摩洛哥类风湿性关节炎和脊柱炎生物治疗的真实证据:RBSMR登记的结果。

IF 2.5 Q3 RHEUMATOLOGY
Najlae El Ouardi, Ihsane Hmamouchi, Redouane Abouqal, Fadoua Allali, Rachid Bahiri, Imane El Bouchti, Imad Ghozlani, Hasna Hassikou, Linda Ichchou, Saadia Janani, Taoufik Harzy, Radouane Niamane, Ahmed Bezza, Abdellah El Maghraoui
{"title":"摩洛哥类风湿性关节炎和脊柱炎生物治疗的真实证据:RBSMR登记的结果。","authors":"Najlae El Ouardi, Ihsane Hmamouchi, Redouane Abouqal, Fadoua Allali, Rachid Bahiri, Imane El Bouchti, Imad Ghozlani, Hasna Hassikou, Linda Ichchou, Saadia Janani, Taoufik Harzy, Radouane Niamane, Ahmed Bezza, Abdellah El Maghraoui","doi":"10.1186/s41927-025-00510-1","DOIUrl":null,"url":null,"abstract":"<p><strong>Background: </strong>Regional variability in the effectiveness and safety of biologic therapies for rheumatoid arthritis (RA) and spondyloarthritis (SpA) underscores the need for comprehensive assessment. The aim of this study was to provide real-world evidence of the effectiveness and the safety of biologic for RA, SpA including psoriatic arthritis, in the daily clinical practice.</p><p><strong>Materials and methods: </strong>RBSMR registry was a multicenter, cohort study conducted in 10 university departments of rheumatology. The study included RA and SpA patients receiving biotherapy, either as an initiation or ongoing treatment, and investigated for 3 years. The statistical analysis was performed using JAMOVI software (T student test, Mann-Whitney U test, Chi-squared test, Fisher's exact test, Paired T test and Wilcoxon test).</p><p><strong>Results: </strong>223 RA and 194 SpA were eligible. After 3 years of follow-up, DAS28 CRP (3.6 ± 1.4 versus 5.8 ± 1.0 at baseline) and ASDAS CRP (1.8[1-2.4] versus 3.5[2.5-4.4] at baseline) significantly improved; 13.8% of RA patients achieved remission based on DAS28 CRP and 20.1% of SpA patients achieved remission based on ASDAS CRP. Overall, 163 and 126 adverse events were reported in RA and SpA patients respectively. Infections were the most frequently reported events with an incidence of 11.8 and 13.4/100 patients-year in RA and SpA respectively. Total incidence rate of tuberculosis was 0.80 patient/100 patients-year.</p><p><strong>Conclusions: </strong>The RBSMR registry provides real-world insights into the effectiveness of biologics in the practice of rheumatology for RA and SpA patients in Morocco. It underscores the critical need for continued vigilance in monitoring and addressing adverse events, with a particular focus on tuberculosis infection.</p>","PeriodicalId":9150,"journal":{"name":"BMC Rheumatology","volume":"9 1","pages":"62"},"PeriodicalIF":2.5000,"publicationDate":"2025-05-27","publicationTypes":"Journal Article","fieldsOfStudy":null,"isOpenAccess":false,"openAccessPdf":"https://www.ncbi.nlm.nih.gov/pmc/articles/PMC12107801/pdf/","citationCount":"0","resultStr":"{\"title\":\"Real-world evidence of biological treatments in rheumatoid arthritis and spondyloarthritis in Morocco: results of the RBSMR registry.\",\"authors\":\"Najlae El Ouardi, Ihsane Hmamouchi, Redouane Abouqal, Fadoua Allali, Rachid Bahiri, Imane El Bouchti, Imad Ghozlani, Hasna Hassikou, Linda Ichchou, Saadia Janani, Taoufik Harzy, Radouane Niamane, Ahmed Bezza, Abdellah El Maghraoui\",\"doi\":\"10.1186/s41927-025-00510-1\",\"DOIUrl\":null,\"url\":null,\"abstract\":\"<p><strong>Background: </strong>Regional variability in the effectiveness and safety of biologic therapies for rheumatoid arthritis (RA) and spondyloarthritis (SpA) underscores the need for comprehensive assessment. The aim of this study was to provide real-world evidence of the effectiveness and the safety of biologic for RA, SpA including psoriatic arthritis, in the daily clinical practice.</p><p><strong>Materials and methods: </strong>RBSMR registry was a multicenter, cohort study conducted in 10 university departments of rheumatology. The study included RA and SpA patients receiving biotherapy, either as an initiation or ongoing treatment, and investigated for 3 years. The statistical analysis was performed using JAMOVI software (T student test, Mann-Whitney U test, Chi-squared test, Fisher's exact test, Paired T test and Wilcoxon test).</p><p><strong>Results: </strong>223 RA and 194 SpA were eligible. After 3 years of follow-up, DAS28 CRP (3.6 ± 1.4 versus 5.8 ± 1.0 at baseline) and ASDAS CRP (1.8[1-2.4] versus 3.5[2.5-4.4] at baseline) significantly improved; 13.8% of RA patients achieved remission based on DAS28 CRP and 20.1% of SpA patients achieved remission based on ASDAS CRP. Overall, 163 and 126 adverse events were reported in RA and SpA patients respectively. Infections were the most frequently reported events with an incidence of 11.8 and 13.4/100 patients-year in RA and SpA respectively. Total incidence rate of tuberculosis was 0.80 patient/100 patients-year.</p><p><strong>Conclusions: </strong>The RBSMR registry provides real-world insights into the effectiveness of biologics in the practice of rheumatology for RA and SpA patients in Morocco. It underscores the critical need for continued vigilance in monitoring and addressing adverse events, with a particular focus on tuberculosis infection.</p>\",\"PeriodicalId\":9150,\"journal\":{\"name\":\"BMC Rheumatology\",\"volume\":\"9 1\",\"pages\":\"62\"},\"PeriodicalIF\":2.5000,\"publicationDate\":\"2025-05-27\",\"publicationTypes\":\"Journal Article\",\"fieldsOfStudy\":null,\"isOpenAccess\":false,\"openAccessPdf\":\"https://www.ncbi.nlm.nih.gov/pmc/articles/PMC12107801/pdf/\",\"citationCount\":\"0\",\"resultStr\":null,\"platform\":\"Semanticscholar\",\"paperid\":null,\"PeriodicalName\":\"BMC Rheumatology\",\"FirstCategoryId\":\"1085\",\"ListUrlMain\":\"https://doi.org/10.1186/s41927-025-00510-1\",\"RegionNum\":0,\"RegionCategory\":null,\"ArticlePicture\":[],\"TitleCN\":null,\"AbstractTextCN\":null,\"PMCID\":null,\"EPubDate\":\"\",\"PubModel\":\"\",\"JCR\":\"Q3\",\"JCRName\":\"RHEUMATOLOGY\",\"Score\":null,\"Total\":0}","platform":"Semanticscholar","paperid":null,"PeriodicalName":"BMC Rheumatology","FirstCategoryId":"1085","ListUrlMain":"https://doi.org/10.1186/s41927-025-00510-1","RegionNum":0,"RegionCategory":null,"ArticlePicture":[],"TitleCN":null,"AbstractTextCN":null,"PMCID":null,"EPubDate":"","PubModel":"","JCR":"Q3","JCRName":"RHEUMATOLOGY","Score":null,"Total":0}
引用次数: 0

