在乳腺癌幸存者的随机体育活动干预试验中,加速度计测量误差无差异,但减弱了干预效果。

IF 5.5 1区 医学 Q1 NUTRITION & DIETETICS
Laura Q Rogers, Douglas Midthune, Kevin Dodd, Heather Bowles, Edward McAuley, Kerry S Courneya, Brian Barrett, Spiro Razis, Gary R Hunter, Stephen J Carter, Raymond J Carroll, Victor Kipnis
{"title":"在乳腺癌幸存者的随机体育活动干预试验中,加速度计测量误差无差异,但减弱了干预效果。","authors":"Laura Q Rogers, Douglas Midthune, Kevin Dodd, Heather Bowles, Edward McAuley, Kerry S Courneya, Brian Barrett, Spiro Razis, Gary R Hunter, Stephen J Carter, Raymond J Carroll, Victor Kipnis","doi":"10.1186/s12966-025-01760-5","DOIUrl":null,"url":null,"abstract":"<p><strong>Background: </strong>Physical activity reduces morbidity and mortality risk in cancer survivors, but a meaningful proportion of this vulnerable population are physically inactive. Targeted interventions can help cancer survivors adopt a more active lifestyle, but the efficacy of these interventions must be rigorously evaluated in randomized controlled intervention trials. A major barrier to such trials involves the difficulty in obtaining unbiased estimates of physical activity in free-living conditions.</p><p><strong>Methods: </strong>We conducted a randomized controlled trial of a 3-month intervention designed to increase physical activity vs. usual care in breast cancer survivors (n = 316). The primary outcome was change in physical activity as estimated by hip-worn accelerometer (MTI/Actigraph, models GT1M and GT3X). The trial included a sub-study (n = 106) wherein unbiased measures of total energy expenditure (doubly labeled water), and resting energy expenditure (indirect calorimetry) were collected. A linear mixed measurement error model characterized the structure of measurement error in accelerometry-estimated physical activity energy expenditure (PAEE), and corrected for bias in the estimated intervention effect due to measurement error.</p><p><strong>Results: </strong>Bias in the accelerometer estimates was related to true PAEE (p < 0.001) and baseline body mass index (p < 0.001) but was not related to age (p = 0.13). After correcting for measurement error, the estimated intervention effect at 3 months (change from baseline in PAEE in the intervention arm minus change in the control arm) was 77 kcal/day (95% confidence interval (CI) = 31-125), compared to 48 kcal/day (95% CI = 22-75) when measurement error was ignored. These results indicate a 20% (21%) increase in PAEE kcal x d<sup>-1</sup> (kcal x kg<sup>-1</sup> × d<sup>-1</sup>) at month 3 relative to baseline for the corrected model vs. 14% (15%) for the uncorrected model. There was no evidence that measurement error in accelerometry-estimated PAEE was differential (differed by treatment arm) in the trial (p = 0.86).</p><p><strong>Conclusions: </strong>Measurement error in accelerometer-estimated PAEE can attenuate the effect size related to intervention effects in randomized controlled trials of physical activity interventions. Sub-studies that collect unbiased measures of PAEE can be used to correct for this short-coming.</p><p><strong>Trial registration: </strong>ClinicalTrials.gov; NCT00929617; registered 06/26/2009; https://clinicaltrials.gov/study/NCT00929617.</p>","PeriodicalId":50336,"journal":{"name":"International Journal of Behavioral Nutrition and Physical Activity","volume":"22 1","pages":"59"},"PeriodicalIF":5.5000,"publicationDate":"2025-05-26","publicationTypes":"Journal Article","fieldsOfStudy":null,"isOpenAccess":false,"openAccessPdf":"https://www.ncbi.nlm.nih.gov/pmc/articles/PMC12105316/pdf/","citationCount":"0","resultStr":"{\"title\":\"Accelerometer measurement error in a randomized physical activity intervention trial in breast cancer survivors was nondifferential but attenuated the intervention effect.