静态线的长度和持续时间之间的时空干扰。

IF 1.7 4区 心理学 Q3 PSYCHOLOGY
Daniel Bratzke, Rolf Ulrich
{"title":"静态线的长度和持续时间之间的时空干扰。","authors":"Daniel Bratzke,&nbsp;Rolf Ulrich","doi":"10.3758/s13414-025-03093-8","DOIUrl":null,"url":null,"abstract":"<div><p>The present study investigated space–time interference with static lines. In three preregistered online experiments, participants were presented with lines of different lengths and durations and asked to provide length or duration estimates after each trial on a visual analogue scale. Results showed bidirectional space–time interference in all experiments, with a slight asymmetry toward larger space-on-time than time-on-space interference when the target dimension was indicated only after stimulus presentation. Overall, the present findings add to a growing body of evidence demonstrating that space–time interference is more flexible than previously assumed.</p></div>","PeriodicalId":55433,"journal":{"name":"Attention Perception & Psychophysics","volume":"87 5","pages":"1665 - 1677"},"PeriodicalIF":1.7000,"publicationDate":"2025-05-27","publicationTypes":"Journal Article","fieldsOfStudy":null,"isOpenAccess":false,"openAccessPdf":"https://www.ncbi.nlm.nih.gov/pmc/articles/PMC12204980/pdf/","citationCount":"0","resultStr":"{\"title\":\"Space–time interference between the length and duration of static lines\",\"authors\":\"Daniel Bratzke,&nbsp;Rolf Ulrich\",\"doi\":\"10.3758/s13414-025-03093-8\",\"DOIUrl\":null,\"url\":null,\"abstract\":\"<div><p>The present study investigated space–time interference with static lines. In three preregistered online experiments, participants were presented with lines of different lengths and durations and asked to provide length or duration estimates after each trial on a visual analogue scale. Results showed bidirectional space–time interference in all experiments, with a slight asymmetry toward larger space-on-time than time-on-space interference when the target dimension was indicated only after stimulus presentation. Overall, the present findings add to a growing body of evidence demonstrating that space–time interference is more flexible than previously assumed.</p></div>\",\"PeriodicalId\":55433,\"journal\":{\"name\":\"Attention Perception & Psychophysics\",\"volume\":\"87 5\",\"pages\":\"1665 - 1677\"},\"PeriodicalIF\":1.7000,\"publicationDate\":\"2025-05-27\",\"publicationTypes\":\"Journal Article\",\"fieldsOfStudy\":null,\"isOpenAccess\":false,\"openAccessPdf\":\"https://www.ncbi.nlm.nih.gov/pmc/articles/PMC12204980/pdf/\",\"citationCount\":\"0\",\"resultStr\":null,\"platform\":\"Semanticscholar\",\"paperid\":null,\"PeriodicalName\":\"Attention Perception & Psychophysics\",\"FirstCategoryId\":\"102\",\"ListUrlMain\":\"https://link.springer.com/article/10.3758/s13414-025-03093-8\",\"RegionNum\":4,\"RegionCategory\":\"心理学\",\"ArticlePicture\":[],\"TitleCN\":null,\"AbstractTextCN\":null,\"PMCID\":null,\"EPubDate\":\"\",\"PubModel\":\"\",\"JCR\":\"Q3\",\"JCRName\":\"PSYCHOLOGY\",\"Score\":null,\"Total\":0}","platform":"Semanticscholar","paperid":null,"PeriodicalName":"Attention Perception & Psychophysics","FirstCategoryId":"102","ListUrlMain":"https://link.springer.com/article/10.3758/s13414-025-03093-8","RegionNum":4,"RegionCategory":"心理学","ArticlePicture":[],"TitleCN":null,"AbstractTextCN":null,"PMCID":null,"EPubDate":"","PubModel":"","JCR":"Q3","JCRName":"PSYCHOLOGY","Score":null,"Total":0}
引用次数: 0

摘要

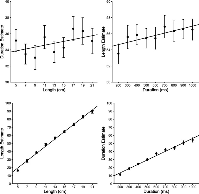
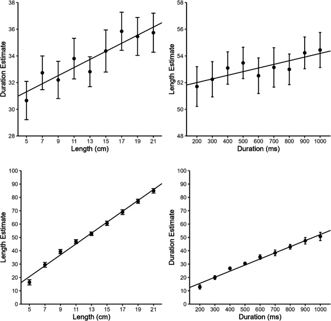
本文研究了静态线对时空的干扰。在三个预先注册的在线实验中,参与者看到了不同长度和持续时间的线条,并被要求在每次试验后以视觉模拟量表提供长度或持续时间的估计。结果表明,所有实验均存在双向时空干扰,且仅在刺激呈现后才提示目标维度时,空间对时间的干扰比时间对空间的干扰更大。总的来说,目前的发现增加了越来越多的证据,证明时空干扰比以前假设的更灵活。
本文章由计算机程序翻译,如有差异,请以英文原文为准。

Space–time interference between the length and duration of static lines

Space–time interference between the length and duration of static lines

Space–time interference between the length and duration of static lines

Space–time interference between the length and duration of static lines

The present study investigated space–time interference with static lines. In three preregistered online experiments, participants were presented with lines of different lengths and durations and asked to provide length or duration estimates after each trial on a visual analogue scale. Results showed bidirectional space–time interference in all experiments, with a slight asymmetry toward larger space-on-time than time-on-space interference when the target dimension was indicated only after stimulus presentation. Overall, the present findings add to a growing body of evidence demonstrating that space–time interference is more flexible than previously assumed.

求助全文
通过发布文献求助,成功后即可免费获取论文全文。 去求助
来源期刊
CiteScore
3.60
自引率
17.60%
发文量
197
审稿时长
4-8 weeks
期刊介绍: The journal Attention, Perception, & Psychophysics is an official journal of the Psychonomic Society. It spans all areas of research in sensory processes, perception, attention, and psychophysics. Most articles published are reports of experimental work; the journal also presents theoretical, integrative, and evaluative reviews. Commentary on issues of importance to researchers appears in a special section of the journal. Founded in 1966 as Perception & Psychophysics, the journal assumed its present name in 2009.
×
引用
GB/T 7714-2015
复制
MLA
复制
APA
复制
导出至
BibTeX EndNote RefMan NoteFirst NoteExpress
×
提示
您的信息不完整,为了账户安全,请先补充。
现在去补充
×
提示
您因"违规操作"
具体请查看互助需知
我知道了
×
提示
确定
请完成安全验证×
copy
已复制链接
快去分享给好友吧!
我知道了
右上角分享
点击右上角分享
0
联系我们:info@booksci.cn Book学术提供免费学术资源搜索服务,方便国内外学者检索中英文文献。致力于提供最便捷和优质的服务体验。 Copyright © 2023 布克学术 All rights reserved.
京ICP备2023020795号-1
ghs 京公网安备 11010802042870号
Book学术文献互助
Book学术文献互助群
群 号:604180095
Book学术官方微信