叙事和积极的电子游戏对超重和肥胖的黑人和西班牙裔儿童的影响:一项随机对照试验。

IF 5.5 1区 医学 Q1 NUTRITION & DIETETICS
Amy S Lu, Tom Baranowski, Tiago V Barreira, Amy Fleischman, Melanie C Green, Shirley Y Huang, I-Min Lee, Lynne L Levitsky, Farzad Noubary, Debbe Thompson
{"title":"叙事和积极的电子游戏对超重和肥胖的黑人和西班牙裔儿童的影响:一项随机对照试验。","authors":"Amy S Lu, Tom Baranowski, Tiago V Barreira, Amy Fleischman, Melanie C Green, Shirley Y Huang, I-Min Lee, Lynne L Levitsky, Farzad Noubary, Debbe Thompson","doi":"10.1186/s12966-025-01756-1","DOIUrl":null,"url":null,"abstract":"<p><strong>Background: </strong>Overweight and obesity disproportionately affect Black and Hispanic children who also play more video games. Narratives, coupled with home-based active video games (AVGs), may enhance PA and mitigate these disparities. This study tested the effect of narrative-enhanced home-based AVGs among predominantly Black and Hispanic children with overweight and obesity.</p><p><strong>Methods: </strong>This 6-month three-group RCT recruited 135 children aged 7-14 from pediatric clinics in Boston, MA (January 2020 - May 2022) during the COVID-19 pandemic. Participants were randomized into: [Narrative + AVG], receiving an Xbox/Kinect with six AVGs interspersed with a narrative animation Ataraxia (72 episodes over six months), which accompanied the AVGs; [AVG Only], receiving the Xbox/Kinect and AVGs without narrative animation; and [Waitlist Control], receiving the intervention post-RCT. The primary outcome was objectively assessed daily moderate-to-vigorous PA (MVPA). Secondary outcomes included body composition (fat and lean mass, total region fat), BMI%, fasting insulin, glucose, lipid panel (Cholesterol, HDL, LDL, and Triglycerides), and C-reactive protein. Assessments occurred at baseline, 3, and 6 months. It was hypothesized that [Narrative + AVG] would outperform [AVG Only], which would outperform [Waitlist Control].</p><p><strong>Results: </strong>79 children completed all three visits (Age = 10.9 ± 1.7; 63% Boys; 62% Black; 25% Latino; 11% Mixed; and 1% Asian). No statistically significant improvements in MVPA were observed within any condition at 3 or 6 months. A post-hoc exploratory analysis revealed that over the first three months, [Narrative + AVG] increased daily MVPA by 6.8 min compared to [Waitlist Control]. Over the same period, the [AVG Only] group exhibited 815 g less lean mass gain and 7.2 mg/dL lower HDL cholesterol levels relative to the [Waitlist Control].</p><p><strong>Conclusions: </strong>While neither narrative-enhanced AVGs nor AVGs alone consistently increased daily MVPA across the 6-month RCT, participants in the narrative AVGs group demonstrated greater daily MVPA compared to the control group during the initial three months. During this same period, the AVG-only group exhibited reduced lean mass gain and lower HDL cholesterol levels compared to the waitlist control. The added advantage of narratives was inconclusive, likely due to implementation challenges encountered during the pandemic. These findings highlight the need for addressing these challenges in future research in a fully powered study.</p><p><strong>Trial registration: </strong>Active Video Games on Physical Activity (Main Trial), NCT04116515. Registered December 25, 2019, https//clinicaltrials.gov/study/NCT04116515.</p>","PeriodicalId":50336,"journal":{"name":"International Journal of Behavioral Nutrition and Physical Activity","volume":"22 1","pages":"60"},"PeriodicalIF":5.5000,"publicationDate":"2025-05-26","publicationTypes":"Journal Article","fieldsOfStudy":null,"isOpenAccess":false,"openAccessPdf":"https://www.ncbi.nlm.nih.gov/pmc/articles/PMC12107869/pdf/","citationCount":"0","resultStr":"{\"title\":\"The impact of narratives and active video games among black and hispanic children with overweight and obesity: a randomized controlled trial.