尿NGAL在预测DCD肾移植功能方面优于99mTc-MAG3肾造影。

IF 3 3区 医学 Q1 SURGERY
Transplant International Pub Date : 2025-05-12 eCollection Date: 2025-01-01 DOI:10.3389/ti.2025.13818
Esther N M de Rooij, Tirsa T van Duijl, Ellen K Hoogeveen, Fred P H T M Romijn, Friedo W Dekker, Cees van Kooten, Christa M Cobbaert, Johan W de Fijter
{"title":"尿NGAL在预测DCD肾移植功能方面优于99mTc-MAG3肾造影。","authors":"Esther N M de Rooij, Tirsa T van Duijl, Ellen K Hoogeveen, Fred P H T M Romijn, Friedo W Dekker, Cees van Kooten, Christa M Cobbaert, Johan W de Fijter","doi":"10.3389/ti.2025.13818","DOIUrl":null,"url":null,"abstract":"<p><p>Recipients of donation after circulatory death (DCD) kidneys are at high risk for delayed graft function (DGF) due to severe ischemia-reperfusion injury. We compared urinary biomarkers in predicting the duration of DGF with the tubular function slope (TFS) as the gold standard. In 89 DCD kidney transplant recipients, urinary TIMP-2, IGFBP7, B2M, NGAL, KIM1, CXCL9, and UMOD were quantified by LC-MS/MS analysis on postoperative days (PODs) 1, 4 and 10. Interstitial fibrosis and tubular atrophy (IF/TA) were assessed with protocol biopsies at POD 10. TFS was calculated with <sup>99m</sup>Tc-MAG3 renography. Predictive performance was compared with AUCs from ROC analyses. Of all 89 recipients, 22% experienced no (<7), 22% mild (≥7-14), 29% moderate (≥14-<21) and 26% severe (≥21 days) fDGF. The OR for the presence of IF/TA was 1.9 (95% CI:0.4; 10.0) for mild to moderate and 15.0 (95% CI:2.7; 84.8) for severe compared to no fDGF. At POD 4, urinary NGAL and fractional NGAL excretion (FE-NGAL) outperformed TFS and other biomarkers in predicting fDGF with AUCs of 0.97, 0.98 and 0.92, respectively. At POD10, FE-NGAL and PCR best predicted severe vs<i>.</i> mild to moderate fDGF, with AUCs of 0.74 and 0.76 versus 0.65 for TFS. Therefore, urinary NGAL and FE-NGAL may provide a viable alternative to <sup>99m</sup>TcMAG3 renography for monitoring fDGF clearance or guiding kidney transplant biopsy to exclude additional acute rejection.</p>","PeriodicalId":23343,"journal":{"name":"Transplant International","volume":"38 ","pages":"13818"},"PeriodicalIF":3.0000,"publicationDate":"2025-05-12","publicationTypes":"Journal Article","fieldsOfStudy":null,"isOpenAccess":false,"openAccessPdf":"https://www.ncbi.nlm.nih.gov/pmc/articles/PMC12104080/pdf/","citationCount":"0","resultStr":"{\"title\":\"Urinary NGAL Outperforms <sup>99m</sup>Tc-MAG3 Renography in Predicting DCD Kidney Graft Function.\",\"authors\":\"Esther N M de Rooij, Tirsa T van Duijl, Ellen K Hoogeveen, Fred P H T M Romijn, Friedo W Dekker, Cees van Kooten, Christa M Cobbaert, Johan W de Fijter\",\"doi\":\"10.3389/ti.2025.13818\",\"DOIUrl\":null,\"url\":null,\"abstract\":\"<p><p>Recipients of donation after circulatory death (DCD) kidneys are at high risk for delayed graft function (DGF) due to severe ischemia-reperfusion injury. We compared urinary biomarkers in predicting the duration of DGF with the tubular function slope (TFS) as the gold standard. In 89 DCD kidney transplant recipients, urinary TIMP-2, IGFBP7, B2M, NGAL, KIM1, CXCL9, and UMOD were quantified by LC-MS/MS analysis on postoperative days (PODs) 1, 4 and 10. Interstitial fibrosis and tubular atrophy (IF/TA) were assessed with protocol biopsies at POD 10. TFS was calculated with <sup>99m</sup>Tc-MAG3 renography. Predictive performance was compared with AUCs from ROC analyses. Of all 89 recipients, 22% experienced no (<7), 22% mild (≥7-14), 29% moderate (≥14-<21) and 26% severe (≥21 days) fDGF. The OR for the presence of IF/TA was 1.9 (95% CI:0.4; 10.0) for mild to moderate and 15.0 (95% CI:2.7; 84.8) for severe compared to no fDGF. At POD 4, urinary NGAL and fractional NGAL excretion (FE-NGAL) outperformed TFS and other biomarkers in predicting fDGF with AUCs of 0.97, 0.98 and 0.92, respectively. At POD10, FE-NGAL and PCR best predicted severe vs<i>.</i> mild to moderate fDGF, with AUCs of 0.74 and 0.76 versus 0.65 for TFS. Therefore, urinary NGAL and FE-NGAL may provide a viable alternative to <sup>99m</sup>TcMAG3 renography for monitoring fDGF clearance or guiding kidney transplant biopsy to exclude additional acute rejection.</p>\",\"PeriodicalId\":23343,\"journal\":{\"name\":\"Transplant International\",\"volume\":\"38 \",\"pages\":\"13818\"},\"PeriodicalIF\":3.0000,\"publicationDate\":\"2025-05-12\",\"publicationTypes\":\"Journal Article\",\"fieldsOfStudy\":null,\"isOpenAccess\":false,\"openAccessPdf\":\"https://www.ncbi.nlm.nih.gov/pmc/articles/PMC12104080/pdf/\",\"citationCount\":\"0\",\"resultStr\":null,\"platform\":\"Semanticscholar\",\"paperid\":null,\"PeriodicalName\":\"Transplant International\",\"FirstCategoryId\":\"3\",\"ListUrlMain\":\"https://doi.org/10.3389/ti.2025.13818\",\"RegionNum\":3,\"RegionCategory\":\"医学\",\"ArticlePicture\":[],\"TitleCN\":null,\"AbstractTextCN\":null,\"PMCID\":null,\"EPubDate\":\"2025/1/1 0:00:00\",\"PubModel\":\"eCollection\",\"JCR\":\"Q1\",\"JCRName\":\"SURGERY\",\"Score\":null,\"Total\":0}","platform":"Semanticscholar","paperid":null,"PeriodicalName":"Transplant International","FirstCategoryId":"3","ListUrlMain":"https://doi.org/10.3389/ti.2025.13818","RegionNum":3,"RegionCategory":"医学","ArticlePicture":[],"TitleCN":null,"AbstractTextCN":null,"PMCID":null,"EPubDate":"2025/1/1 0:00:00","PubModel":"eCollection","JCR":"Q1","JCRName":"SURGERY","Score":null,"Total":0}
引用次数: 0