\",\"authors\":\"Laura Q Rogers, Douglas Midthune, Kevin Dodd, Heather Bowles, Edward McAuley, Kerry S Courneya, Brian Barrett, Spiro Razis, Gary R Hunter, Stephen J Carter, Raymond J Carroll, Victor Kipnis\",\"doi\":\"10.1186/s12966-025-01760-5\",\"DOIUrl\":null,\"url\":null,\"abstract\":\"<p><strong>Background: </strong>Physical activity reduces morbidity and mortality risk in cancer survivors, but a meaningful proportion of this vulnerable population are physically inactive. Targeted interventions can help cancer survivors adopt a more active lifestyle, but the efficacy of these interventions must be rigorously evaluated in randomized controlled intervention trials. A major barrier to such trials involves the difficulty in obtaining unbiased estimates of physical activity in free-living conditions.</p><p><strong>Methods: </strong>We conducted a randomized controlled trial of a 3-month intervention designed to increase physical activity vs. usual care in breast cancer survivors (n = 316). The primary outcome was change in physical activity as estimated by hip-worn accelerometer (MTI/Actigraph, models GT1M and GT3X). The trial included a sub-study (n = 106) wherein unbiased measures of total energy expenditure (doubly labeled water), and resting energy expenditure (indirect calorimetry) were collected. A linear mixed measurement error model characterized the structure of measurement error in accelerometry-estimated physical activity energy expenditure (PAEE), and corrected for bias in the estimated intervention effect due to measurement error.</p><p><strong>Results: </strong>Bias in the accelerometer estimates was related to true PAEE (p < 0.001) and baseline body mass index (p < 0.001) but was not related to age (p = 0.13). After correcting for measurement error, the estimated intervention effect at 3 months (change from baseline in PAEE in the intervention arm minus change in the control arm) was 77 kcal/day (95% confidence interval (CI) = 31-125), compared to 48 kcal/day (95% CI = 22-75) when measurement error was ignored. These results indicate a 20% (21%) increase in PAEE kcal x d<sup>-1</sup> (kcal x kg<sup>-1</sup> × d<sup>-1</sup>) at month 3 relative to baseline for the corrected model vs. 14% (15%) for the uncorrected model. There was no evidence that measurement error in accelerometry-estimated PAEE was differential (differed by treatment arm) in the trial (p = 0.86).</p><p><strong>Conclusions: </strong>Measurement error in accelerometer-estimated PAEE can attenuate the effect size related to intervention effects in randomized controlled trials of physical activity interventions. Sub-studies that collect unbiased measures of PAEE can be used to correct for this short-coming.</p><p><strong>Trial registration: </strong>ClinicalTrials.gov; NCT00929617; registered 06/26/2009; https://clinicaltrials.gov/study/NCT00929617.</p>\",\"PeriodicalId\":50336,\"journal\":{\"name\":\"International Journal of Behavioral Nutrition and Physical Activity\",\"volume\":\"22 1\",\"pages\":\"59\"},\"PeriodicalIF\":5.5000,\"publicationDate\":\"2025-05-26\",\"publicationTypes\":\"Journal Article\",\"fieldsOfStudy\":null,\"isOpenAccess\":false,\"openAccessPdf\":\"https://www.ncbi.nlm.nih.gov/pmc/articles/PMC12105316/pdf/\",\"citationCount\":\"0\",\"resultStr\":null,\"platform\":\"Semanticscholar\",\"paperid\":null,\"PeriodicalName\":\"International Journal of Behavioral Nutrition and Physical Activity\",\"FirstCategoryId\":\"3\",\"ListUrlMain\":\"https://doi.org/10.1186/s12966-025-01760-5\",\"RegionNum\":1,\"RegionCategory\":\"医学\",\"ArticlePicture\":[],\"TitleCN\":null,\"AbstractTextCN\":null,\"PMCID\":null,\"EPubDate\":\"\",\"PubModel\":\"\",\"JCR\":\"Q1\",\"JCRName\":\"NUTRITION & DIETETICS\",\"Score\":null,\"Total\":0}","platform":"Semanticscholar","paperid":null,"PeriodicalName":"International Journal of Behavioral Nutrition and Physical Activity","FirstCategoryId":"3","ListUrlMain":"https://doi.org/10.1186/s12966-025-01760-5","RegionNum":1,"RegionCategory":"医学","ArticlePicture":[],"TitleCN":null,"AbstractTextCN":null,"PMCID":null,"EPubDate":"","PubModel":"","JCR":"Q1","JCRName":"NUTRITION & DIETETICS","Score":null,"Total":0}
引用次数: 0