摘要

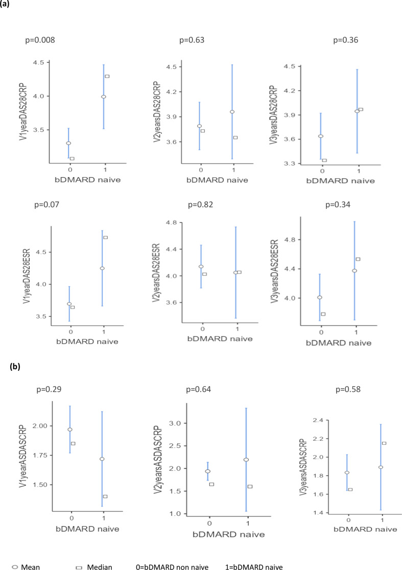
背景:类风湿性关节炎(RA)和脊椎关节炎(SpA)生物疗法有效性和安全性的区域差异强调了全面评估的必要性。本研究的目的是在日常临床实践中提供生物制剂治疗RA、SpA(包括银屑病关节炎)的有效性和安全性的真实证据。材料和方法:RBSMR注册是一项在10所大学风湿病学系进行的多中心队列研究。该研究包括接受生物治疗的RA和SpA患者,无论是作为起始治疗还是持续治疗,研究时间为3年。采用JAMOVI软件进行统计分析(T学生检验、Mann-Whitney U检验、卡方检验、Fisher确切检验、配对T检验和Wilcoxon检验)。结果:RA 223例,SpA 194例。随访3年后,DAS28 CRP(基线值3.6±1.4比5.8±1.0)和ASDAS CRP(基线值1.8[1-2.4]比3.5[2.5-4.4])显著改善;13.8%的RA患者基于DAS28 CRP达到缓解,20.1%的SpA患者基于ASDAS CRP达到缓解。总体而言,RA和SpA患者分别报告了163例和126例不良事件。感染是最常见的报告事件,RA和SpA的发病率分别为11.8和13.4/100患者-年。结核总发病率为0.80例/100例-年。结论:RBSMR注册为摩洛哥RA和SpA患者在风湿病学实践中使用生物制剂的有效性提供了真实的见解。它强调了在监测和处理不良事件方面继续保持警惕的迫切需要,特别注重结核病感染。
本文章由计算机程序翻译,如有差异,请以英文原文为准。

