以人群为基础的转移性结直肠癌队列的原发肿瘤位置、分子改变、治疗和结果。

Emerik Osterlund, Klara Hammarström, Luís Nunes, Lucy Mathot, Artur Mezheyeuski, Tobias Sjöblom, Bengt Glimelius
{"title":"以人群为基础的转移性结直肠癌队列的原发肿瘤位置、分子改变、治疗和结果。","authors":"Emerik Osterlund, Klara Hammarström, Luís Nunes, Lucy Mathot, Artur Mezheyeuski, Tobias Sjöblom, Bengt Glimelius","doi":"10.1038/s44276-025-00156-z","DOIUrl":null,"url":null,"abstract":"<p><strong>Background: </strong>Metastatic colorectal cancer (mCRC) patients in trials are selected. The aim was to study mCRC features population-based.</p><p><strong>Methods: </strong>All 765 mCRC patients in the Uppsala region, Sweden, 2010-2020 were identified and analysed for RAS (n = 356/708) and BRAF-V600E (n = 123/708) mutations (mt) and deficient mismatch repair (dMMR, n = 58/643).</p><p><strong>Results: </strong>Right colon primary tumours were associated with BRAF-V600Emt and dMMR and had worse median overall survival (mOS) than left colon or rectal mCRC. RAS&BRAF wildtype (wt) and proficient MMR were seen in 22%, 45%, and 31% of right colon, left colon, and rectum, respectively. Patients with right colon primaries received best supportive care only more often (34% vs 25% vs 24%) and metastasectomy less often (21% vs 31% vs 33%) than left colon and rectal primaries. In molecularly homogeneous subgroups (RAS&BRAFwt/RASmt/BRAF-V600Emt/dMMR) no difference in mOS were seen between right and left colon primaries, whereas rectal primaries had better mOS (26/15/8/9 vs 24/21/8/8 vs 32/23/6/NA months, respectively). This was also the case in homogenous treatment groups. Primary tumour location turned non-significant in multivariable OS analyses.</p><p><strong>Conclusions: </strong>The high variation of BRAF-V600Emt, RASmt, dMMR, and treatment allocation population-based per primary tumour location explain the poor outcome in right-sided cancers.</p>","PeriodicalId":519964,"journal":{"name":"BJC reports","volume":"3 1","pages":"38"},"PeriodicalIF":0.0000,"publicationDate":"2025-05-28","publicationTypes":"Journal Article","fieldsOfStudy":null,"isOpenAccess":false,"openAccessPdf":"https://www.ncbi.nlm.nih.gov/pmc/articles/PMC12120107/pdf/","citationCount":"0","resultStr":"{\"title\":\"Primary tumour location, molecular alterations, treatments, and outcome in a population-based metastatic colorectal cancer cohort.\",\"authors\":\"Emerik Osterlund, Klara Hammarström, Luís Nunes, Lucy Mathot, Artur Mezheyeuski, Tobias Sjöblom, Bengt Glimelius\",\"doi\":\"10.1038/s44276-025-00156-z\",\"DOIUrl\":null,\"url\":null,\"abstract\":\"<p><strong>Background: </strong>Metastatic colorectal cancer (mCRC) patients in trials are selected. The aim was to study mCRC features population-based.</p><p><strong>Methods: </strong>All 765 mCRC patients in the Uppsala region, Sweden, 2010-2020 were identified and analysed for RAS (n = 356/708) and BRAF-V600E (n = 123/708) mutations (mt) and deficient mismatch repair (dMMR, n = 58/643).</p><p><strong>Results: </strong>Right colon primary tumours were associated with BRAF-V600Emt and dMMR and had worse median overall survival (mOS) than left colon or rectal mCRC. RAS&BRAF wildtype (wt) and proficient MMR were seen in 22%, 45%, and 31% of right colon, left colon, and rectum, respectively. Patients with right colon primaries received best supportive care only more often (34% vs 25% vs 24%) and metastasectomy less often (21% vs 31% vs 33%) than left colon and rectal primaries. In molecularly homogeneous subgroups (RAS&BRAFwt/RASmt/BRAF-V600Emt/dMMR) no difference in mOS were seen between right and left colon primaries, whereas rectal primaries had better mOS (26/15/8/9 vs 24/21/8/8 vs 32/23/6/NA months, respectively). This was also the case in homogenous treatment groups. Primary tumour location turned non-significant in multivariable OS analyses.</p><p><strong>Conclusions: </strong>The high variation of BRAF-V600Emt, RASmt, dMMR, and treatment allocation population-based per primary tumour location explain the poor outcome in right-sided cancers.</p>\",\"PeriodicalId\":519964,\"journal\":{\"name\":\"BJC reports\",\"volume\":\"3 1\",\"pages\":\"38\"},\"PeriodicalIF\":0.0000,\"publicationDate\":\"2025-05-28\",\"publicationTypes\":\"Journal Article\",\"fieldsOfStudy\":null,\"isOpenAccess\":false,\"openAccessPdf\":\"https://www.ncbi.nlm.nih.gov/pmc/articles/PMC12120107/pdf/\",\"citationCount\":\"0\",\"resultStr\":null,\"platform\":\"Semanticscholar\",\"paperid\":null,\"PeriodicalName\":\"BJC reports\",\"FirstCategoryId\":\"1085\",\"ListUrlMain\":\"https://doi.org/10.1038/s44276-025-00156-z\",\"RegionNum\":0,\"RegionCategory\":null,\"ArticlePicture\":[],\"TitleCN\":null,\"AbstractTextCN\":null,\"PMCID\":null,\"EPubDate\":\"\",\"PubModel\":\"\",\"JCR\":\"\",\"JCRName\":\"\",\"Score\":null,\"Total\":0}","platform":"Semanticscholar","paperid":null,"PeriodicalName":"BJC reports","FirstCategoryId":"1085","ListUrlMain":"https://doi.org/10.1038/s44276-025-00156-z","RegionNum":0,"RegionCategory":null,"ArticlePicture":[],"TitleCN":null,"AbstractTextCN":null,"PMCID":null,"EPubDate":"","PubModel":"","JCR":"","JCRName":"","Score":null,"Total":0}
引用次数: 0

