三(五氟苯基)硼烷空穴输运层掺杂对界面电荷提取和复合的影响。

IF 2.7 4区 材料科学 Q3 MATERIALS SCIENCE, MULTIDISCIPLINARY
Beilstein Journal of Nanotechnology Pub Date : 2025-05-21 eCollection Date: 2025-01-01 DOI:10.3762/bjnano.16.52
Konstantinos Bidinakis, Stefan A L Weber
{"title":"三(五氟苯基)硼烷空穴输运层掺杂对界面电荷提取和复合的影响。","authors":"Konstantinos Bidinakis, Stefan A L Weber","doi":"10.3762/bjnano.16.52","DOIUrl":null,"url":null,"abstract":"<p><p>Selective charge transport layers have a strong influence on the overall efficiency and stability in perovskite solar cell devices. Specifically, the charge extraction and recombination occurring at the interfaces between the perovskite and these materials can be a limiting factor for performance. A lot of effort has been put into improving the conductivity of selective contacts, as well as the junction quality and energetic alignment with the absorber. On the hole extracting side, organic semiconductors have been extensively used due to their flexibility and favorable properties. Two of such compatible materials that have yielded high performing devices are the small molecule 2,2',7,7'-tetrakis[<i>N</i>,<i>N</i>-di(4-methoxyphenyl)amino]-9,9'-spirobifluorene (spiro-OMeTAD) and the polymer poly[bis(4-phenyl)(2,4,6-trimethylphenyl)amine] (PTAA). In this work, we investigate the impact of hole transport layer doping on the performance and potential distribution in solar cells based on these materials. To do so on operating solar cells, we created samples with exposed cross-sections and examined their potential profile distributions with Kelvin probe force microscopy (KPFM), implementing our comprehensive measurement protocol. Using the Lewis acid tris(pentafluorophenyl)borane (BCF), we enhanced the hole extracting material/perovskite junction quality in spiro-OMeTAD and in PTAA based devices. Measurements under illumination show that the improvement is caused by a reduced recombination rate at the perovskite/hole transporter interface.</p>","PeriodicalId":8802,"journal":{"name":"Beilstein Journal of Nanotechnology","volume":"16 ","pages":"678-689"},"PeriodicalIF":2.7000,"publicationDate":"2025-05-21","publicationTypes":"Journal Article","fieldsOfStudy":null,"isOpenAccess":false,"openAccessPdf":"https://www.ncbi.nlm.nih.gov/pmc/articles/PMC12117211/pdf/","citationCount":"0","resultStr":"{\"title\":\"The impact of tris(pentafluorophenyl)borane hole transport layer doping on interfacial charge extraction and recombination.\",\"authors\":\"Konstantinos Bidinakis, Stefan A L Weber\",\"doi\":\"10.3762/bjnano.16.52\",\"DOIUrl\":null,\"url\":null,\"abstract\":\"<p><p>Selective charge transport layers have a strong influence on the overall efficiency and stability in perovskite solar cell devices. Specifically, the charge extraction and recombination occurring at the interfaces between the perovskite and these materials can be a limiting factor for performance. A lot of effort has been put into improving the conductivity of selective contacts, as well as the junction quality and energetic alignment with the absorber. On the hole extracting side, organic semiconductors have been extensively used due to their flexibility and favorable properties. Two of such compatible materials that have yielded high performing devices are the small molecule 2,2',7,7'-tetrakis[<i>N</i>,<i>N</i>-di(4-methoxyphenyl)amino]-9,9'-spirobifluorene (spiro-OMeTAD) and the polymer poly[bis(4-phenyl)(2,4,6-trimethylphenyl)amine] (PTAA). In this work, we investigate the impact of hole transport layer doping on the performance and potential distribution in solar cells based on these materials. To do so on operating solar cells, we created samples with exposed cross-sections and examined their potential profile distributions with Kelvin probe force microscopy (KPFM), implementing our comprehensive measurement protocol. Using the Lewis acid tris(pentafluorophenyl)borane (BCF), we enhanced the hole extracting material/perovskite junction quality in spiro-OMeTAD and in PTAA based devices. Measurements under illumination show that the improvement is caused by a reduced recombination rate at the perovskite/hole transporter interface.</p>\",\"PeriodicalId\":8802,\"journal\":{\"name\":\"Beilstein Journal of Nanotechnology\",\"volume\":\"16 \",\"pages\":\"678-689\"},\"PeriodicalIF\":2.7000,\"publicationDate\":\"2025-05-21\",\"publicationTypes\":\"Journal Article\",\"fieldsOfStudy\":null,\"isOpenAccess\":false,\"openAccessPdf\":\"https://www.ncbi.nlm.nih.gov/pmc/articles/PMC12117211/pdf/\",\"citationCount\":\"0\",\"resultStr\":null,\"platform\":\"Semanticscholar\",\"paperid\":null,\"PeriodicalName\":\"Beilstein Journal of Nanotechnology\",\"FirstCategoryId\":\"88\",\"ListUrlMain\":\"https://doi.org/10.3762/bjnano.16.52\",\"RegionNum\":4,\"RegionCategory\":\"材料科学\",\"ArticlePicture\":[],\"TitleCN\":null,\"AbstractTextCN\":null,\"PMCID\":null,\"EPubDate\":\"2025/1/1 0:00:00\",\"PubModel\":\"eCollection\",\"JCR\":\"Q3\",\"JCRName\":\"MATERIALS SCIENCE, MULTIDISCIPLINARY\",\"Score\":null,\"Total\":0}","platform":"Semanticscholar","paperid":null,"PeriodicalName":"Beilstein Journal of Nanotechnology","FirstCategoryId":"88","ListUrlMain":"https://doi.org/10.3762/bjnano.16.52","RegionNum":4,"RegionCategory":"材料科学","ArticlePicture":[],"TitleCN":null,"AbstractTextCN":null,"PMCID":null,"EPubDate":"2025/1/1 0:00:00","PubModel":"eCollection","JCR":"Q3","JCRName":"MATERIALS SCIENCE, MULTIDISCIPLINARY","Score":null,"Total":0}
引用次数: 0

