IBUS-SAS是预测溃疡性结肠炎内镜下疾病活动的高度准确的肠道超声评分。

IF 6.7 2区 医学 Q1 GASTROENTEROLOGY & HEPATOLOGY
United European Gastroenterology Journal Pub Date : 2025-09-01 Epub Date: 2025-05-29 DOI:10.1002/ueg2.70053
Sarah Fischer, David Fischmann, Judith Wilde, Marcel Vetter, Laurin Wolf, Carol Geppert, Raja Atreya, Maximilian Waldner, Deike Strobel, Markus F Neurath, Sophie Haberkamp, Sebastian Zundler
{"title":"IBUS-SAS是预测溃疡性结肠炎内镜下疾病活动的高度准确的肠道超声评分。","authors":"Sarah Fischer, David Fischmann, Judith Wilde, Marcel Vetter, Laurin Wolf, Carol Geppert, Raja Atreya, Maximilian Waldner, Deike Strobel, Markus F Neurath, Sophie Haberkamp, Sebastian Zundler","doi":"10.1002/ueg2.70053","DOIUrl":null,"url":null,"abstract":"<p><strong>Background: </strong>The international bowel ultrasound group-segmental activity score (IBUS-SAS) is a validated tool with high interobserver agreement for accurately detecting disease activity in Crohn's disease (CD). Here, we addressed whether the IBUS-SAS is also suitable to assess disease activity in ulcerative colitis (UC).</p><p><strong>Methods: </strong>The IBUS-SAS and Limberg scores were determined in the sigmoid colon of patients with UC. The results were correlated to established scores of clinical, endoscopic and histologic disease activity (partial [pMS] and endoscopic [eMS] Mayo-Score, ulcerative colitis endoscopic index of severity [UCEIS], histologic Nancy index) and/or biomarkers of inflammation (C-reactive protein [CRP], fecal calprotectin). Sensitivity, specificity, positive (PPV) and negative predictive values (NPV) for IBUS-SAS and the Limberg score to predict endoscopic and histologic disease activity were computed by receiver operating characteristics (ROC)-analysis.</p><p><strong>Results: </strong>Fifty-eight patients with UC were enrolled. The median IBUS-SAS was 34.8. It was significantly correlated with pMS, eMS, UCEIS, Nancy index, CRP and fecal calprotectin. On ROC-analysis, a cut-off of 15.9 was reached with 100% sensitivity and 80.0% specificity for the prediction of endoscopic activity, resulting in a PPV of 94.7% and an NPV of 100%. The Limberg score performed only slightly worse (100.0%, 60.0%, 89.9%, 100%, respectively). Comparable results were found regarding the Nancy index for sensitivity (93.9% vs. 93.9%), specificity (57.1% vs. 42.9%), PPV (91.4% vs. 88.9%) and NPV (65.7% vs. 59.0%).</p><p><strong>Conclusions: </strong>This study highlights the potential of IUS for the non-invasive quantification of disease activity in UC and suggests that the IBUS-SAS should be considered as a diagnostic tool in trials and real-world management of UC.</p>","PeriodicalId":23444,"journal":{"name":"United European Gastroenterology Journal","volume":" ","pages":"1253-1262"},"PeriodicalIF":6.7000,"publicationDate":"2025-09-01","publicationTypes":"Journal Article","fieldsOfStudy":null,"isOpenAccess":false,"openAccessPdf":"https://www.ncbi.nlm.nih.gov/pmc/articles/PMC12463684/pdf/","citationCount":"0","resultStr":"{\"title\":\"IBUS-SAS Is a Highly Accurate Intestinal Ultrasound Score for Predicting Endoscopic Disease Activity in Ulcerative Colitis.\",\"authors\":\"Sarah Fischer, David Fischmann, Judith Wilde, Marcel Vetter, Laurin Wolf, Carol Geppert, Raja Atreya, Maximilian Waldner, Deike Strobel, Markus F Neurath, Sophie Haberkamp, Sebastian Zundler\",\"doi\":\"10.1002/ueg2.70053\",\"DOIUrl\":null,\"url\":null,\"abstract\":\"<p><strong>Background: </strong>The international bowel ultrasound group-segmental activity score (IBUS-SAS) is a validated tool with high interobserver agreement for accurately detecting disease activity in Crohn's disease (CD). Here, we addressed whether the IBUS-SAS is also suitable to assess disease activity in ulcerative colitis (UC).</p><p><strong>Methods: </strong>The IBUS-SAS and Limberg scores were determined in the sigmoid colon of patients with UC. The results were correlated to established scores of clinical, endoscopic and histologic disease activity (partial [pMS] and endoscopic [eMS] Mayo-Score, ulcerative colitis endoscopic index of severity [UCEIS], histologic Nancy index) and/or biomarkers of inflammation (C-reactive protein [CRP], fecal calprotectin). Sensitivity, specificity, positive (PPV) and negative predictive values (NPV) for IBUS-SAS and the Limberg score to predict endoscopic and histologic disease activity were computed by receiver operating characteristics (ROC)-analysis.</p><p><strong>Results: </strong>Fifty-eight patients with UC were enrolled. The median IBUS-SAS was 34.8. It was significantly correlated with pMS, eMS, UCEIS, Nancy index, CRP and fecal calprotectin. On ROC-analysis, a cut-off of 15.9 was reached with 100% sensitivity and 80.0% specificity for the prediction of endoscopic activity, resulting in a PPV of 94.7% and an NPV of 100%. The Limberg score performed only slightly worse (100.0%, 60.0%, 89.9%, 100%, respectively). Comparable results were found regarding the Nancy index for sensitivity (93.9% vs. 93.9%), specificity (57.1% vs. 42.9%), PPV (91.4% vs. 88.9%) and NPV (65.7% vs. 59.0%).</p><p><strong>Conclusions: </strong>This study highlights the potential of IUS for the non-invasive quantification of disease activity in UC and suggests that the IBUS-SAS should be considered as a diagnostic tool in trials and real-world management of UC.</p>\",\"PeriodicalId\":23444,\"journal\":{\"name\":\"United European Gastroenterology Journal\",\"volume\":\" \",\"pages\":\"1253-1262\"},\"PeriodicalIF\":6.7000,\"publicationDate\":\"2025-09-01\",\"publicationTypes\":\"Journal Article\",\"fieldsOfStudy\":null,\"isOpenAccess\":false,\"openAccessPdf\":\"https://www.ncbi.nlm.nih.gov/pmc/articles/PMC12463684/pdf/\",\"citationCount\":\"0\",\"resultStr\":null,\"platform\":\"Semanticscholar\",\"paperid\":null,\"PeriodicalName\":\"United European Gastroenterology Journal\",\"FirstCategoryId\":\"3\",\"ListUrlMain\":\"https://doi.org/10.1002/ueg2.70053\",\"RegionNum\":2,\"RegionCategory\":\"医学\",\"ArticlePicture\":[],\"TitleCN\":null,\"AbstractTextCN\":null,\"PMCID\":null,\"EPubDate\":\"2025/5/29 0:00:00\",\"PubModel\":\"Epub\",\"JCR\":\"Q1\",\"JCRName\":\"GASTROENTEROLOGY & HEPATOLOGY\",\"Score\":null,\"Total\":0}","platform":"Semanticscholar","paperid":null,"PeriodicalName":"United European Gastroenterology Journal","FirstCategoryId":"3","ListUrlMain":"https://doi.org/10.1002/ueg2.70053","RegionNum":2,"RegionCategory":"医学","ArticlePicture":[],"TitleCN":null,"AbstractTextCN":null,"PMCID":null,"EPubDate":"2025/5/29 0:00:00","PubModel":"Epub","JCR":"Q1","JCRName":"GASTROENTEROLOGY & HEPATOLOGY","Score":null,"Total":0}
引用次数: 0