摘要

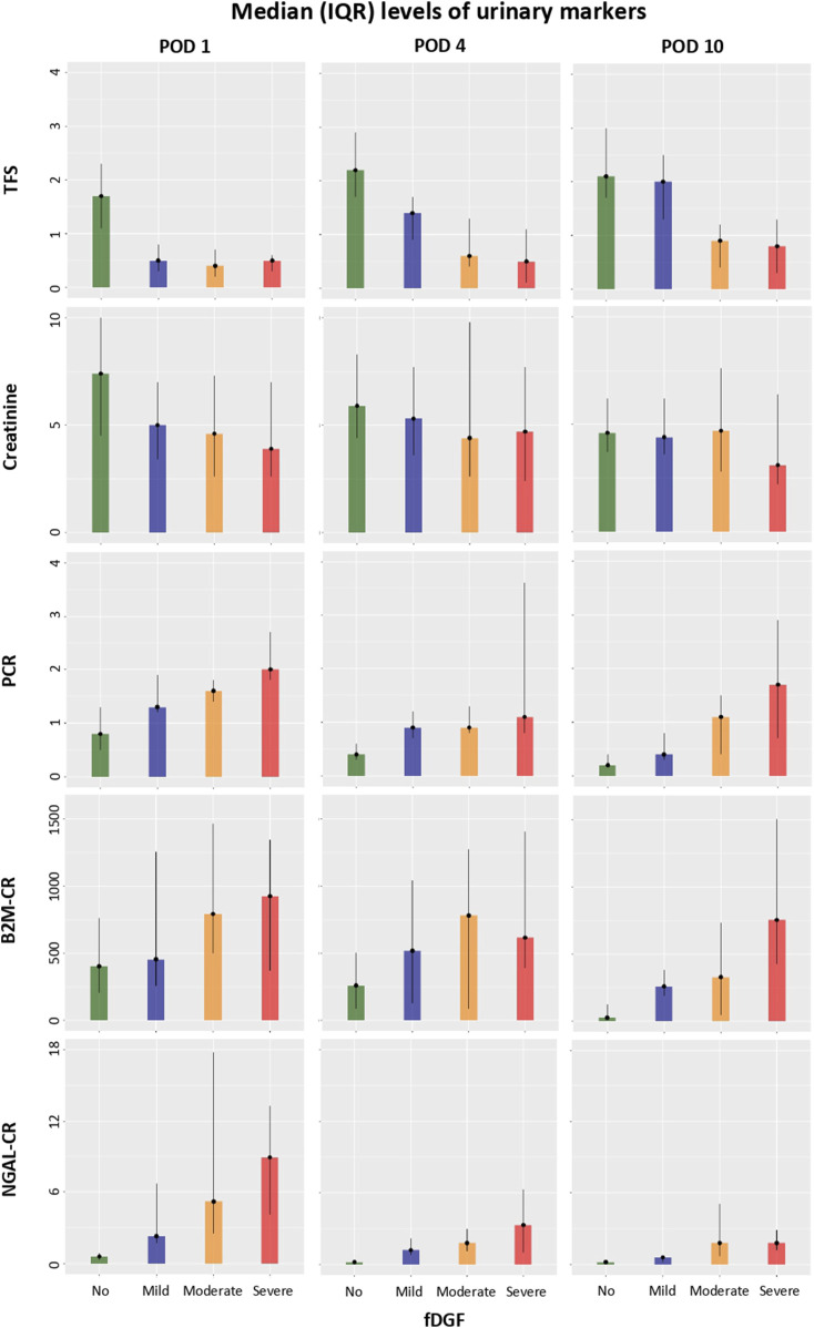
由于严重的缺血再灌注损伤,肾循环死亡(DCD)后捐赠肾的受者存在移植物功能延迟(DGF)的高风险。我们比较了尿液生物标志物在预测DGF持续时间方面与肾小管功能斜率(TFS)作为金标准。89例DCD肾移植受者在术后第1、4、10天采用LC-MS/MS法定量测定尿TIMP-2、IGFBP7、B2M、NGAL、KIM1、CXCL9和UMOD。间质纤维化和小管萎缩(IF/TA)在POD 10时通过方案活检进行评估。用99mTc-MAG3肾显像计算TFS。预测性能与ROC分析的auc进行比较。在所有89名接受者中,22%的人没有经历过疼痛。轻度至中度fDGF, auc分别为0.74和0.76,而TFS为0.65。因此,尿NGAL和FE-NGAL可能是99mTcMAG3肾脏造影监测fDGF清除或指导肾移植活检排除额外急性排斥反应的可行替代方法。
本文章由计算机程序翻译,如有差异,请以英文原文为准。