摘要

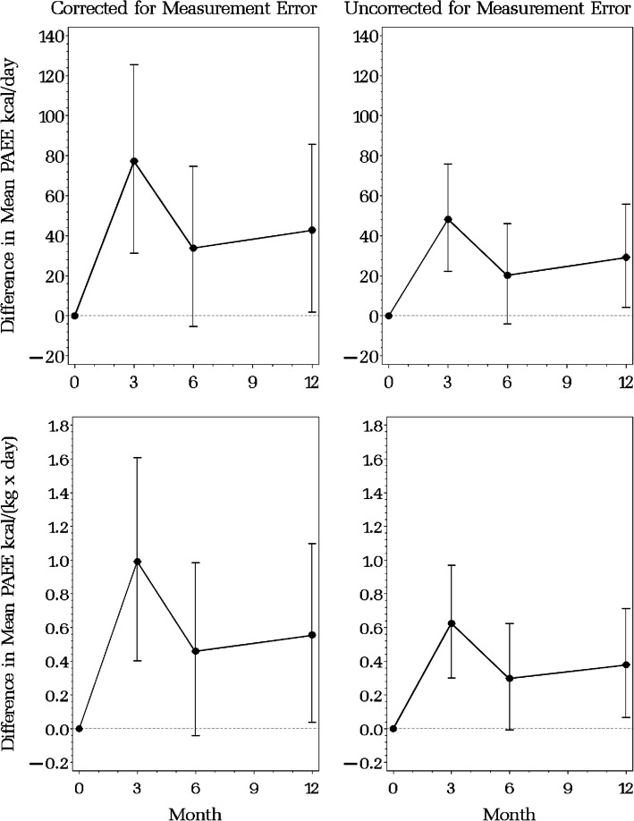
背景:体育活动降低了癌症幸存者的发病率和死亡率风险,但这一脆弱人群中有相当大比例的人缺乏体育活动。有针对性的干预可以帮助癌症幸存者采取更积极的生活方式,但这些干预的有效性必须在随机对照干预试验中严格评估。这种试验的一个主要障碍是难以获得自由生活条件下身体活动的无偏估计。方法:我们进行了一项为期3个月的随机对照试验,旨在增加乳腺癌幸存者的身体活动与常规护理(n = 316)。主要终点是通过穿戴在臀部的加速度计(MTI/Actigraph,型号GT1M和GT3X)估计的身体活动变化。该试验包括一项子研究(n = 106),其中收集了总能量消耗(双标记水)和静息能量消耗(间接量热法)的无偏测量。一个线性混合测量误差模型描述了加速度测量-估计运动能量消耗(PAEE)的测量误差结构,并对测量误差对估计干预效果的偏差进行了校正。结果:加速度计估计偏差与校正模型第3个月相对于基线的真实PAEE (p -1 (kcal x kg-1 × d-1)有关,而未校正模型的偏差为14%(15%)。没有证据表明试验中加速计估计的PAEE的测量误差有差异(不同治疗组的差异)(p = 0.86)。结论:在体育活动干预的随机对照试验中,加速度计估计PAEE的测量误差会减弱与干预效果相关的效应量。收集无偏见的PAEE测量的子研究可以用来纠正这一缺点。试验注册:ClinicalTrials.gov;NCT00929617;注册06/26/2009;https://clinicaltrials.gov/study/NCT00929617。
本文章由计算机程序翻译,如有差异,请以英文原文为准。

Accelerometer measurement error in a randomized physical activity intervention trial in breast cancer survivors was nondifferential but attenuated the intervention effect.