摘要

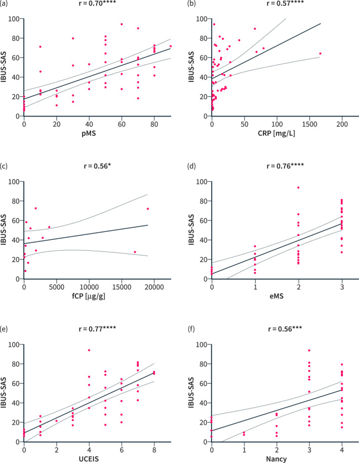
背景:国际肠超声组段活动评分(IBUS-SAS)是一种经过验证的工具,具有较高的观察者间一致性,可准确检测克罗恩病(CD)的疾病活动。在这里,我们讨论了IBUS-SAS是否也适用于评估溃疡性结肠炎(UC)的疾病活动性。方法:对UC患者乙状结肠进行IBUS-SAS和Limberg评分。结果与临床、内镜和组织学疾病活动性评分(部分[pMS]和内镜[eMS] Mayo-Score、溃疡性结肠炎内镜严重程度指数[UCEIS]、组织学Nancy指数)和/或炎症生物标志物(c反应蛋白[CRP]、粪便钙保护蛋白)相关。通过受试者工作特征(ROC)分析计算IBUS-SAS的敏感性、特异性、阳性预测值(PPV)和阴性预测值(NPV),以及预测内镜和组织学疾病活动性的Limberg评分。结果:58例UC患者入组。IBUS-SAS中位数为34.8。与pMS、eMS、UCEIS、Nancy指数、CRP、粪钙保护蛋白显著相关。roc分析的截止值为15.9,预测内镜下活动的灵敏度为100%,特异性为80.0%,PPV为94.7%,NPV为100%。林伯格评分仅略差(分别为100.0%,60.0%,89.9%,100%)。Nancy指数的敏感性(93.9% vs. 93.9%)、特异性(57.1% vs. 42.9%)、PPV (91.4% vs. 88.9%)和NPV (65.7% vs. 59.0%)具有可比性。结论:本研究强调了IUS在UC疾病活动的非侵入性量化方面的潜力,并建议IBUS-SAS应被视为UC临床试验和实际管理中的诊断工具。
本文章由计算机程序翻译,如有差异,请以英文原文为准。

