德黑兰小学室内空气质量:季节变化和外部污染源对污染物浓度的影响——一项综合分析研究

IF 4.3 2区 环境科学与生态学 Q1 CONSTRUCTION & BUILDING TECHNOLOGY
Indoor air Pub Date : 2025-05-30 DOI:10.1155/ina/5518200
Maryam Borhani Jebeli, Rasul Nasiri, Golnaz Yarahmadi, Soraya Fazeli, Seyed Poriya Fazeli, Somayeh Soleimani Alyar, Parvaneh Beyk Mohamadloo, Elham Maraghi, Rasoul Yarahmadi
{"title":"德黑兰小学室内空气质量:季节变化和外部污染源对污染物浓度的影响——一项综合分析研究","authors":"Maryam Borhani Jebeli,&nbsp;Rasul Nasiri,&nbsp;Golnaz Yarahmadi,&nbsp;Soraya Fazeli,&nbsp;Seyed Poriya Fazeli,&nbsp;Somayeh Soleimani Alyar,&nbsp;Parvaneh Beyk Mohamadloo,&nbsp;Elham Maraghi,&nbsp;Rasoul Yarahmadi","doi":"10.1155/ina/5518200","DOIUrl":null,"url":null,"abstract":"<p>The children’s sensitivity to high concentrations of pollutants in schools has led to increased attention to indoor air quality in recent years. Hence, the study was aimed at determining the concentration of air pollutants in primary school classrooms in Tehran during one academic year. For this purpose, the research team identified and evaluated primary schools in different regions of the Tehran megacity. Schools with similar characteristics were selected to sample CO<sub>2</sub>, PM<sub>1</sub>, PM<sub>2.5</sub>, and PM<sub>10</sub> pollutants in the indoor air of Tehran primary school classrooms. A total of 30 classrooms were sampled in five schools during the autumn, winter, and spring seasons of one academic year, spanning from September 2016 to May 2017. Data analysis was conducted using Python-based tools, including Seaborn and Matplotlib, to generate visual insights. The results showed that the concentration of the pollutants studied differs significantly in winter compared to autumn and spring in the indoor air of the classrooms. The highest CO<sub>2</sub>, PM<sub>1</sub>, PM<sub>2.5</sub>, PM<sub>10</sub>, and PM<sub>Total</sub> concentrations were observed in the north, center, south, south, and south of Tehran, especially in the ground-floor classrooms, respectively. The results of distance from green space, private space, and floors in winter emphasize an internal source of pollution; conversely, in spring and autumn, they show the influence of external sources on the concentration of pollutants inside the classrooms in various areas of Tehran. To summarize, the results of this study showed that the indoor air quality of primary school classrooms in Tehran requires careful investigation and urgent measures to reduce pollutants and improve environmental conditions to maintain the health and comfort of students and school board members.</p>","PeriodicalId":13529,"journal":{"name":"Indoor air","volume":"2025 1","pages":""},"PeriodicalIF":4.3000,"publicationDate":"2025-05-30","publicationTypes":"Journal Article","fieldsOfStudy":null,"isOpenAccess":false,"openAccessPdf":"https://onlinelibrary.wiley.com/doi/epdf/10.1155/ina/5518200","citationCount":"0","resultStr":"{\"title\":\"Indoor Air Quality in Tehran’s Primary Schools: Seasonal Variations and Impact of External Pollution Sources on Pollutant Concentrations—A Comprehensive Analytical Study\",\"authors\":\"Maryam Borhani Jebeli,&nbsp;Rasul Nasiri,&nbsp;Golnaz Yarahmadi,&nbsp;Soraya Fazeli,&nbsp;Seyed Poriya Fazeli,&nbsp;Somayeh Soleimani Alyar,&nbsp;Parvaneh Beyk Mohamadloo,&nbsp;Elham Maraghi,&nbsp;Rasoul Yarahmadi\",\"doi\":\"10.1155/ina/5518200\",\"DOIUrl\":null,\"url\":null,\"abstract\":\"<p>The children’s sensitivity to high concentrations of pollutants in schools has led to increased attention to indoor air quality in recent years. Hence, the study was aimed at determining the concentration of air pollutants in primary school classrooms in Tehran during one academic year. For this purpose, the research team identified and evaluated primary schools in different regions of the Tehran megacity. Schools with similar characteristics were selected to sample CO<sub>2</sub>, PM<sub>1</sub>, PM<sub>2.5</sub>, and PM<sub>10</sub> pollutants in the indoor air of Tehran primary school classrooms. A total of 30 classrooms were sampled in five schools during the autumn, winter, and spring seasons of one academic year, spanning from September 2016 to May 2017. Data analysis was conducted using Python-based tools, including Seaborn and Matplotlib, to generate visual insights. The results showed that the concentration of the pollutants studied differs significantly in winter compared to autumn and spring in the indoor air of the classrooms. The highest CO<sub>2</sub>, PM<sub>1</sub>, PM<sub>2.5</sub>, PM<sub>10</sub>, and PM<sub>Total</sub> concentrations were observed in the north, center, south, south, and south of Tehran, especially in the ground-floor classrooms, respectively. The results of distance from green space, private space, and floors in winter emphasize an internal source of pollution; conversely, in spring and autumn, they show the influence of external sources on the concentration of pollutants inside the classrooms in various areas of Tehran. To summarize, the results of this study showed that the indoor air quality of primary school classrooms in Tehran requires careful investigation and urgent measures to reduce pollutants and improve environmental conditions to maintain the health and comfort of students and school board members.</p>\",\"PeriodicalId\":13529,\"journal\":{\"name\":\"Indoor air\",\"volume\":\"2025 1\",\"pages\":\"\"},\"PeriodicalIF\":4.3000,\"publicationDate\":\"2025-05-30\",\"publicationTypes\":\"Journal Article\",\"fieldsOfStudy\":null,\"isOpenAccess\":false,\"openAccessPdf\":\"https://onlinelibrary.wiley.com/doi/epdf/10.1155/ina/5518200\",\"citationCount\":\"0\",\"resultStr\":null,\"platform\":\"Semanticscholar\",\"paperid\":null,\"PeriodicalName\":\"Indoor air\",\"FirstCategoryId\":\"93\",\"ListUrlMain\":\"https://onlinelibrary.wiley.com/doi/10.1155/ina/5518200\",\"RegionNum\":2,\"RegionCategory\":\"环境科学与生态学\",\"ArticlePicture\":[],\"TitleCN\":null,\"AbstractTextCN\":null,\"PMCID\":null,\"EPubDate\":\"\",\"PubModel\":\"\",\"JCR\":\"Q1\",\"JCRName\":\"CONSTRUCTION & BUILDING TECHNOLOGY\",\"Score\":null,\"Total\":0}","platform":"Semanticscholar","paperid":null,"PeriodicalName":"Indoor air","FirstCategoryId":"93","ListUrlMain":"https://onlinelibrary.wiley.com/doi/10.1155/ina/5518200","RegionNum":2,"RegionCategory":"环境科学与生态学","ArticlePicture":[],"TitleCN":null,"AbstractTextCN":null,"PMCID":null,"EPubDate":"","PubModel":"","JCR":"Q1","JCRName":"CONSTRUCTION & BUILDING TECHNOLOGY","Score":null,"Total":0}
引用次数: 0

