贝叶斯模型预测乳腺癌生存:回顾性分析。

IF 1.7 Q4 ONCOLOGY
Islam Bani Mohammad, Muayyad M Ahmad
{"title":"贝叶斯模型预测乳腺癌生存:回顾性分析。","authors":"Islam Bani Mohammad, Muayyad M Ahmad","doi":"10.4274/ejbh.galenos.2025.2025-2-14","DOIUrl":null,"url":null,"abstract":"<p><strong>Objective: </strong>Over the recent years, machine learning (ML) models have been increasingly used in predicting breast cancer survival because of improvements in ML algorithms. However, cancer researchers still face a significant challenge in accurately predicting breast cancer patients' survival rates. The purpose was to predict breast cancer survival using a Bayesian network.</p><p><strong>Materials and methods: </strong>This retrospective study included 2,995 patients diagnosed with breast cancer and subsequently hospitalized between January 1, 2012, and December 30, 2024. SPSS Modeler version 18.0 was used to build prediction models. The data were randomly split into a training set (2,097 cases, 70%) and a test set (898 cases, 30%) for developing the Bayesian network model and predicting the overall survival of patients diagnosed with breast cancer. The model included demographic variables (age, marital status, and governorate), laboratory/clinical variables (hemoglobin level, white blood cell count, presence of hypertension, and diabetes mellitus) and the outcome variable, patient survival status (binary value: survived/died). The discriminative ability of models was evaluated by accuracy and the area under the curve (AUC) in terms of superior predictive performance for breast cancer outcomes.</p><p><strong>Results: </strong>The Bayesian model exhibited the best discriminatory performance among the nine models, with an AUC of 0.859 and the highest accuracy of 96.661%. In the context of feature importance, white blood cell value at the time of diagnosis was the most important feature for predicting the survival of breast cancer. Patients who had below-normal hemoglobin and above-normal white blood count values had a higher death probability than patients who had normal white blood count and hemoglobin values. The presence of hypertension and diabetes mellitus in patients with breast cancer led to a reduced survival probability.</p><p><strong>Conclusion: </strong>The Bayesian model outperformed the other models in predicting the survival probability of breast cancer. Routine laboratory testing and demographic data can be included in a ML model to predict breast cancer survival. Accurate prediction of breast cancer survival is vital for clinical decision-making.</p>","PeriodicalId":93996,"journal":{"name":"European journal of breast health","volume":" ","pages":"255-264"},"PeriodicalIF":1.7000,"publicationDate":"2025-06-20","publicationTypes":"Journal Article","fieldsOfStudy":null,"isOpenAccess":false,"openAccessPdf":"https://www.ncbi.nlm.nih.gov/pmc/articles/PMC12180110/pdf/","citationCount":"0","resultStr":"{\"title\":\"Bayesian Model Prediction for Breast Cancer Survival: A Retrospective Analysis.\",\"authors\":\"Islam Bani Mohammad, Muayyad M Ahmad\",\"doi\":\"10.4274/ejbh.galenos.2025.2025-2-14\",\"DOIUrl\":null,\"url\":null,\"abstract\":\"<p><strong>Objective: </strong>Over the recent years, machine learning (ML) models have been increasingly used in predicting breast cancer survival because of improvements in ML algorithms. However, cancer researchers still face a significant challenge in accurately predicting breast cancer patients' survival rates. The purpose was to predict breast cancer survival using a Bayesian network.</p><p><strong>Materials and methods: </strong>This retrospective study included 2,995 patients diagnosed with breast cancer and subsequently hospitalized between January 1, 2012, and December 30, 2024. SPSS Modeler version 18.0 was used to build prediction models. The data were randomly split into a training set (2,097 cases, 70%) and a test set (898 cases, 30%) for developing the Bayesian network model and predicting the overall survival of patients diagnosed with breast cancer. The model included demographic variables (age, marital status, and governorate), laboratory/clinical variables (hemoglobin level, white blood cell count, presence of hypertension, and diabetes mellitus) and the outcome variable, patient survival status (binary value: survived/died). The discriminative ability of models was evaluated by accuracy and the area under the curve (AUC) in terms of superior predictive performance for breast cancer outcomes.</p><p><strong>Results: </strong>The Bayesian model exhibited the best discriminatory performance among the nine models, with an AUC of 0.859 and the highest accuracy of 96.661%. In the context of feature importance, white blood cell value at the time of diagnosis was the most important feature for predicting the survival of breast cancer. Patients who had below-normal hemoglobin and above-normal white blood count values had a higher death probability than patients who had normal white blood count and hemoglobin values. The presence of hypertension and diabetes mellitus in patients with breast cancer led to a reduced survival probability.</p><p><strong>Conclusion: </strong>The Bayesian model outperformed the other models in predicting the survival probability of breast cancer. Routine laboratory testing and demographic data can be included in a ML model to predict breast cancer survival. Accurate prediction of breast cancer survival is vital for clinical decision-making.</p>\",\"PeriodicalId\":93996,\"journal\":{\"name\":\"European journal of breast health\",\"volume\":\" \",\"pages\":\"255-264\"},\"PeriodicalIF\":1.7000,\"publicationDate\":\"2025-06-20\",\"publicationTypes\":\"Journal Article\",\"fieldsOfStudy\":null,\"isOpenAccess\":false,\"openAccessPdf\":\"https://www.ncbi.nlm.nih.gov/pmc/articles/PMC12180110/pdf/\",\"citationCount\":\"0\",\"resultStr\":null,\"platform\":\"Semanticscholar\",\"paperid\":null,\"PeriodicalName\":\"European journal of breast health\",\"FirstCategoryId\":\"1085\",\"ListUrlMain\":\"https://doi.org/10.4274/ejbh.galenos.2025.2025-2-14\",\"RegionNum\":0,\"RegionCategory\":null,\"ArticlePicture\":[],\"TitleCN\":null,\"AbstractTextCN\":null,\"PMCID\":null,\"EPubDate\":\"2025/5/27 0:00:00\",\"PubModel\":\"Epub\",\"JCR\":\"Q4\",\"JCRName\":\"ONCOLOGY\",\"Score\":null,\"Total\":0}","platform":"Semanticscholar","paperid":null,"PeriodicalName":"European journal of breast health","FirstCategoryId":"1085","ListUrlMain":"https://doi.org/10.4274/ejbh.galenos.2025.2025-2-14","RegionNum":0,"RegionCategory":null,"ArticlePicture":[],"TitleCN":null,"AbstractTextCN":null,"PMCID":null,"EPubDate":"2025/5/27 0:00:00","PubModel":"Epub","JCR":"Q4","JCRName":"ONCOLOGY","Score":null,"Total":0}
引用次数: 0