Accelerometer measurement error in a randomized physical activity intervention trial in breast cancer survivors was nondifferential but attenuated the intervention effect.

Accelerometer measurement error in a randomized physical activity intervention trial in breast cancer survivors was nondifferential but attenuated the intervention effect.

Accelerometer measurement error in a randomized physical activity intervention trial in breast cancer survivors was nondifferential but attenuated the intervention effect.

Background: Physical activity reduces morbidity and mortality risk in cancer survivors, but a meaningful proportion of this vulnerable population are physically inactive. Targeted interventions can help cancer survivors adopt a more active lifestyle, but the efficacy of these interventions must be rigorously evaluated in randomized controlled intervention trials. A major barrier to such trials involves the difficulty in obtaining unbiased estimates of physical activity in free-living conditions.

Methods: We conducted a randomized controlled trial of a 3-month intervention designed to increase physical activity vs. usual care in breast cancer survivors (n = 316). The primary outcome was change in physical activity as estimated by hip-worn accelerometer (MTI/Actigraph, models GT1M and GT3X). The trial included a sub-study (n = 106) wherein unbiased measures of total energy expenditure (doubly labeled water), and resting energy expenditure (indirect calorimetry) were collected. A linear mixed measurement error model characterized the structure of measurement error in accelerometry-estimated physical activity energy expenditure (PAEE), and corrected for bias in the estimated intervention effect due to measurement error.

Results: Bias in the accelerometer estimates was related to true PAEE (p < 0.001) and baseline body mass index (p < 0.001) but was not related to age (p = 0.13). After correcting for measurement error, the estimated intervention effect at 3 months (change from baseline in PAEE in the intervention arm minus change in the control arm) was 77 kcal/day (95% confidence interval (CI) = 31-125), compared to 48 kcal/day (95% CI = 22-75) when measurement error was ignored. These results indicate a 20% (21%) increase in PAEE kcal x d-1 (kcal x kg-1 × d-1) at month 3 relative to baseline for the corrected model vs. 14% (15%) for the uncorrected model. There was no evidence that measurement error in accelerometry-estimated PAEE was differential (differed by treatment arm) in the trial (p = 0.86).

Conclusions: Measurement error in accelerometer-estimated PAEE can attenuate the effect size related to intervention effects in randomized controlled trials of physical activity interventions. Sub-studies that collect unbiased measures of PAEE can be used to correct for this short-coming.

Trial registration: ClinicalTrials.gov; NCT00929617; registered 06/26/2009; https://clinicaltrials.gov/study/NCT00929617.

求助全文
通过发布文献求助,成功后即可免费获取论文全文。 去求助
来源期刊
CiteScore
13.80
自引率
3.40%
发文量
138
审稿时长
4-8 weeks
期刊介绍: International Journal of Behavioral Nutrition and Physical Activity (IJBNPA) is an open access, peer-reviewed journal offering high quality articles, rapid publication and wide diffusion in the public domain. IJBNPA is devoted to furthering the understanding of the behavioral aspects of diet and physical activity and is unique in its inclusion of multiple levels of analysis, including populations, groups and individuals and its inclusion of epidemiology, and behavioral, theoretical and measurement research areas.
×
引用
GB/T 7714-2015
复制
MLA
复制
APA
复制
导出至
BibTeX EndNote RefMan NoteFirst NoteExpress
×
提示
您的信息不完整,为了账户安全,请先补充。
现在去补充
×
提示
您因"违规操作"
具体请查看互助需知
我知道了
×
提示
确定
请完成安全验证×
copy
已复制链接
快去分享给好友吧!
我知道了
右上角分享
点击右上角分享
0
联系我们:info@booksci.cn Book学术提供免费学术资源搜索服务,方便国内外学者检索中英文文献。致力于提供最便捷和优质的服务体验。 Copyright © 2023 布克学术 All rights reserved.
京ICP备2023020795号-1
ghs 京公网安备 11010802042870号
Book学术文献互助
Book学术文献互助群
群 号:604180095
Book学术官方微信