黑麦草、枸杞乙醇联合提取物对糖尿病大鼠的降糖作用。

Q2 Environmental Science
The Scientific World Journal Pub Date : 2025-05-20 eCollection Date: 2025-01-01 DOI:10.1155/tswj/1526410
Fauzan Azima, Wan Rosli Wan Ishak, Daimon Syukri, Rahmayani, Muhammad Iqbal, Yasmin Azzahra
{"title":"黑麦草、枸杞乙醇联合提取物对糖尿病大鼠的降糖作用。","authors":"Fauzan Azima, Wan Rosli Wan Ishak, Daimon Syukri, Rahmayani, Muhammad Iqbal, Yasmin Azzahra","doi":"10.1155/tswj/1526410","DOIUrl":null,"url":null,"abstract":"<p><p>This study investigated the effects of a combination of cassiavera and morel berry ethanol extracts (CMBEs) on diabetic rats, focusing on blood glucose levels, lipid profiles, immune and inflammatory markers, and pancreatic histopathology. Twenty male albino Wistar rats were divided into four groups: Group A (normal rats), Group B (diabetic rats), Group C (diabetic rats treated with metformin), and Group D (diabetic rats treated with CMBE). Parameters such as the IC<sub>50</sub> of CMBE, body weight, blood glucose levels, lipid profile, immune markers (leukocyte percentage, total count, and macrophage activity), inflammatory markers (TNF-<i>α</i> and IL-6), and pancreatic histopathology of rats were assessed for 7 weeks. Statistical analysis was performed using one-way analysis of variance followed by Duncan's multiple range test, with a significance level of <i>α</i> = 5%. The results revealed an IC<sub>50</sub> value of 18.5338 ppm for CMBE. Weight gain was observed in all groups except Group B, in which rats lost weight. CMBE was notably effective in lowering blood glucose levels in diabetic rats, with rats in Group D exhibiting higher HDL cholesterol levels and total leukocyte counts compared with those in Group C. Furthermore, CMBE significantly reduced TNF-<i>α</i> and IL-6 levels, exhibiting promising potential in promoting pancreatic repair. This study highlights the potential of a combination of Cassiavera and Morel Berry extract as an effective antidiabetic agent, suggesting it as a valuable addition to functional food formulations.</p>","PeriodicalId":22985,"journal":{"name":"The Scientific World Journal","volume":"2025 ","pages":"1526410"},"PeriodicalIF":0.0000,"publicationDate":"2025-05-20","publicationTypes":"Journal Article","fieldsOfStudy":null,"isOpenAccess":false,"openAccessPdf":"https://www.ncbi.nlm.nih.gov/pmc/articles/PMC12116143/pdf/","citationCount":"0","resultStr":"{\"title\":\"Antidiabetic Potential of Combined Cassiavera and Morel Berry Ethanol Extracts in Diabetic Rats.\",\"authors\":\"Fauzan Azima, Wan Rosli Wan Ishak, Daimon Syukri, Rahmayani, Muhammad Iqbal, Yasmin Azzahra\",\"doi\":\"10.1155/tswj/1526410\",\"DOIUrl\":null,\"url\":null,\"abstract\":\"<p><p>This study investigated the effects of a combination of cassiavera and morel berry ethanol extracts (CMBEs) on diabetic rats, focusing on blood glucose levels, lipid profiles, immune and inflammatory markers, and pancreatic histopathology. Twenty male albino Wistar rats were divided into four groups: Group A (normal rats), Group B (diabetic rats), Group C (diabetic rats treated with metformin), and Group D (diabetic rats treated with CMBE). Parameters such as the IC<sub>50</sub> of CMBE, body weight, blood glucose levels, lipid profile, immune markers (leukocyte percentage, total count, and macrophage activity), inflammatory markers (TNF-<i>α</i> and IL-6), and pancreatic histopathology of rats were assessed for 7 weeks. Statistical analysis was performed using one-way analysis of variance followed by Duncan's multiple range test, with a significance level of <i>α</i> = 5%. The results revealed an IC<sub>50</sub> value of 18.5338 ppm for CMBE. Weight gain was observed in all groups except Group B, in which rats lost weight. CMBE was notably effective in lowering blood glucose levels in diabetic rats, with rats in Group D exhibiting higher HDL cholesterol levels and total leukocyte counts compared with those in Group C. Furthermore, CMBE significantly reduced TNF-<i>α</i> and IL-6 levels, exhibiting promising potential in promoting pancreatic repair. This study highlights the potential of a combination of Cassiavera and Morel Berry extract as an effective antidiabetic agent, suggesting it as a valuable addition to functional food formulations.</p>\",\"PeriodicalId\":22985,\"journal\":{\"name\":\"The Scientific World Journal\",\"volume\":\"2025 \",\"pages\":\"1526410\"},\"PeriodicalIF\":0.0000,\"publicationDate\":\"2025-05-20\",\"publicationTypes\":\"Journal Article\",\"fieldsOfStudy\":null,\"isOpenAccess\":false,\"openAccessPdf\":\"https://www.ncbi.nlm.nih.gov/pmc/articles/PMC12116143/pdf/\",\"citationCount\":\"0\",\"resultStr\":null,\"platform\":\"Semanticscholar\",\"paperid\":null,\"PeriodicalName\":\"The Scientific World Journal\",\"FirstCategoryId\":\"1085\",\"ListUrlMain\":\"https://doi.org/10.1155/tswj/1526410\",\"RegionNum\":0,\"RegionCategory\":null,\"ArticlePicture\":[],\"TitleCN\":null,\"AbstractTextCN\":null,\"PMCID\":null,\"EPubDate\":\"2025/1/1 0:00:00\",\"PubModel\":\"eCollection\",\"JCR\":\"Q2\",\"JCRName\":\"Environmental Science\",\"Score\":null,\"Total\":0}","platform":"Semanticscholar","paperid":null,"PeriodicalName":"The Scientific World Journal","FirstCategoryId":"1085","ListUrlMain":"https://doi.org/10.1155/tswj/1526410","RegionNum":0,"RegionCategory":null,"ArticlePicture":[],"TitleCN":null,"AbstractTextCN":null,"PMCID":null,"EPubDate":"2025/1/1 0:00:00","PubModel":"eCollection","JCR":"Q2","JCRName":"Environmental Science","Score":null,"Total":0}
引用次数: 0