摘要

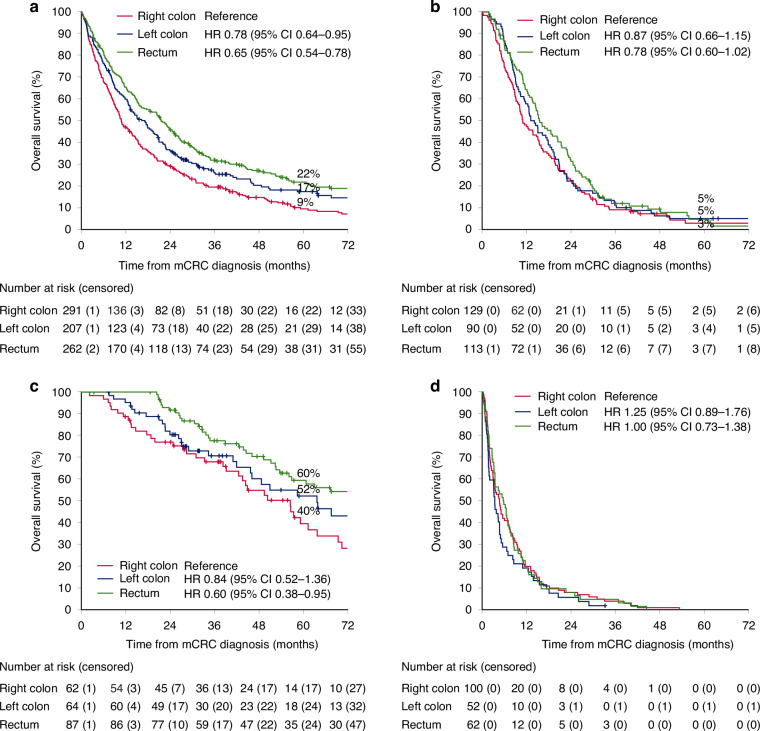
背景:试验中的转移性结直肠癌(mCRC)患者被选中。目的是研究基于人群的mCRC特征。方法:对2010-2020年瑞典乌普萨拉地区的765例mCRC患者进行RAS (n = 356/708)和BRAF-V600E (n = 123/708)突变(mt)和缺陷错配修复(dMMR, n = 58/643)的鉴定和分析。结果:右结肠原发肿瘤与BRAF-V600Emt和dMMR相关,中位总生存期(mOS)低于左结肠或直肠mCRC。RAS&BRAF野生型(wt)和熟练MMR分别出现在22%、45%和31%的右结肠、左结肠和直肠。与左结肠和直肠原发相比,右结肠原发患者接受最佳支持治疗的频率更高(34%对25%对24%),转移切除术的频率更低(21%对31%对33%)。在分子均质亚组(RAS&BRAFwt/RASmt/BRAF-V600Emt/dMMR)中,左、右结肠原发的mOS无差异,而直肠原发的mOS更好(分别为26/15/8/9、24/21/8/8、32/23/6/NA月)。在同质治疗组中也是如此。在多变量OS分析中,原发肿瘤的位置变得不重要。结论:BRAF-V600Emt、RASmt、dMMR的高变异以及基于人群的每个原发肿瘤位置的治疗分配解释了右侧癌症的不良预后。
本文章由计算机程序翻译,如有差异,请以英文原文为准。