\",\"authors\":\"Amy S Lu, Tom Baranowski, Tiago V Barreira, Amy Fleischman, Melanie C Green, Shirley Y Huang, I-Min Lee, Lynne L Levitsky, Farzad Noubary, Debbe Thompson\",\"doi\":\"10.1186/s12966-025-01756-1\",\"DOIUrl\":null,\"url\":null,\"abstract\":\"<p><strong>Background: </strong>Overweight and obesity disproportionately affect Black and Hispanic children who also play more video games. Narratives, coupled with home-based active video games (AVGs), may enhance PA and mitigate these disparities. This study tested the effect of narrative-enhanced home-based AVGs among predominantly Black and Hispanic children with overweight and obesity.</p><p><strong>Methods: </strong>This 6-month three-group RCT recruited 135 children aged 7-14 from pediatric clinics in Boston, MA (January 2020 - May 2022) during the COVID-19 pandemic. Participants were randomized into: [Narrative + AVG], receiving an Xbox/Kinect with six AVGs interspersed with a narrative animation Ataraxia (72 episodes over six months), which accompanied the AVGs; [AVG Only], receiving the Xbox/Kinect and AVGs without narrative animation; and [Waitlist Control], receiving the intervention post-RCT. The primary outcome was objectively assessed daily moderate-to-vigorous PA (MVPA). Secondary outcomes included body composition (fat and lean mass, total region fat), BMI%, fasting insulin, glucose, lipid panel (Cholesterol, HDL, LDL, and Triglycerides), and C-reactive protein. Assessments occurred at baseline, 3, and 6 months. It was hypothesized that [Narrative + AVG] would outperform [AVG Only], which would outperform [Waitlist Control].</p><p><strong>Results: </strong>79 children completed all three visits (Age = 10.9 ± 1.7; 63% Boys; 62% Black; 25% Latino; 11% Mixed; and 1% Asian). No statistically significant improvements in MVPA were observed within any condition at 3 or 6 months. A post-hoc exploratory analysis revealed that over the first three months, [Narrative + AVG] increased daily MVPA by 6.8 min compared to [Waitlist Control]. Over the same period, the [AVG Only] group exhibited 815 g less lean mass gain and 7.2 mg/dL lower HDL cholesterol levels relative to the [Waitlist Control].</p><p><strong>Conclusions: </strong>While neither narrative-enhanced AVGs nor AVGs alone consistently increased daily MVPA across the 6-month RCT, participants in the narrative AVGs group demonstrated greater daily MVPA compared to the control group during the initial three months. During this same period, the AVG-only group exhibited reduced lean mass gain and lower HDL cholesterol levels compared to the waitlist control. The added advantage of narratives was inconclusive, likely due to implementation challenges encountered during the pandemic. These findings highlight the need for addressing these challenges in future research in a fully powered study.</p><p><strong>Trial registration: </strong>Active Video Games on Physical Activity (Main Trial), NCT04116515. Registered December 25, 2019, https//clinicaltrials.gov/study/NCT04116515.</p>\",\"PeriodicalId\":50336,\"journal\":{\"name\":\"International Journal of Behavioral Nutrition and Physical Activity\",\"volume\":\"22 1\",\"pages\":\"60\"},\"PeriodicalIF\":5.5000,\"publicationDate\":\"2025-05-26\",\"publicationTypes\":\"Journal Article\",\"fieldsOfStudy\":null,\"isOpenAccess\":false,\"openAccessPdf\":\"https://www.ncbi.nlm.nih.gov/pmc/articles/PMC12107869/pdf/\",\"citationCount\":\"0\",\"resultStr\":null,\"platform\":\"Semanticscholar\",\"paperid\":null,\"PeriodicalName\":\"International Journal of Behavioral Nutrition and Physical Activity\",\"FirstCategoryId\":\"3\",\"ListUrlMain\":\"https://doi.org/10.1186/s12966-025-01756-1\",\"RegionNum\":1,\"RegionCategory\":\"医学\",\"ArticlePicture\":[],\"TitleCN\":null,\"AbstractTextCN\":null,\"PMCID\":null,\"EPubDate\":\"\",\"PubModel\":\"\",\"JCR\":\"Q1\",\"JCRName\":\"NUTRITION & DIETETICS\",\"Score\":null,\"Total\":0}","platform":"Semanticscholar","paperid":null,"PeriodicalName":"International Journal of Behavioral Nutrition and Physical Activity","FirstCategoryId":"3","ListUrlMain":"https://doi.org/10.1186/s12966-025-01756-1","RegionNum":1,"RegionCategory":"医学","ArticlePicture":[],"TitleCN":null,"AbstractTextCN":null,"PMCID":null,"EPubDate":"","PubModel":"","JCR":"Q1","JCRName":"NUTRITION & DIETETICS","Score":null,"Total":0}
引用次数: 0