Real-world evidence of biological treatments in rheumatoid arthritis and spondyloarthritis in Morocco: results of the RBSMR registry.

Real-world evidence of biological treatments in rheumatoid arthritis and spondyloarthritis in Morocco: results of the RBSMR registry.

Real-world evidence of biological treatments in rheumatoid arthritis and spondyloarthritis in Morocco: results of the RBSMR registry.

Real-world evidence of biological treatments in rheumatoid arthritis and spondyloarthritis in Morocco: results of the RBSMR registry.

Background: Regional variability in the effectiveness and safety of biologic therapies for rheumatoid arthritis (RA) and spondyloarthritis (SpA) underscores the need for comprehensive assessment. The aim of this study was to provide real-world evidence of the effectiveness and the safety of biologic for RA, SpA including psoriatic arthritis, in the daily clinical practice.

Materials and methods: RBSMR registry was a multicenter, cohort study conducted in 10 university departments of rheumatology. The study included RA and SpA patients receiving biotherapy, either as an initiation or ongoing treatment, and investigated for 3 years. The statistical analysis was performed using JAMOVI software (T student test, Mann-Whitney U test, Chi-squared test, Fisher's exact test, Paired T test and Wilcoxon test).

Results: 223 RA and 194 SpA were eligible. After 3 years of follow-up, DAS28 CRP (3.6 ± 1.4 versus 5.8 ± 1.0 at baseline) and ASDAS CRP (1.8[1-2.4] versus 3.5[2.5-4.4] at baseline) significantly improved; 13.8% of RA patients achieved remission based on DAS28 CRP and 20.1% of SpA patients achieved remission based on ASDAS CRP. Overall, 163 and 126 adverse events were reported in RA and SpA patients respectively. Infections were the most frequently reported events with an incidence of 11.8 and 13.4/100 patients-year in RA and SpA respectively. Total incidence rate of tuberculosis was 0.80 patient/100 patients-year.

Conclusions: The RBSMR registry provides real-world insights into the effectiveness of biologics in the practice of rheumatology for RA and SpA patients in Morocco. It underscores the critical need for continued vigilance in monitoring and addressing adverse events, with a particular focus on tuberculosis infection.

求助全文
通过发布文献求助,成功后即可免费获取论文全文。 去求助
来源期刊
BMC Rheumatology
BMC Rheumatology Medicine-Rheumatology
CiteScore
3.80
自引率
0.00%
发文量
73
审稿时长
15 weeks
×
引用
GB/T 7714-2015
复制
MLA
复制
APA
复制
导出至
BibTeX EndNote RefMan NoteFirst NoteExpress
×
提示
您的信息不完整,为了账户安全,请先补充。
现在去补充
×
提示
您因"违规操作"
具体请查看互助需知
我知道了
×
提示
确定
请完成安全验证×
copy
已复制链接
快去分享给好友吧!
我知道了
右上角分享
点击右上角分享
0
联系我们:info@booksci.cn Book学术提供免费学术资源搜索服务,方便国内外学者检索中英文文献。致力于提供最便捷和优质的服务体验。 Copyright © 2023 布克学术 All rights reserved.
京ICP备2023020795号-1
ghs 京公网安备 11010802042870号
Book学术文献互助
Book学术文献互助群
群 号:604180095
Book学术官方微信