调整衬底温度增强真空沉积宽带隙钙钛矿太阳能电池:从形态学,电荷输运和漂移扩散模拟的见解。

EES solar Pub Date : 2025-05-14 eCollection Date: 2025-06-23 DOI:10.1039/d5el00021a
Lidón Gil-Escrig, Jasmeen Nespoli, Fransien D Elhorst, Federico Ventosinos, Cristina Roldán-Carmona, L Jan Anton Koster, Tom J Savenije, Michele Sessolo, Henk J Bolink
{"title":"调整衬底温度增强真空沉积宽带隙钙钛矿太阳能电池:从形态学,电荷输运和漂移扩散模拟的见解。","authors":"Lidón Gil-Escrig, Jasmeen Nespoli, Fransien D Elhorst, Federico Ventosinos, Cristina Roldán-Carmona, L Jan Anton Koster, Tom J Savenije, Michele Sessolo, Henk J Bolink","doi":"10.1039/d5el00021a","DOIUrl":null,"url":null,"abstract":"<p><p>The efficiency of vacuum-processed perovskite solar cells lags behind that of solution-processed devices, partially because of the limited spectrum of deposition parameters that can be controlled during deposition. Substrate temperature is in principle a powerful tool to control the condensation and crystallization of thin films, but has been scarcely investigated for perovskites. This study systematically investigates the effect of substrate temperature on the deposition of the wide-bandgap perovskite Cs<sub>0.2</sub>FA<sub>0.8</sub>Pb(I<sub>0.8</sub>Br<sub>0.2</sub>)<sub>3</sub>. We observe temperature-dependent morphological changes linked to variations in the adhesion coefficient of formamidinium iodide. Optical, structural, and optoelectronic analyses reveal that increasing the substrate temperature from -20 °C to 75 °C enhances charge carrier mobility and recombination lifetime by an order of magnitude. However, these improvements do not directly translate into better device performance due to competing factors such as morphology, interface energetics, and trap densities. Using drift-diffusion simulations, we identify key performance-limiting parameters, including ion mobility and charge trapping at interfaces and in the bulk. By optimizing the organic/inorganic deposition rate at -20 °C, we achieve state-of-the-art efficient wide-bandgap perovskite solar cells with enhanced thermal stability. This study highlights substrate temperature as a crucial parameter for improving material quality and device performance in vapor-deposited perovskites.</p>","PeriodicalId":520395,"journal":{"name":"EES solar","volume":" ","pages":"391-403"},"PeriodicalIF":0.0000,"publicationDate":"2025-05-14","publicationTypes":"Journal Article","fieldsOfStudy":null,"isOpenAccess":false,"openAccessPdf":"https://www.ncbi.nlm.nih.gov/pmc/articles/PMC12093137/pdf/","citationCount":"0","resultStr":"{\"title\":\"Tuning substrate temperature for enhanced vacuum-deposited wide-bandgap perovskite solar cells: insights from morphology, charge transport, and drift-diffusion simulations.\",\"authors\":\"Lidón Gil-Escrig, Jasmeen Nespoli, Fransien D Elhorst, Federico Ventosinos, Cristina Roldán-Carmona, L Jan Anton Koster, Tom J Savenije, Michele Sessolo, Henk J Bolink\",\"doi\":\"10.1039/d5el00021a\",\"DOIUrl\":null,\"url\":null,\"abstract\":\"<p><p>The efficiency of vacuum-processed perovskite solar cells lags behind that of solution-processed devices, partially because of the limited spectrum of deposition parameters that can be controlled during deposition. Substrate temperature is in principle a powerful tool to control the condensation and crystallization of thin films, but has been scarcely investigated for perovskites. This study systematically investigates the effect of substrate temperature on the deposition of the wide-bandgap perovskite Cs<sub>0.2</sub>FA<sub>0.8</sub>Pb(I<sub>0.8</sub>Br<sub>0.2</sub>)<sub>3</sub>. We observe temperature-dependent morphological changes linked to variations in the adhesion coefficient of formamidinium iodide. Optical, structural, and optoelectronic analyses reveal that increasing the substrate temperature from -20 °C to 75 °C enhances charge carrier mobility and recombination lifetime by an order of magnitude. However, these improvements do not directly translate into better device performance due to competing factors such as morphology, interface energetics, and trap densities. Using drift-diffusion simulations, we identify key performance-limiting parameters, including ion mobility and charge trapping at interfaces and in the bulk. By optimizing the organic/inorganic deposition rate at -20 °C, we achieve state-of-the-art efficient wide-bandgap perovskite solar cells with enhanced thermal stability. This study highlights substrate temperature as a crucial parameter for improving material quality and device performance in vapor-deposited perovskites.</p>\",\"PeriodicalId\":520395,\"journal\":{\"name\":\"EES solar\",\"volume\":\" \",\"pages\":\"391-403\"},\"PeriodicalIF\":0.0000,\"publicationDate\":\"2025-05-14\",\"publicationTypes\":\"Journal Article\",\"fieldsOfStudy\":null,\"isOpenAccess\":false,\"openAccessPdf\":\"https://www.ncbi.nlm.nih.gov/pmc/articles/PMC12093137/pdf/\",\"citationCount\":\"0\",\"resultStr\":null,\"platform\":\"Semanticscholar\",\"paperid\":null,\"PeriodicalName\":\"EES solar\",\"FirstCategoryId\":\"1085\",\"ListUrlMain\":\"https://doi.org/10.1039/d5el00021a\",\"RegionNum\":0,\"RegionCategory\":null,\"ArticlePicture\":[],\"TitleCN\":null,\"AbstractTextCN\":null,\"PMCID\":null,\"EPubDate\":\"2025/6/23 0:00:00\",\"PubModel\":\"eCollection\",\"JCR\":\"\",\"JCRName\":\"\",\"Score\":null,\"Total\":0}","platform":"Semanticscholar","paperid":null,"PeriodicalName":"EES solar","FirstCategoryId":"1085","ListUrlMain":"https://doi.org/10.1039/d5el00021a","RegionNum":0,"RegionCategory":null,"ArticlePicture":[],"TitleCN":null,"AbstractTextCN":null,"PMCID":null,"EPubDate":"2025/6/23 0:00:00","PubModel":"eCollection","JCR":"","JCRName":"","Score":null,"Total":0}
引用次数: 0