摘要

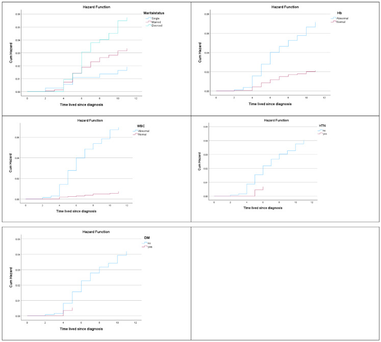
目的:近年来,由于机器学习算法的改进,机器学习(ML)模型越来越多地用于预测乳腺癌的生存。然而,癌症研究人员在准确预测乳腺癌患者存活率方面仍然面临着重大挑战。目的是利用贝叶斯网络预测乳腺癌患者的生存。材料与方法:本回顾性研究纳入2012年1月1日至2024年12月30日期间诊断为乳腺癌并随后住院的2995例患者。采用SPSS Modeler 18.0版本建立预测模型。数据被随机分成训练集(2097例,70%)和测试集(898例,30%),用于开发贝叶斯网络模型,预测乳腺癌确诊患者的总生存率。该模型包括人口统计学变量(年龄、婚姻状况和省份)、实验室/临床变量(血红蛋白水平、白细胞计数、高血压和糖尿病的存在)和结局变量(患者生存状态)(二值:存活/死亡)。模型的判别能力是通过准确性和曲线下面积(AUC)来评估的,这是对乳腺癌预后的优越预测性能。结果:贝叶斯模型在9个模型中表现出最好的判别性能,AUC为0.859,准确率最高为96.661%。在特征重要性的背景下,诊断时的白细胞值是预测乳腺癌生存的最重要特征。血红蛋白低于正常值而白细胞计数高于正常值的患者比白细胞计数和血红蛋白正常值的患者死亡概率更高。合并高血压和糖尿病的乳腺癌患者生存率降低。结论:贝叶斯模型在预测乳腺癌生存率方面优于其他模型。常规实验室检测和人口统计数据可以包括在ML模型中,以预测乳腺癌的生存。准确预测乳腺癌的生存对临床决策至关重要。
本文章由计算机程序翻译,如有差异,请以英文原文为准。