摘要

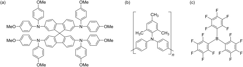
选择性电荷传输层对钙钛矿太阳能电池器件的整体效率和稳定性有重要影响。具体来说,钙钛矿和这些材料之间的界面上发生的电荷提取和重组可能是性能的限制因素。大量的努力已经投入到提高选择性接触的电导率,以及结质量和与吸收器的能量对准。在孔提取方面,有机半导体以其柔韧性和良好的性能得到了广泛的应用。两种这样的相容材料已经产生了高性能的器件,它们是小分子2,2',7,7'-四[N,N-二(4-甲氧基苯基)氨基]-9,9'-螺双芴(spiro-OMeTAD)和聚合物聚[双(4-苯基)(2,4,6-三甲基苯基)胺](PTAA)。在这项工作中,我们研究了空穴传输层掺杂对基于这些材料的太阳能电池性能和电位分布的影响。为了在操作太阳能电池时做到这一点,我们创建了具有暴露横截面的样品,并使用开尔文探针力显微镜(KPFM)检查了它们的潜在剖面分布,实施了我们的综合测量方案。利用Lewis酸三(五氟苯基)硼烷(BCF),我们提高了螺环- ometad和PTAA基器件中孔洞提取材料/钙钛矿结的质量。光照下的测量表明,这种改善是由于钙钛矿/空穴转运体界面的复合速率降低所致。
本文章由计算机程序翻译,如有差异,请以英文原文为准。

The impact of tris(pentafluorophenyl)borane hole transport layer doping on interfacial charge extraction and recombination.

The impact of tris(pentafluorophenyl)borane hole transport layer doping on interfacial charge extraction and recombination.

The impact of tris(pentafluorophenyl)borane hole transport layer doping on interfacial charge extraction and recombination.

The impact of tris(pentafluorophenyl)borane hole transport layer doping on interfacial charge extraction and recombination.

Selective charge transport layers have a strong influence on the overall efficiency and stability in perovskite solar cell devices. Specifically, the charge extraction and recombination occurring at the interfaces between the perovskite and these materials can be a limiting factor for performance. A lot of effort has been put into improving the conductivity of selective contacts, as well as the junction quality and energetic alignment with the absorber. On the hole extracting side, organic semiconductors have been extensively used due to their flexibility and favorable properties. Two of such compatible materials that have yielded high performing devices are the small molecule 2,2',7,7'-tetrakis[N,N-di(4-methoxyphenyl)amino]-9,9'-spirobifluorene (spiro-OMeTAD) and the polymer poly[bis(4-phenyl)(2,4,6-trimethylphenyl)amine] (PTAA). In this work, we investigate the impact of hole transport layer doping on the performance and potential distribution in solar cells based on these materials. To do so on operating solar cells, we created samples with exposed cross-sections and examined their potential profile distributions with Kelvin probe force microscopy (KPFM), implementing our comprehensive measurement protocol. Using the Lewis acid tris(pentafluorophenyl)borane (BCF), we enhanced the hole extracting material/perovskite junction quality in spiro-OMeTAD and in PTAA based devices. Measurements under illumination show that the improvement is caused by a reduced recombination rate at the perovskite/hole transporter interface.

求助全文
通过发布文献求助,成功后即可免费获取论文全文。 去求助
来源期刊
Beilstein Journal of Nanotechnology
Beilstein Journal of Nanotechnology NANOSCIENCE & NANOTECHNOLOGY-MATERIALS SCIENCE, MULTIDISCIPLINARY
CiteScore
5.70
自引率
3.20%
发文量
109
审稿时长
2 months
期刊介绍: The Beilstein Journal of Nanotechnology is an international, peer-reviewed, Open Access journal. It provides a unique platform for rapid publication without any charges (free for author and reader) – Platinum Open Access. The content is freely accessible 365 days a year to any user worldwide. Articles are available online immediately upon publication and are publicly archived in all major repositories. In addition, it provides a platform for publishing thematic issues (theme-based collections of articles) on topical issues in nanoscience and nanotechnology. The journal is published and completely funded by the Beilstein-Institut, a non-profit foundation located in Frankfurt am Main, Germany. The editor-in-chief is Professor Thomas Schimmel – Karlsruhe Institute of Technology. He is supported by more than 20 associate editors who are responsible for a particular subject area within the scope of the journal.
×
引用
GB/T 7714-2015
复制
MLA
复制
APA
复制
导出至
BibTeX EndNote RefMan NoteFirst NoteExpress
×
提示
您的信息不完整,为了账户安全,请先补充。
现在去补充
×
提示
您因"违规操作"
具体请查看互助需知
我知道了
×
提示
确定
请完成安全验证×
copy
已复制链接
快去分享给好友吧!
我知道了
右上角分享
点击右上角分享
0
联系我们:info@booksci.cn Book学术提供免费学术资源搜索服务,方便国内外学者检索中英文文献。致力于提供最便捷和优质的服务体验。 Copyright © 2023 布克学术 All rights reserved.
京ICP备2023020795号-1
ghs 京公网安备 11010802042870号
Book学术文献互助
Book学术文献互助群
群 号:604180095
Book学术官方微信