血栓形成的遗传标记作为结直肠癌预后的预测因子。

IF 2.2 3区 医学 Q2 CARDIAC & CARDIOVASCULAR SYSTEMS
Journal of Thrombosis and Thrombolysis Pub Date : 2025-06-01 Epub Date: 2025-05-27 DOI:10.1007/s11239-025-03106-1
Valéria Tavares, Catarina Lopes, Catarina Macedo-Silva, Mónica Farinha, João Costa, Maria Isabel Vilas-Boas, Sofia Pinelas, Joana Assis, Mário Dinis-Ribeiro, Deolinda Pereira, Carina Pereira, Rui Medeiros
{"title":"血栓形成的遗传标记作为结直肠癌预后的预测因子。","authors":"Valéria Tavares, Catarina Lopes, Catarina Macedo-Silva, Mónica Farinha, João Costa, Maria Isabel Vilas-Boas, Sofia Pinelas, Joana Assis, Mário Dinis-Ribeiro, Deolinda Pereira, Carina Pereira, Rui Medeiros","doi":"10.1007/s11239-025-03106-1","DOIUrl":null,"url":null,"abstract":"<p><p>Colorectal cancer (CRC) is the second leading cause of malignancy-related death worldwide, representing a significant health concern. Understanding the disease pathogenesis and identifying potential prognostic biomarkers is critical for improving patients' clinical outcomes. Haemostatic components implicated in cancer-associated thrombosis (CAT) seem to favour CRC progression. As such, genetic markers of thrombophilia might be potential prognostic biomarkers among patients with this malignant disease. To offer perspectives, a retrospective cohort study with 204 CRC patients was conducted to investigate the impact of seven germline haemostatic gene determinants on patient prognosis. A sex-stratified analysis was performed as the variants seem to have a distinct influence depending on the patient's sex. Genomic DNA was extracted from FFPE samples enriched in tumour cells. While the polymorphisms CNTN6 rs6764623 (CC/CA vs. AA; adjusted hazard ratio (aHR) = 0.44; 95% confidence interval (CI), 0.20-0.96; P = 0.040), PTGS2 rs20417 (GG vs. CC/CG; aHR = 2.88; 95%CI, 1.10-7.51; P = 0.031) and RGS7 rs2502448 (TT vs. CT/CC; aHR = 2.35; 95%CI, 1.20-4.61; P = 0.013) were associated with the five-year risk of cancer recurrence, ITGB3 rs5918 was a predictor of the risk of death due to all causes, particularly among male patients (TT vs. CT/CC; aHR = 2.05; 95% confidence interval (CI), 1.13-3.72; P = 0.019). While a sex-specific impact of the SNPs was observed, further investigation in larger cohorts, particularly with an increased representation of female patients, is required to confirm these associations. Collectively, these markers could help improve the prognosis assessment of CRC patients towards a more personalised intervention.</p>","PeriodicalId":17546,"journal":{"name":"Journal of Thrombosis and Thrombolysis","volume":" ","pages":"663-678"},"PeriodicalIF":2.2000,"publicationDate":"2025-06-01","publicationTypes":"Journal Article","fieldsOfStudy":null,"isOpenAccess":false,"openAccessPdf":"https://www.ncbi.nlm.nih.gov/pmc/articles/PMC12149255/pdf/","citationCount":"0","resultStr":"{\"title\":\"Genetic markers of thrombophilia as predictors of outcome in colorectal cancer.\",\"authors\":\"Valéria Tavares, Catarina Lopes, Catarina Macedo-Silva, Mónica Farinha, João Costa, Maria Isabel Vilas-Boas, Sofia Pinelas, Joana Assis, Mário Dinis-Ribeiro, Deolinda Pereira, Carina Pereira, Rui Medeiros\",\"doi\":\"10.1007/s11239-025-03106-1\",\"DOIUrl\":null,\"url\":null,\"abstract\":\"<p><p>Colorectal cancer (CRC) is the second leading cause of malignancy-related death worldwide, representing a significant health concern. Understanding the disease pathogenesis and identifying potential prognostic biomarkers is critical for improving patients' clinical outcomes. Haemostatic components implicated in cancer-associated thrombosis (CAT) seem to favour CRC progression. As such, genetic markers of thrombophilia might be potential prognostic biomarkers among patients with this malignant disease. To offer perspectives, a retrospective cohort study with 204 CRC patients was conducted to investigate the impact of seven germline haemostatic gene determinants on patient prognosis. A sex-stratified analysis was performed as the variants seem to have a distinct influence depending on the patient's sex. Genomic DNA was extracted from FFPE samples enriched in tumour cells. While the polymorphisms CNTN6 rs6764623 (CC/CA vs. AA; adjusted hazard ratio (aHR) = 0.44; 95% confidence interval (CI), 0.20-0.96; P = 0.040), PTGS2 rs20417 (GG vs. CC/CG; aHR = 2.88; 95%CI, 1.10-7.51; P = 0.031) and RGS7 rs2502448 (TT vs. CT/CC; aHR = 2.35; 95%CI, 1.20-4.61; P = 0.013) were associated with the five-year risk of cancer recurrence, ITGB3 rs5918 was a predictor of the risk of death due to all causes, particularly among male patients (TT vs. CT/CC; aHR = 2.05; 95% confidence interval (CI), 1.13-3.72; P = 0.019). While a sex-specific impact of the SNPs was observed, further investigation in larger cohorts, particularly with an increased representation of female patients, is required to confirm these associations. Collectively, these markers could help improve the prognosis assessment of CRC patients towards a more personalised intervention.</p>\",\"PeriodicalId\":17546,\"journal\":{\"name\":\"Journal of Thrombosis and Thrombolysis\",\"volume\":\" \",\"pages\":\"663-678\"},\"PeriodicalIF\":2.2000,\"publicationDate\":\"2025-06-01\",\"publicationTypes\":\"Journal Article\",\"fieldsOfStudy\":null,\"isOpenAccess\":false,\"openAccessPdf\":\"https://www.ncbi.nlm.nih.gov/pmc/articles/PMC12149255/pdf/\",\"citationCount\":\"0\",\"resultStr\":null,\"platform\":\"Semanticscholar\",\"paperid\":null,\"PeriodicalName\":\"Journal of Thrombosis and Thrombolysis\",\"FirstCategoryId\":\"3\",\"ListUrlMain\":\"https://doi.org/10.1007/s11239-025-03106-1\",\"RegionNum\":3,\"RegionCategory\":\"医学\",\"ArticlePicture\":[],\"TitleCN\":null,\"AbstractTextCN\":null,\"PMCID\":null,\"EPubDate\":\"2025/5/27 0:00:00\",\"PubModel\":\"Epub\",\"JCR\":\"Q2\",\"JCRName\":\"CARDIAC & CARDIOVASCULAR SYSTEMS\",\"Score\":null,\"Total\":0}","platform":"Semanticscholar","paperid":null,"PeriodicalName":"Journal of Thrombosis and Thrombolysis","FirstCategoryId":"3","ListUrlMain":"https://doi.org/10.1007/s11239-025-03106-1","RegionNum":3,"RegionCategory":"医学","ArticlePicture":[],"TitleCN":null,"AbstractTextCN":null,"PMCID":null,"EPubDate":"2025/5/27 0:00:00","PubModel":"Epub","JCR":"Q2","JCRName":"CARDIAC & CARDIOVASCULAR SYSTEMS","Score":null,"Total":0}
引用次数: 0

