碰撞诱导解离下o -乙酰基取代羧酸阴离子的竞争破碎过程。

IF 0.8 4区 化学 Q4 PHYSICS, ATOMIC, MOLECULAR & CHEMICAL
European Journal of Mass Spectrometry Pub Date : 2025-06-01 Epub Date: 2025-05-29 DOI:10.1177/14690667251346668
J Stuart Grossert, Robert L White
{"title":"碰撞诱导解离下o -乙酰基取代羧酸阴离子的竞争破碎过程。","authors":"J Stuart Grossert, Robert L White","doi":"10.1177/14690667251346668","DOIUrl":null,"url":null,"abstract":"<p><p>Carboxylic acids containing an <i>O</i>-acetyl substituent were studied using tandem mass spectrometry (MS/MS). Decarboxylation was observed for deprotonated <i>O</i>-acetylmandelic acid, whereas deprotonated acetoxyacetic acid and acetylsalicylic acid fragmented by two competing pathways. In the lower energy process, the product ion was formed by intramolecular proton abstraction and subsequent neutral loss of ketene (CH<sub>2</sub>=C=O) from the <i>O</i>-acetyl group. At higher collision energies, nucleophilic displacement of the <i>O</i>-acetyl group by the carboxylate group of acetoxyacetate yielded acetate (CH<sub>3</sub>CO<sub>2</sub><sup>-</sup>) as the more abundant product ion. The relative energetics computed for the reaction pathways of acetoxyacetate were consistent with the product ion spectra. Overall, the observation of both the loss of ketene and the formation of acetate ion are characteristic of an <i>O</i>-acetyl group in the precursor carboxylate ion undergoing collision-induced dissociation. The different fragmentation behavior exhibited by <i>O</i>-acetyl mandelate was attributed to the charge stabilizing properties of the phenyl substituent that facilitated decarboxylation. Thus, the fragmentation processes observed depended on the structures of the <i>O</i>-acetyl-substituted carboxylate ions and the associated intramolecular interactions.</p>","PeriodicalId":12007,"journal":{"name":"European Journal of Mass Spectrometry","volume":" ","pages":"124-132"},"PeriodicalIF":0.8000,"publicationDate":"2025-06-01","publicationTypes":"Journal Article","fieldsOfStudy":null,"isOpenAccess":false,"openAccessPdf":"https://www.ncbi.nlm.nih.gov/pmc/articles/PMC12314208/pdf/","citationCount":"0","resultStr":"{\"title\":\"Competing fragmentation processes of <i>O</i>-acetyl-substituted carboxylate anions subjected to collision-induced dissociation.\",\"authors\":\"J Stuart Grossert, Robert L White\",\"doi\":\"10.1177/14690667251346668\",\"DOIUrl\":null,\"url\":null,\"abstract\":\"<p><p>Carboxylic acids containing an <i>O</i>-acetyl substituent were studied using tandem mass spectrometry (MS/MS). Decarboxylation was observed for deprotonated <i>O</i>-acetylmandelic acid, whereas deprotonated acetoxyacetic acid and acetylsalicylic acid fragmented by two competing pathways. In the lower energy process, the product ion was formed by intramolecular proton abstraction and subsequent neutral loss of ketene (CH<sub>2</sub>=C=O) from the <i>O</i>-acetyl group. At higher collision energies, nucleophilic displacement of the <i>O</i>-acetyl group by the carboxylate group of acetoxyacetate yielded acetate (CH<sub>3</sub>CO<sub>2</sub><sup>-</sup>) as the more abundant product ion. The relative energetics computed for the reaction pathways of acetoxyacetate were consistent with the product ion spectra. Overall, the observation of both the loss of ketene and the formation of acetate ion are characteristic of an <i>O</i>-acetyl group in the precursor carboxylate ion undergoing collision-induced dissociation. The different fragmentation behavior exhibited by <i>O</i>-acetyl mandelate was attributed to the charge stabilizing properties of the phenyl substituent that facilitated decarboxylation. Thus, the fragmentation processes observed depended on the structures of the <i>O</i>-acetyl-substituted carboxylate ions and the associated intramolecular interactions.</p>\",\"PeriodicalId\":12007,\"journal\":{\"name\":\"European Journal of Mass Spectrometry\",\"volume\":\" \",\"pages\":\"124-132\"},\"PeriodicalIF\":0.8000,\"publicationDate\":\"2025-06-01\",\"publicationTypes\":\"Journal Article\",\"fieldsOfStudy\":null,\"isOpenAccess\":false,\"openAccessPdf\":\"https://www.ncbi.nlm.nih.gov/pmc/articles/PMC12314208/pdf/\",\"citationCount\":\"0\",\"resultStr\":null,\"platform\":\"Semanticscholar\",\"paperid\":null,\"PeriodicalName\":\"European Journal of Mass Spectrometry\",\"FirstCategoryId\":\"92\",\"ListUrlMain\":\"https://doi.org/10.1177/14690667251346668\",\"RegionNum\":4,\"RegionCategory\":\"化学\",\"ArticlePicture\":[],\"TitleCN\":null,\"AbstractTextCN\":null,\"PMCID\":null,\"EPubDate\":\"2025/5/29 0:00:00\",\"PubModel\":\"Epub\",\"JCR\":\"Q4\",\"JCRName\":\"PHYSICS, ATOMIC, MOLECULAR & CHEMICAL\",\"Score\":null,\"Total\":0}","platform":"Semanticscholar","paperid":null,"PeriodicalName":"European Journal of Mass Spectrometry","FirstCategoryId":"92","ListUrlMain":"https://doi.org/10.1177/14690667251346668","RegionNum":4,"RegionCategory":"化学","ArticlePicture":[],"TitleCN":null,"AbstractTextCN":null,"PMCID":null,"EPubDate":"2025/5/29 0:00:00","PubModel":"Epub","JCR":"Q4","JCRName":"PHYSICS, ATOMIC, MOLECULAR & CHEMICAL","Score":null,"Total":0}
引用次数: 0