摘要

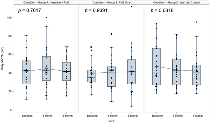
背景:超重和肥胖不成比例地影响黑人和西班牙裔儿童,他们也玩更多的电子游戏。叙事,加上基于家庭的主动视频游戏(avg),可能会增强PA并减轻这些差异。本研究在超重和肥胖的黑人和西班牙裔儿童中测试了叙事增强的家庭avg的效果。方法:这项为期6个月的三组随机对照试验在2019冠状病毒病大流行期间从马萨诸塞州波士顿的儿科诊所招募了135名7-14岁的儿童(2020年1月至2022年5月)。参与者被随机分为两组:[叙事+ AVG],接收一台带有6个AVG的Xbox/Kinect,并伴随着AVG播放叙事动画《共济失调》(6个月72集);[仅限AVG],接收不带叙事动画的Xbox/Kinect和AVG;和[候补名单控制],接受随机对照试验后的干预。主要终点是客观评估每日中度至重度PA (MVPA)。次要结局包括身体组成(脂肪和瘦肉质量、区域总脂肪)、BMI%、空腹胰岛素、葡萄糖、脂质面板(胆固醇、高密度脂蛋白、低密度脂蛋白和甘油三酯)和c反应蛋白。评估分别在基线、3个月和6个月进行。假设[叙事+ AVG]将优于[仅AVG],后者将优于[候补名单控制]。结果:79名儿童完成了三次访视(年龄= 10.9±1.7;63%的男孩;62%是黑人;25%的拉丁裔;11%的混合;1%是亚洲人)。在3个月或6个月的任何情况下,MVPA都没有统计学上的显著改善。事后探索性分析显示,在前三个月,[叙事+ AVG]与[候补名单控制]相比,每日MVPA增加了6.8分钟。在同一时期,与[候补名单控制]相比,[仅限AVG]组瘦体重增加815克,高密度脂蛋白胆固醇水平降低7.2毫克/分升。结论:虽然在6个月的随机对照试验中,叙述性avg和单独avg都没有持续增加每日MVPA,但在最初的三个月里,叙述性avg组的参与者比对照组表现出更大的每日MVPA。在同一时期,与等候名单对照组相比,仅使用avg的组瘦体重增加减少,高密度脂蛋白胆固醇水平降低。叙述的额外优势是不确定的,可能是由于在大流行期间遇到的执行挑战。这些发现强调了在未来的研究中解决这些挑战的必要性。试验报名:体力活动电子游戏(主试验),NCT04116515。2019年12月25日注册,https//clinicaltrials.gov/study/NCT04116515。
本文章由计算机程序翻译,如有差异,请以英文原文为准。

The impact of narratives and active video games among black and hispanic children with overweight and obesity: a randomized controlled trial.

The impact of narratives and active video games among black and hispanic children with overweight and obesity: a randomized controlled trial.

The impact of narratives and active video games among black and hispanic children with overweight and obesity: a randomized controlled trial.

The impact of narratives and active video games among black and hispanic children with overweight and obesity: a randomized controlled trial.