摘要

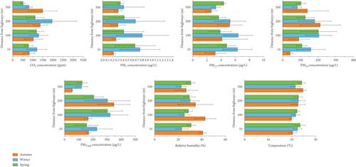
近年来,儿童对学校高浓度污染物的敏感性导致人们越来越关注室内空气质量。因此,这项研究的目的是确定一个学年期间德黑兰小学教室空气污染物的浓度。为此,研究小组确定并评估了德黑兰特大城市不同地区的小学。选取具有相似特征的学校,对德黑兰小学教室室内空气中的CO2、PM1、PM2.5和PM10污染物进行采样。在2016年9月至2017年5月的一学年中,五所学校的30间教室在秋季、冬季和春季进行了抽样调查。数据分析使用基于python的工具进行,包括Seaborn和Matplotlib,以产生可视化的见解。结果表明,与秋季和春季相比,冬季教室室内空气中所研究的污染物浓度存在显著差异。最高的CO2、PM1、PM2.5、PM10和PMTotal浓度分别在德黑兰北部、中部、南部、南部和南部,尤其是在一楼的教室。冬季与绿色空间、私人空间和地板的距离强调了内部污染源;相反,在春季和秋季,它们显示了外部来源对德黑兰不同地区教室内污染物浓度的影响。总而言之,本研究结果表明,德黑兰小学教室的室内空气质量需要仔细调查,并采取紧急措施减少污染物,改善环境条件,以保持学生和学校董事会成员的健康和舒适。
本文章由计算机程序翻译,如有差异,请以英文原文为准。