IBUS-SAS Is a Highly Accurate Intestinal Ultrasound Score for Predicting Endoscopic Disease Activity in Ulcerative Colitis.

IBUS-SAS Is a Highly Accurate Intestinal Ultrasound Score for Predicting Endoscopic Disease Activity in Ulcerative Colitis.

IBUS-SAS Is a Highly Accurate Intestinal Ultrasound Score for Predicting Endoscopic Disease Activity in Ulcerative Colitis.

IBUS-SAS Is a Highly Accurate Intestinal Ultrasound Score for Predicting Endoscopic Disease Activity in Ulcerative Colitis.

Background: The international bowel ultrasound group-segmental activity score (IBUS-SAS) is a validated tool with high interobserver agreement for accurately detecting disease activity in Crohn's disease (CD). Here, we addressed whether the IBUS-SAS is also suitable to assess disease activity in ulcerative colitis (UC).

Methods: The IBUS-SAS and Limberg scores were determined in the sigmoid colon of patients with UC. The results were correlated to established scores of clinical, endoscopic and histologic disease activity (partial [pMS] and endoscopic [eMS] Mayo-Score, ulcerative colitis endoscopic index of severity [UCEIS], histologic Nancy index) and/or biomarkers of inflammation (C-reactive protein [CRP], fecal calprotectin). Sensitivity, specificity, positive (PPV) and negative predictive values (NPV) for IBUS-SAS and the Limberg score to predict endoscopic and histologic disease activity were computed by receiver operating characteristics (ROC)-analysis.

Results: Fifty-eight patients with UC were enrolled. The median IBUS-SAS was 34.8. It was significantly correlated with pMS, eMS, UCEIS, Nancy index, CRP and fecal calprotectin. On ROC-analysis, a cut-off of 15.9 was reached with 100% sensitivity and 80.0% specificity for the prediction of endoscopic activity, resulting in a PPV of 94.7% and an NPV of 100%. The Limberg score performed only slightly worse (100.0%, 60.0%, 89.9%, 100%, respectively). Comparable results were found regarding the Nancy index for sensitivity (93.9% vs. 93.9%), specificity (57.1% vs. 42.9%), PPV (91.4% vs. 88.9%) and NPV (65.7% vs. 59.0%).

Conclusions: This study highlights the potential of IUS for the non-invasive quantification of disease activity in UC and suggests that the IBUS-SAS should be considered as a diagnostic tool in trials and real-world management of UC.

求助全文
通过发布文献求助,成功后即可免费获取论文全文。 去求助
来源期刊
United European Gastroenterology Journal
United European Gastroenterology Journal GASTROENTEROLOGY & HEPATOLOGY-
CiteScore
10.50
自引率
13.30%
发文量
147
期刊介绍: United European Gastroenterology Journal (UEG Journal) is the official Journal of the United European Gastroenterology (UEG), a professional non-profit organisation combining all the leading European societies concerned with digestive disease. UEG’s member societies represent over 22,000 specialists working across medicine, surgery, paediatrics, GI oncology and endoscopy, which makes UEG a unique platform for collaboration and the exchange of knowledge.
×
引用
GB/T 7714-2015
复制
MLA
复制
APA
复制
导出至
BibTeX EndNote RefMan NoteFirst NoteExpress
×
提示
您的信息不完整,为了账户安全,请先补充。
现在去补充
×
提示
您因"违规操作"
具体请查看互助需知
我知道了
×
提示
确定
请完成安全验证×
copy
已复制链接
快去分享给好友吧!
我知道了
右上角分享
点击右上角分享
0
联系我们:info@booksci.cn Book学术提供免费学术资源搜索服务,方便国内外学者检索中英文文献。致力于提供最便捷和优质的服务体验。 Copyright © 2023 布克学术 All rights reserved.
京ICP备2023020795号-1
ghs 京公网安备 11010802042870号
Book学术文献互助
Book学术文献互助群
群 号:604180095
Book学术官方微信