摘要

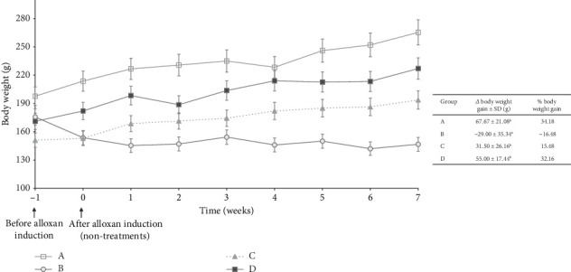
本研究探讨了黑麦草和枸杞乙醇提取物(CMBEs)对糖尿病大鼠的影响,重点关注血糖水平、血脂、免疫和炎症标志物以及胰腺组织病理学。将20只雄性白化Wistar大鼠分为4组:A组(正常大鼠)、B组(糖尿病大鼠)、C组(二甲双胍治疗的糖尿病大鼠)、D组(CMBE治疗的糖尿病大鼠)。观察大鼠CMBE IC50、体重、血糖水平、血脂、免疫标志物(白细胞百分比、总计数、巨噬细胞活性)、炎症标志物(TNF-α、IL-6)、胰腺组织病理学等指标,持续7周。统计学分析采用单因素方差分析后进行Duncan多元极差检验,显著性水平为α = 5%。结果显示,CMBE的IC50值为18.5338 ppm。除B组大鼠体重减轻外,其余各组大鼠均体重增加。CMBE显著降低糖尿病大鼠血糖水平,与c组相比,D组大鼠HDL -胆固醇水平和白细胞总数更高。此外,CMBE显著降低TNF-α和IL-6水平,显示出促进胰腺修复的潜力。这项研究强调了木薯和枸杞提取物作为一种有效的抗糖尿病药物的组合的潜力,表明它是一种有价值的功能性食品配方的补充。
本文章由计算机程序翻译,如有差异,请以英文原文为准。

Antidiabetic Potential of Combined Cassiavera and Morel Berry Ethanol Extracts in Diabetic Rats.

Antidiabetic Potential of Combined Cassiavera and Morel Berry Ethanol Extracts in Diabetic Rats.

Antidiabetic Potential of Combined Cassiavera and Morel Berry Ethanol Extracts in Diabetic Rats.

Antidiabetic Potential of Combined Cassiavera and Morel Berry Ethanol Extracts in Diabetic Rats.

This study investigated the effects of a combination of cassiavera and morel berry ethanol extracts (CMBEs) on diabetic rats, focusing on blood glucose levels, lipid profiles, immune and inflammatory markers, and pancreatic histopathology. Twenty male albino Wistar rats were divided into four groups: Group A (normal rats), Group B (diabetic rats), Group C (diabetic rats treated with metformin), and Group D (diabetic rats treated with CMBE). Parameters such as the IC50 of CMBE, body weight, blood glucose levels, lipid profile, immune markers (leukocyte percentage, total count, and macrophage activity), inflammatory markers (TNF-α and IL-6), and pancreatic histopathology of rats were assessed for 7 weeks. Statistical analysis was performed using one-way analysis of variance followed by Duncan's multiple range test, with a significance level of α = 5%. The results revealed an IC50 value of 18.5338 ppm for CMBE. Weight gain was observed in all groups except Group B, in which rats lost weight. CMBE was notably effective in lowering blood glucose levels in diabetic rats, with rats in Group D exhibiting higher HDL cholesterol levels and total leukocyte counts compared with those in Group C. Furthermore, CMBE significantly reduced TNF-α and IL-6 levels, exhibiting promising potential in promoting pancreatic repair. This study highlights the potential of a combination of Cassiavera and Morel Berry extract as an effective antidiabetic agent, suggesting it as a valuable addition to functional food formulations.

求助全文
通过发布文献求助,成功后即可免费获取论文全文。 去求助
来源期刊
The Scientific World Journal
The Scientific World Journal 综合性期刊-综合性期刊
CiteScore
5.60
自引率
0.00%
发文量
170
审稿时长
3.7 months
期刊介绍: The Scientific World Journal is a peer-reviewed, Open Access journal that publishes original research, reviews, and clinical studies covering a wide range of subjects in science, technology, and medicine. The journal is divided into 81 subject areas.
×
引用
GB/T 7714-2015
复制
MLA
复制
APA
复制
导出至
BibTeX EndNote RefMan NoteFirst NoteExpress
×
提示
您的信息不完整,为了账户安全,请先补充。
现在去补充
×
提示
您因"违规操作"
具体请查看互助需知
我知道了
×
提示
确定
请完成安全验证×
copy
已复制链接
快去分享给好友吧!
我知道了
右上角分享
点击右上角分享
0
联系我们:info@booksci.cn Book学术提供免费学术资源搜索服务,方便国内外学者检索中英文文献。致力于提供最便捷和优质的服务体验。 Copyright © 2023 布克学术 All rights reserved.
京ICP备2023020795号-1
ghs 京公网安备 11010802042870号
Book学术文献互助
Book学术文献互助群
群 号:604180095
Book学术官方微信