,导致了孔雀鱼鱼群群体决策的变化。

IF 3.9 2区 综合性期刊 Q1 MULTIDISCIPLINARY SCIENCES
Molly A Clark, Ella Waples, Andrew N Radford, Stephen D Simpson, Christos C Ioannou
{"title":"群体个性,而不是噪音,导致了孔雀鱼鱼群群体决策的变化。","authors":"Molly A Clark, Ella Waples, Andrew N Radford, Stephen D Simpson, Christos C Ioannou","doi":"10.1038/s41598-025-03225-y","DOIUrl":null,"url":null,"abstract":"<p><p>Group living has essential fitness benefits for many species. While numerous studies have explored how environmental conditions impact collective movement, their impact on decisions made in a social context-a central component of group-living-is poorly documented. In this study, we assess how acoustic noise impacts group decision-making, cohesion and activity in fish shoals, using Trinidadian guppies (Poecilia reticulata) as a model species. Movements within a radially symmetric five-armed maze were measured using high-resolution trajectory data from video-tracking software. The behaviour of groups with and without continuous acoustic white noise were measured over a four-day testing period in a repeated-measures design. We found no significant change in swimming speed or group cohesion with additional acoustic noise. However, there was evidence for fewer following events (moves into already occupied arms) in the noise treatment compared to the control, but this additional noise had no effect on leadership attempts (moves into empty arms). We found strong evidence for consistent, repeatable differences between groups in all behavioural parameters indicating strong personality variation at the group level. Rather than environmental factors, these results provide evidence that consistent group-level differences dominate variation in collective behaviour, including group decision-making, in fish shoals.</p>","PeriodicalId":21811,"journal":{"name":"Scientific Reports","volume":"15 1","pages":"18801"},"PeriodicalIF":3.9000,"publicationDate":"2025-05-29","publicationTypes":"Journal Article","fieldsOfStudy":null,"isOpenAccess":false,"openAccessPdf":"https://www.ncbi.nlm.nih.gov/pmc/articles/PMC12122675/pdf/","citationCount":"0","resultStr":"{\"title\":\"Group personality, rather than acoustic noise, causes variation in group decision-making in guppy shoals.\",\"authors\":\"Molly A Clark, Ella Waples, Andrew N Radford, Stephen D Simpson, Christos C Ioannou\",\"doi\":\"10.1038/s41598-025-03225-y\",\"DOIUrl\":null,\"url\":null,\"abstract\":\"<p><p>Group living has essential fitness benefits for many species. While numerous studies have explored how environmental conditions impact collective movement, their impact on decisions made in a social context-a central component of group-living-is poorly documented. In this study, we assess how acoustic noise impacts group decision-making, cohesion and activity in fish shoals, using Trinidadian guppies (Poecilia reticulata) as a model species. Movements within a radially symmetric five-armed maze were measured using high-resolution trajectory data from video-tracking software. The behaviour of groups with and without continuous acoustic white noise were measured over a four-day testing period in a repeated-measures design. We found no significant change in swimming speed or group cohesion with additional acoustic noise. However, there was evidence for fewer following events (moves into already occupied arms) in the noise treatment compared to the control, but this additional noise had no effect on leadership attempts (moves into empty arms). We found strong evidence for consistent, repeatable differences between groups in all behavioural parameters indicating strong personality variation at the group level. Rather than environmental factors, these results provide evidence that consistent group-level differences dominate variation in collective behaviour, including group decision-making, in fish shoals.</p>\",\"PeriodicalId\":21811,\"journal\":{\"name\":\"Scientific Reports\",\"volume\":\"15 1\",\"pages\":\"18801\"},\"PeriodicalIF\":3.9000,\"publicationDate\":\"2025-05-29\",\"publicationTypes\":\"Journal Article\",\"fieldsOfStudy\":null,\"isOpenAccess\":false,\"openAccessPdf\":\"https://www.ncbi.nlm.nih.gov/pmc/articles/PMC12122675/pdf/\",\"citationCount\":\"0\",\"resultStr\":null,\"platform\":\"Semanticscholar\",\"paperid\":null,\"PeriodicalName\":\"Scientific Reports\",\"FirstCategoryId\":\"103\",\"ListUrlMain\":\"https://doi.org/10.1038/s41598-025-03225-y\",\"RegionNum\":2,\"RegionCategory\":\"综合性期刊\",\"ArticlePicture\":[],\"TitleCN\":null,\"AbstractTextCN\":null,\"PMCID\":null,\"EPubDate\":\"\",\"PubModel\":\"\",\"JCR\":\"Q1\",\"JCRName\":\"MULTIDISCIPLINARY SCIENCES\",\"Score\":null,\"Total\":0}","platform":"Semanticscholar","paperid":null,"PeriodicalName":"Scientific Reports","FirstCategoryId":"103","ListUrlMain":"https://doi.org/10.1038/s41598-025-03225-y","RegionNum":2,"RegionCategory":"综合性期刊","ArticlePicture":[],"TitleCN":null,"AbstractTextCN":null,"PMCID":null,"EPubDate":"","PubModel":"","JCR":"Q1","JCRName":"MULTIDISCIPLINARY SCIENCES","Score":null,"Total":0}
引用次数: 0