摘要

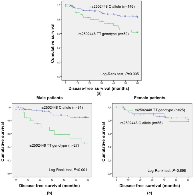
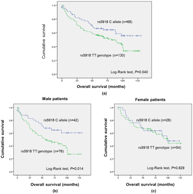
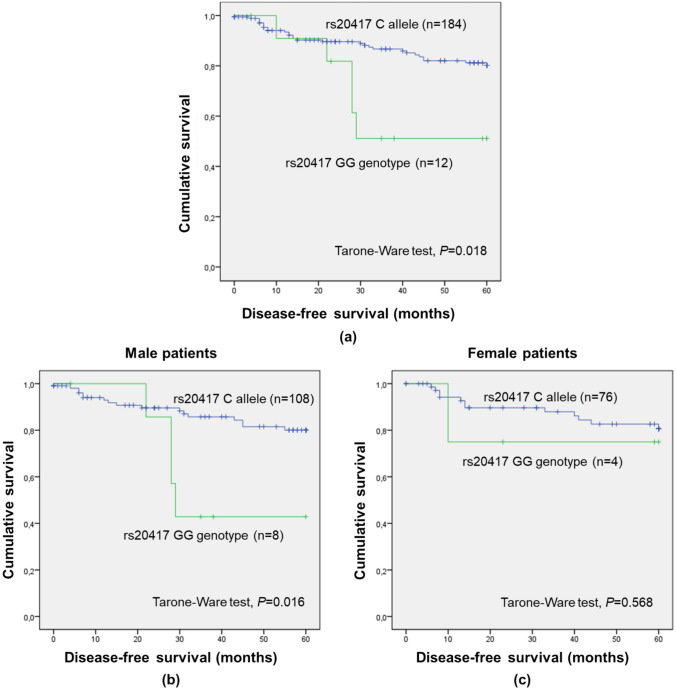
结直肠癌(CRC)是全球恶性肿瘤相关死亡的第二大原因,是一个重大的健康问题。了解疾病的发病机制和确定潜在的预后生物标志物对改善患者的临床结果至关重要。与癌症相关血栓形成(CAT)相关的止血成分似乎有利于CRC的进展。因此,血栓性疾病的遗传标记可能是这种恶性疾病患者的潜在预后生物标志物。为了提供观点,我们对204例结直肠癌患者进行了一项回顾性队列研究,以调查七种种系止血基因决定因素对患者预后的影响。由于这些变异似乎对患者的性别有明显的影响,因此进行了性别分层分析。从富含肿瘤细胞的FFPE样品中提取基因组DNA。而CNTN6 rs6764623的多态性(CC/CA vs. AA;校正风险比(aHR) = 0.44;95%置信区间(CI), 0.20-0.96;P = 0.040), PTGS2 rs20417 (GG vs. CC/CG;aHR = 2.88;95%置信区间,1.10 - -7.51;P = 0.031)和RGS7 rs2502448 (TT vs. CT/CC;aHR = 2.35;95%置信区间,1.20 - -4.61;P = 0.013)与5年癌症复发风险相关,ITGB3 rs5918是全因死亡风险的预测因子,尤其是在男性患者中(TT vs. CT/CC;aHR = 2.05;95%置信区间(CI), 1.13-3.72;p = 0.019)。虽然观察到snp的性别特异性影响,但需要在更大的队列中进行进一步的调查,特别是女性患者的代表性增加,以证实这些关联。总的来说,这些标志物可以帮助改善CRC患者的预后评估,从而实现更个性化的干预。
本文章由计算机程序翻译,如有差异,请以英文原文为准。