Background: Overweight and obesity disproportionately affect Black and Hispanic children who also play more video games. Narratives, coupled with home-based active video games (AVGs), may enhance PA and mitigate these disparities. This study tested the effect of narrative-enhanced home-based AVGs among predominantly Black and Hispanic children with overweight and obesity.

Methods: This 6-month three-group RCT recruited 135 children aged 7-14 from pediatric clinics in Boston, MA (January 2020 - May 2022) during the COVID-19 pandemic. Participants were randomized into: [Narrative + AVG], receiving an Xbox/Kinect with six AVGs interspersed with a narrative animation Ataraxia (72 episodes over six months), which accompanied the AVGs; [AVG Only], receiving the Xbox/Kinect and AVGs without narrative animation; and [Waitlist Control], receiving the intervention post-RCT. The primary outcome was objectively assessed daily moderate-to-vigorous PA (MVPA). Secondary outcomes included body composition (fat and lean mass, total region fat), BMI%, fasting insulin, glucose, lipid panel (Cholesterol, HDL, LDL, and Triglycerides), and C-reactive protein. Assessments occurred at baseline, 3, and 6 months. It was hypothesized that [Narrative + AVG] would outperform [AVG Only], which would outperform [Waitlist Control].

Results: 79 children completed all three visits (Age = 10.9 ± 1.7; 63% Boys; 62% Black; 25% Latino; 11% Mixed; and 1% Asian). No statistically significant improvements in MVPA were observed within any condition at 3 or 6 months. A post-hoc exploratory analysis revealed that over the first three months, [Narrative + AVG] increased daily MVPA by 6.8 min compared to [Waitlist Control]. Over the same period, the [AVG Only] group exhibited 815 g less lean mass gain and 7.2 mg/dL lower HDL cholesterol levels relative to the [Waitlist Control].

Conclusions: While neither narrative-enhanced AVGs nor AVGs alone consistently increased daily MVPA across the 6-month RCT, participants in the narrative AVGs group demonstrated greater daily MVPA compared to the control group during the initial three months. During this same period, the AVG-only group exhibited reduced lean mass gain and lower HDL cholesterol levels compared to the waitlist control. The added advantage of narratives was inconclusive, likely due to implementation challenges encountered during the pandemic. These findings highlight the need for addressing these challenges in future research in a fully powered study.

Trial registration: Active Video Games on Physical Activity (Main Trial), NCT04116515. Registered December 25, 2019, https//clinicaltrials.gov/study/NCT04116515.

求助全文
通过发布文献求助,成功后即可免费获取论文全文。 去求助
来源期刊
CiteScore
13.80
自引率
3.40%
发文量
138
审稿时长
4-8 weeks
期刊介绍: International Journal of Behavioral Nutrition and Physical Activity (IJBNPA) is an open access, peer-reviewed journal offering high quality articles, rapid publication and wide diffusion in the public domain. IJBNPA is devoted to furthering the understanding of the behavioral aspects of diet and physical activity and is unique in its inclusion of multiple levels of analysis, including populations, groups and individuals and its inclusion of epidemiology, and behavioral, theoretical and measurement research areas.
×
引用
GB/T 7714-2015
复制
MLA
复制
APA
复制
导出至
BibTeX EndNote RefMan NoteFirst NoteExpress
×
提示
您的信息不完整,为了账户安全,请先补充。
现在去补充
×
提示
您因"违规操作"
具体请查看互助需知
我知道了
×
提示
确定
请完成安全验证×
copy
已复制链接
快去分享给好友吧!
我知道了
右上角分享
点击右上角分享
0
联系我们:info@booksci.cn Book学术提供免费学术资源搜索服务,方便国内外学者检索中英文文献。致力于提供最便捷和优质的服务体验。 Copyright © 2023 布克学术 All rights reserved.
京ICP备2023020795号-1
ghs 京公网安备 11010802042870号
Book学术文献互助
Book学术文献互助群
群 号:604180095
Book学术官方微信