Primary tumour location, molecular alterations, treatments, and outcome in a population-based metastatic colorectal cancer cohort.

Primary tumour location, molecular alterations, treatments, and outcome in a population-based metastatic colorectal cancer cohort.

Primary tumour location, molecular alterations, treatments, and outcome in a population-based metastatic colorectal cancer cohort.

Primary tumour location, molecular alterations, treatments, and outcome in a population-based metastatic colorectal cancer cohort.

Background: Metastatic colorectal cancer (mCRC) patients in trials are selected. The aim was to study mCRC features population-based.

Methods: All 765 mCRC patients in the Uppsala region, Sweden, 2010-2020 were identified and analysed for RAS (n = 356/708) and BRAF-V600E (n = 123/708) mutations (mt) and deficient mismatch repair (dMMR, n = 58/643).

Results: Right colon primary tumours were associated with BRAF-V600Emt and dMMR and had worse median overall survival (mOS) than left colon or rectal mCRC. RAS&BRAF wildtype (wt) and proficient MMR were seen in 22%, 45%, and 31% of right colon, left colon, and rectum, respectively. Patients with right colon primaries received best supportive care only more often (34% vs 25% vs 24%) and metastasectomy less often (21% vs 31% vs 33%) than left colon and rectal primaries. In molecularly homogeneous subgroups (RAS&BRAFwt/RASmt/BRAF-V600Emt/dMMR) no difference in mOS were seen between right and left colon primaries, whereas rectal primaries had better mOS (26/15/8/9 vs 24/21/8/8 vs 32/23/6/NA months, respectively). This was also the case in homogenous treatment groups. Primary tumour location turned non-significant in multivariable OS analyses.

Conclusions: The high variation of BRAF-V600Emt, RASmt, dMMR, and treatment allocation population-based per primary tumour location explain the poor outcome in right-sided cancers.

求助全文
通过发布文献求助,成功后即可免费获取论文全文。 去求助
来源期刊
自引率
0.00%
发文量
0
×
引用
GB/T 7714-2015
复制
MLA
复制
APA
复制
导出至
BibTeX EndNote RefMan NoteFirst NoteExpress
×
提示
您的信息不完整,为了账户安全,请先补充。
现在去补充
×
提示
您因"违规操作"
具体请查看互助需知
我知道了
×
提示
确定
请完成安全验证×
copy
已复制链接
快去分享给好友吧!
我知道了
右上角分享
点击右上角分享
0
联系我们:info@booksci.cn Book学术提供免费学术资源搜索服务,方便国内外学者检索中英文文献。致力于提供最便捷和优质的服务体验。 Copyright © 2023 布克学术 All rights reserved.
京ICP备2023020795号-1
ghs 京公网安备 11010802042870号
Book学术文献互助
Book学术文献互助群
群 号:604180095
Book学术官方微信