Indoor Air Quality in Tehran’s Primary Schools: Seasonal Variations and Impact of External Pollution Sources on Pollutant Concentrations—A Comprehensive Analytical Study

Indoor Air Quality in Tehran’s Primary Schools: Seasonal Variations and Impact of External Pollution Sources on Pollutant Concentrations—A Comprehensive Analytical Study

The children’s sensitivity to high concentrations of pollutants in schools has led to increased attention to indoor air quality in recent years. Hence, the study was aimed at determining the concentration of air pollutants in primary school classrooms in Tehran during one academic year. For this purpose, the research team identified and evaluated primary schools in different regions of the Tehran megacity. Schools with similar characteristics were selected to sample CO2, PM1, PM2.5, and PM10 pollutants in the indoor air of Tehran primary school classrooms. A total of 30 classrooms were sampled in five schools during the autumn, winter, and spring seasons of one academic year, spanning from September 2016 to May 2017. Data analysis was conducted using Python-based tools, including Seaborn and Matplotlib, to generate visual insights. The results showed that the concentration of the pollutants studied differs significantly in winter compared to autumn and spring in the indoor air of the classrooms. The highest CO2, PM1, PM2.5, PM10, and PMTotal concentrations were observed in the north, center, south, south, and south of Tehran, especially in the ground-floor classrooms, respectively. The results of distance from green space, private space, and floors in winter emphasize an internal source of pollution; conversely, in spring and autumn, they show the influence of external sources on the concentration of pollutants inside the classrooms in various areas of Tehran. To summarize, the results of this study showed that the indoor air quality of primary school classrooms in Tehran requires careful investigation and urgent measures to reduce pollutants and improve environmental conditions to maintain the health and comfort of students and school board members.

求助全文
通过发布文献求助,成功后即可免费获取论文全文。 去求助
来源期刊
Indoor air
Indoor air 环境科学-工程:环境
CiteScore
10.80
自引率
10.30%
发文量
175
审稿时长
3 months
期刊介绍: The quality of the environment within buildings is a topic of major importance for public health. Indoor Air provides a location for reporting original research results in the broad area defined by the indoor environment of non-industrial buildings. An international journal with multidisciplinary content, Indoor Air publishes papers reflecting the broad categories of interest in this field: health effects; thermal comfort; monitoring and modelling; source characterization; ventilation and other environmental control techniques. The research results present the basic information to allow designers, building owners, and operators to provide a healthy and comfortable environment for building occupants, as well as giving medical practitioners information on how to deal with illnesses related to the indoor environment.
×
引用
GB/T 7714-2015
复制
MLA
复制
APA
复制
导出至
BibTeX EndNote RefMan NoteFirst NoteExpress
×
提示
您的信息不完整,为了账户安全,请先补充。
现在去补充
×
提示
您因"违规操作"
具体请查看互助需知
我知道了
×
提示
确定
请完成安全验证×
copy
已复制链接
快去分享给好友吧!
我知道了
右上角分享
点击右上角分享
0
联系我们:info@booksci.cn Book学术提供免费学术资源搜索服务,方便国内外学者检索中英文文献。致力于提供最便捷和优质的服务体验。 Copyright © 2023 布克学术 All rights reserved.
京ICP备2023020795号-1
ghs 京公网安备 11010802042870号
Book学术文献互助
Book学术文献互助群
群 号:604180095
Book学术官方微信