Bayesian Model Prediction for Breast Cancer Survival: A Retrospective Analysis.

Bayesian Model Prediction for Breast Cancer Survival: A Retrospective Analysis.

Bayesian Model Prediction for Breast Cancer Survival: A Retrospective Analysis.

Bayesian Model Prediction for Breast Cancer Survival: A Retrospective Analysis.

Objective: Over the recent years, machine learning (ML) models have been increasingly used in predicting breast cancer survival because of improvements in ML algorithms. However, cancer researchers still face a significant challenge in accurately predicting breast cancer patients' survival rates. The purpose was to predict breast cancer survival using a Bayesian network.

Materials and methods: This retrospective study included 2,995 patients diagnosed with breast cancer and subsequently hospitalized between January 1, 2012, and December 30, 2024. SPSS Modeler version 18.0 was used to build prediction models. The data were randomly split into a training set (2,097 cases, 70%) and a test set (898 cases, 30%) for developing the Bayesian network model and predicting the overall survival of patients diagnosed with breast cancer. The model included demographic variables (age, marital status, and governorate), laboratory/clinical variables (hemoglobin level, white blood cell count, presence of hypertension, and diabetes mellitus) and the outcome variable, patient survival status (binary value: survived/died). The discriminative ability of models was evaluated by accuracy and the area under the curve (AUC) in terms of superior predictive performance for breast cancer outcomes.

Results: The Bayesian model exhibited the best discriminatory performance among the nine models, with an AUC of 0.859 and the highest accuracy of 96.661%. In the context of feature importance, white blood cell value at the time of diagnosis was the most important feature for predicting the survival of breast cancer. Patients who had below-normal hemoglobin and above-normal white blood count values had a higher death probability than patients who had normal white blood count and hemoglobin values. The presence of hypertension and diabetes mellitus in patients with breast cancer led to a reduced survival probability.

Conclusion: The Bayesian model outperformed the other models in predicting the survival probability of breast cancer. Routine laboratory testing and demographic data can be included in a ML model to predict breast cancer survival. Accurate prediction of breast cancer survival is vital for clinical decision-making.

求助全文
通过发布文献求助,成功后即可免费获取论文全文。 去求助
来源期刊
CiteScore
2.60
自引率
0.00%
发文量
0
×
引用
GB/T 7714-2015
复制
MLA
复制
APA
复制
导出至
BibTeX EndNote RefMan NoteFirst NoteExpress
×
提示
您的信息不完整,为了账户安全,请先补充。
现在去补充
×
提示
您因"违规操作"
具体请查看互助需知
我知道了
×
提示
确定
请完成安全验证×
copy
已复制链接
快去分享给好友吧!
我知道了
右上角分享
点击右上角分享
0
联系我们:info@booksci.cn Book学术提供免费学术资源搜索服务,方便国内外学者检索中英文文献。致力于提供最便捷和优质的服务体验。 Copyright © 2023 布克学术 All rights reserved.
京ICP备2023020795号-1
ghs 京公网安备 11010802042870号
Book学术文献互助
Book学术文献互助群
群 号:604180095
Book学术官方微信