Genetic markers of thrombophilia as predictors of outcome in colorectal cancer.

Genetic markers of thrombophilia as predictors of outcome in colorectal cancer.

Genetic markers of thrombophilia as predictors of outcome in colorectal cancer.

Genetic markers of thrombophilia as predictors of outcome in colorectal cancer.

Colorectal cancer (CRC) is the second leading cause of malignancy-related death worldwide, representing a significant health concern. Understanding the disease pathogenesis and identifying potential prognostic biomarkers is critical for improving patients' clinical outcomes. Haemostatic components implicated in cancer-associated thrombosis (CAT) seem to favour CRC progression. As such, genetic markers of thrombophilia might be potential prognostic biomarkers among patients with this malignant disease. To offer perspectives, a retrospective cohort study with 204 CRC patients was conducted to investigate the impact of seven germline haemostatic gene determinants on patient prognosis. A sex-stratified analysis was performed as the variants seem to have a distinct influence depending on the patient's sex. Genomic DNA was extracted from FFPE samples enriched in tumour cells. While the polymorphisms CNTN6 rs6764623 (CC/CA vs. AA; adjusted hazard ratio (aHR) = 0.44; 95% confidence interval (CI), 0.20-0.96; P = 0.040), PTGS2 rs20417 (GG vs. CC/CG; aHR = 2.88; 95%CI, 1.10-7.51; P = 0.031) and RGS7 rs2502448 (TT vs. CT/CC; aHR = 2.35; 95%CI, 1.20-4.61; P = 0.013) were associated with the five-year risk of cancer recurrence, ITGB3 rs5918 was a predictor of the risk of death due to all causes, particularly among male patients (TT vs. CT/CC; aHR = 2.05; 95% confidence interval (CI), 1.13-3.72; P = 0.019). While a sex-specific impact of the SNPs was observed, further investigation in larger cohorts, particularly with an increased representation of female patients, is required to confirm these associations. Collectively, these markers could help improve the prognosis assessment of CRC patients towards a more personalised intervention.

求助全文
通过发布文献求助,成功后即可免费获取论文全文。 去求助
来源期刊
CiteScore
9.20
自引率
0.00%
发文量
112
审稿时长
4-8 weeks
期刊介绍: The Journal of Thrombosis and Thrombolysis is a long-awaited resource for contemporary cardiologists, hematologists, vascular medicine specialists and clinician-scientists actively involved in treatment decisions and clinical investigation of thrombotic disorders involving the cardiovascular and cerebrovascular systems. The principal focus of the Journal centers on the pathobiology of thrombosis and vascular disorders and the use of anticoagulants, platelet antagonists, cell-based therapies and interventions in scientific investigation, clinical-translational research and patient care. The Journal will publish original work which emphasizes the interface between fundamental scientific principles and clinical investigation, stimulating an interdisciplinary and scholarly dialogue in thrombosis and vascular science. Published works will also define platforms for translational research, drug development, clinical trials and patient-directed applications. The Journal of Thrombosis and Thrombolysis'' integrated format will expand the reader''s knowledge base and provide important insights for both the investigation and direct clinical application of the most rapidly growing fields in medicine-thrombosis and vascular science.
×
引用
GB/T 7714-2015
复制
MLA
复制
APA
复制
导出至
BibTeX EndNote RefMan NoteFirst NoteExpress
×
提示
您的信息不完整,为了账户安全,请先补充。
现在去补充
×
提示
您因"违规操作"
具体请查看互助需知
我知道了
×
提示
确定
请完成安全验证×
copy
已复制链接
快去分享给好友吧!
我知道了
右上角分享
点击右上角分享
0
联系我们:info@booksci.cn Book学术提供免费学术资源搜索服务,方便国内外学者检索中英文文献。致力于提供最便捷和优质的服务体验。 Copyright © 2023 布克学术 All rights reserved.
京ICP备2023020795号-1
ghs 京公网安备 11010802042870号
Book学术文献互助
Book学术文献互助群
群 号:604180095
Book学术官方微信