摘要

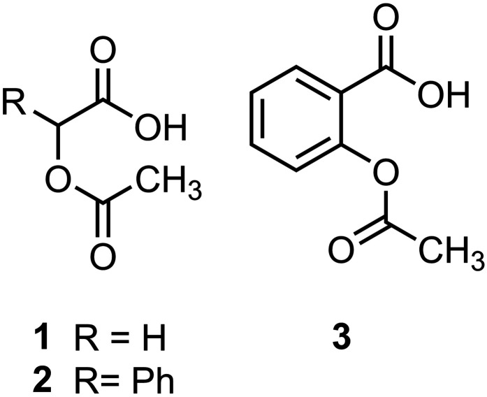
采用串联质谱法(MS/MS)对含有o -乙酰基取代基的羧酸进行了研究。去质子化的o -乙酰扁桃酸被观察到脱羧,而去质子化的乙酰氧乙酸和乙酰水杨酸被两个竞争的途径碎片化。在低能过程中,产物离子是由分子内质子抽离和随后从O-乙酰基中失去烯酮(CH2=C=O)而形成的。在较高的碰撞能量下,乙酰氧乙酸的羧酸基对o -乙酰基的亲核置换产生了乙酸(CH3CO2-)作为更丰富的产物离子。计算的乙酰氧乙酸酯反应途径的相对能量学与产物离子谱相吻合。总的来说,观察到烯酮的损失和乙酸离子的形成都是前体羧酸离子中o -乙酰基发生碰撞诱导解离的特征。o -乙酰扁桃酸酯表现出不同的断裂行为是由于苯基取代基的电荷稳定特性促进了脱羧。因此,观察到的断裂过程取决于o -乙酰基取代羧酸离子的结构和相关的分子内相互作用。
本文章由计算机程序翻译,如有差异,请以英文原文为准。

Competing fragmentation processes of <i>O</i>-acetyl-substituted carboxylate anions subjected to collision-induced dissociation.

Competing fragmentation processes of <i>O</i>-acetyl-substituted carboxylate anions subjected to collision-induced dissociation.

Competing fragmentation processes of <i>O</i>-acetyl-substituted carboxylate anions subjected to collision-induced dissociation.

Competing fragmentation processes of O-acetyl-substituted carboxylate anions subjected to collision-induced dissociation.

Carboxylic acids containing an O-acetyl substituent were studied using tandem mass spectrometry (MS/MS). Decarboxylation was observed for deprotonated O-acetylmandelic acid, whereas deprotonated acetoxyacetic acid and acetylsalicylic acid fragmented by two competing pathways. In the lower energy process, the product ion was formed by intramolecular proton abstraction and subsequent neutral loss of ketene (CH2=C=O) from the O-acetyl group. At higher collision energies, nucleophilic displacement of the O-acetyl group by the carboxylate group of acetoxyacetate yielded acetate (CH3CO2-) as the more abundant product ion. The relative energetics computed for the reaction pathways of acetoxyacetate were consistent with the product ion spectra. Overall, the observation of both the loss of ketene and the formation of acetate ion are characteristic of an O-acetyl group in the precursor carboxylate ion undergoing collision-induced dissociation. The different fragmentation behavior exhibited by O-acetyl mandelate was attributed to the charge stabilizing properties of the phenyl substituent that facilitated decarboxylation. Thus, the fragmentation processes observed depended on the structures of the O-acetyl-substituted carboxylate ions and the associated intramolecular interactions.

求助全文
通过发布文献求助,成功后即可免费获取论文全文。 去求助
来源期刊
CiteScore
2.40
自引率
7.70%
发文量
16
审稿时长
>12 weeks
期刊介绍: JMS - European Journal of Mass Spectrometry, is a peer-reviewed journal, devoted to the publication of innovative research in mass spectrometry. Articles in the journal come from proteomics, metabolomics, petroleomics and other areas developing under the umbrella of the “omic revolution”.
×
引用
GB/T 7714-2015
复制
MLA
复制
APA
复制
导出至
BibTeX EndNote RefMan NoteFirst NoteExpress
×
提示
您的信息不完整,为了账户安全,请先补充。
现在去补充
×
提示
您因"违规操作"
具体请查看互助需知
我知道了
×
提示
确定
请完成安全验证×
copy
已复制链接
快去分享给好友吧!
我知道了
右上角分享
点击右上角分享
0
联系我们:info@booksci.cn Book学术提供免费学术资源搜索服务,方便国内外学者检索中英文文献。致力于提供最便捷和优质的服务体验。 Copyright © 2023 布克学术 All rights reserved.
京ICP备2023020795号-1
ghs 京公网安备 11010802042870号
Book学术文献互助
Book学术文献互助群
群 号:604180095
Book学术官方微信