Urinary NGAL Outperforms <sup>99m</sup>Tc-MAG3 Renography in Predicting DCD Kidney Graft Function.

Urinary NGAL Outperforms <sup>99m</sup>Tc-MAG3 Renography in Predicting DCD Kidney Graft Function.

Urinary NGAL Outperforms <sup>99m</sup>Tc-MAG3 Renography in Predicting DCD Kidney Graft Function.

Urinary NGAL Outperforms 99mTc-MAG3 Renography in Predicting DCD Kidney Graft Function.

Recipients of donation after circulatory death (DCD) kidneys are at high risk for delayed graft function (DGF) due to severe ischemia-reperfusion injury. We compared urinary biomarkers in predicting the duration of DGF with the tubular function slope (TFS) as the gold standard. In 89 DCD kidney transplant recipients, urinary TIMP-2, IGFBP7, B2M, NGAL, KIM1, CXCL9, and UMOD were quantified by LC-MS/MS analysis on postoperative days (PODs) 1, 4 and 10. Interstitial fibrosis and tubular atrophy (IF/TA) were assessed with protocol biopsies at POD 10. TFS was calculated with 99mTc-MAG3 renography. Predictive performance was compared with AUCs from ROC analyses. Of all 89 recipients, 22% experienced no (<7), 22% mild (≥7-14), 29% moderate (≥14-<21) and 26% severe (≥21 days) fDGF. The OR for the presence of IF/TA was 1.9 (95% CI:0.4; 10.0) for mild to moderate and 15.0 (95% CI:2.7; 84.8) for severe compared to no fDGF. At POD 4, urinary NGAL and fractional NGAL excretion (FE-NGAL) outperformed TFS and other biomarkers in predicting fDGF with AUCs of 0.97, 0.98 and 0.92, respectively. At POD10, FE-NGAL and PCR best predicted severe vs. mild to moderate fDGF, with AUCs of 0.74 and 0.76 versus 0.65 for TFS. Therefore, urinary NGAL and FE-NGAL may provide a viable alternative to 99mTcMAG3 renography for monitoring fDGF clearance or guiding kidney transplant biopsy to exclude additional acute rejection.

求助全文
通过发布文献求助,成功后即可免费获取论文全文。 去求助
来源期刊
Transplant International
Transplant International 医学-外科
CiteScore
4.70
自引率
6.50%
发文量
211
审稿时长
3-8 weeks
期刊介绍: The aim of the journal is to serve as a forum for the exchange of scientific information in the form of original and high quality papers in the field of transplantation. Clinical and experimental studies, as well as editorials, letters to the editors, and, occasionally, reviews on the biology, physiology, and immunology of transplantation of tissues and organs, are published. Publishing time for the latter is approximately six months, provided major revisions are not needed. The journal is published in yearly volumes, each volume containing twelve issues. Papers submitted to the journal are subject to peer review.
×
引用
GB/T 7714-2015
复制
MLA
复制
APA
复制
导出至
BibTeX EndNote RefMan NoteFirst NoteExpress
×
提示
您的信息不完整,为了账户安全,请先补充。
现在去补充
×
提示
您因"违规操作"
具体请查看互助需知
我知道了
×
提示
确定
请完成安全验证×
copy
已复制链接
快去分享给好友吧!
我知道了
右上角分享
点击右上角分享
0
联系我们:info@booksci.cn Book学术提供免费学术资源搜索服务,方便国内外学者检索中英文文献。致力于提供最便捷和优质的服务体验。 Copyright © 2023 布克学术 All rights reserved.
京ICP备2023020795号-1
ghs 京公网安备 11010802042870号
Book学术文献互助
Book学术文献互助群
群 号:604180095
Book学术官方微信