摘要

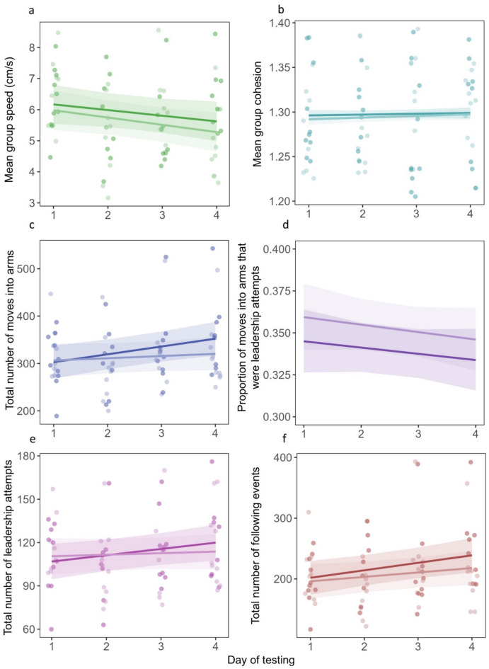
群居生活对许多物种都有重要的健康益处。虽然有许多研究探讨了环境条件如何影响集体运动,但它们对社会背景下做出的决定的影响——这是群体生活的核心组成部分——却鲜有文献记载。在本研究中,我们以特立尼达孔雀鱼(Poecilia reticulata)为模型物种,评估了噪声对鱼群决策、凝聚力和活动的影响。利用视频跟踪软件的高分辨率轨迹数据测量径向对称五臂迷宫内的运动。在重复测量设计中,在为期四天的测试期间测量了有和没有连续声白噪声的组的行为。我们发现,额外的噪音对游泳速度和群体凝聚力没有显著的影响。然而,有证据表明,与对照组相比,噪音处理的后续事件(进入已经占领的武器)较少,但这种额外的噪音对领导尝试(进入空武器)没有影响。我们发现强有力的证据表明,在所有行为参数中,群体之间存在一致的、可重复的差异,这表明群体层面上存在强烈的人格差异。这些结果提供的证据表明,在鱼群中,一致的群体水平差异主导着集体行为(包括群体决策)的变化,而不是环境因素。
本文章由计算机程序翻译,如有差异,请以英文原文为准。

Group personality, rather than acoustic noise, causes variation in group decision-making in guppy shoals.

Group personality, rather than acoustic noise, causes variation in group decision-making in guppy shoals.

Group personality, rather than acoustic noise, causes variation in group decision-making in guppy shoals.

Group personality, rather than acoustic noise, causes variation in group decision-making in guppy shoals.

Group living has essential fitness benefits for many species. While numerous studies have explored how environmental conditions impact collective movement, their impact on decisions made in a social context-a central component of group-living-is poorly documented. In this study, we assess how acoustic noise impacts group decision-making, cohesion and activity in fish shoals, using Trinidadian guppies (Poecilia reticulata) as a model species. Movements within a radially symmetric five-armed maze were measured using high-resolution trajectory data from video-tracking software. The behaviour of groups with and without continuous acoustic white noise were measured over a four-day testing period in a repeated-measures design. We found no significant change in swimming speed or group cohesion with additional acoustic noise. However, there was evidence for fewer following events (moves into already occupied arms) in the noise treatment compared to the control, but this additional noise had no effect on leadership attempts (moves into empty arms). We found strong evidence for consistent, repeatable differences between groups in all behavioural parameters indicating strong personality variation at the group level. Rather than environmental factors, these results provide evidence that consistent group-level differences dominate variation in collective behaviour, including group decision-making, in fish shoals.

求助全文
通过发布文献求助,成功后即可免费获取论文全文。 去求助
来源期刊
Scientific Reports
Scientific Reports Natural Science Disciplines-
CiteScore
7.50
自引率
4.30%
发文量
19567
审稿时长
3.9 months
期刊介绍: We publish original research from all areas of the natural sciences, psychology, medicine and engineering. You can learn more about what we publish by browsing our specific scientific subject areas below or explore Scientific Reports by browsing all articles and collections. Scientific Reports has a 2-year impact factor: 4.380 (2021), and is the 6th most-cited journal in the world, with more than 540,000 citations in 2020 (Clarivate Analytics, 2021). •Engineering Engineering covers all aspects of engineering, technology, and applied science. It plays a crucial role in the development of technologies to address some of the world''s biggest challenges, helping to save lives and improve the way we live. •Physical sciences Physical sciences are those academic disciplines that aim to uncover the underlying laws of nature — often written in the language of mathematics. It is a collective term for areas of study including astronomy, chemistry, materials science and physics. •Earth and environmental sciences Earth and environmental sciences cover all aspects of Earth and planetary science and broadly encompass solid Earth processes, surface and atmospheric dynamics, Earth system history, climate and climate change, marine and freshwater systems, and ecology. It also considers the interactions between humans and these systems. •Biological sciences Biological sciences encompass all the divisions of natural sciences examining various aspects of vital processes. The concept includes anatomy, physiology, cell biology, biochemistry and biophysics, and covers all organisms from microorganisms, animals to plants. •Health sciences The health sciences study health, disease and healthcare. This field of study aims to develop knowledge, interventions and technology for use in healthcare to improve the treatment of patients.
×
引用
GB/T 7714-2015
复制
MLA
复制
APA
复制
导出至
BibTeX EndNote RefMan NoteFirst NoteExpress
×
提示
您的信息不完整,为了账户安全,请先补充。
现在去补充
×
提示
您因"违规操作"
具体请查看互助需知
我知道了
×
提示
确定
请完成安全验证×
copy
已复制链接
快去分享给好友吧!
我知道了
右上角分享
点击右上角分享
0
联系我们:info@booksci.cn Book学术提供免费学术资源搜索服务,方便国内外学者检索中英文文献。致力于提供最便捷和优质的服务体验。 Copyright © 2023 布克学术 All rights reserved.
京ICP备2023020795号-1
ghs 京公网安备 11010802042870号
Book学术文献互助
Book学术文献互助群
群 号:604180095
Book学术官方微信