摘要

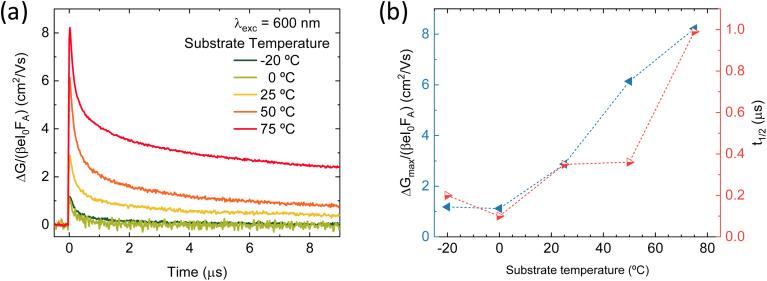
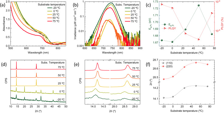
真空处理的钙钛矿太阳能电池的效率落后于溶液处理的设备,部分原因是沉积过程中可以控制的沉积参数谱有限。衬底温度原则上是控制薄膜凝结和结晶的有力工具,但对钙钛矿的研究很少。本研究系统地研究了衬底温度对宽禁带钙钛矿Cs0.2FA0.8Pb(I0.8Br0.2)3沉积的影响。我们观察到温度依赖的形态变化与甲酸脒的附着系数的变化有关。光学、结构和光电子分析表明,将衬底温度从-20°C增加到75°C,电荷载流子迁移率和复合寿命提高了一个数量级。然而,由于形貌、界面能量学和陷阱密度等竞争因素的影响,这些改进并不能直接转化为更好的器件性能。通过漂移扩散模拟,我们确定了关键的性能限制参数,包括离子迁移率和界面和体中的电荷捕获。通过优化在-20°C下的有机/无机沉积速率,我们获得了具有增强热稳定性的最先进的高效宽带隙钙钛矿太阳能电池。本研究强调衬底温度是改善气相沉积钙钛矿材料质量和器件性能的关键参数。
本文章由计算机程序翻译,如有差异,请以英文原文为准。

Tuning substrate temperature for enhanced vacuum-deposited wide-bandgap perovskite solar cells: insights from morphology, charge transport, and drift-diffusion simulations.

Tuning substrate temperature for enhanced vacuum-deposited wide-bandgap perovskite solar cells: insights from morphology, charge transport, and drift-diffusion simulations.

Tuning substrate temperature for enhanced vacuum-deposited wide-bandgap perovskite solar cells: insights from morphology, charge transport, and drift-diffusion simulations.

Tuning substrate temperature for enhanced vacuum-deposited wide-bandgap perovskite solar cells: insights from morphology, charge transport, and drift-diffusion simulations.

The efficiency of vacuum-processed perovskite solar cells lags behind that of solution-processed devices, partially because of the limited spectrum of deposition parameters that can be controlled during deposition. Substrate temperature is in principle a powerful tool to control the condensation and crystallization of thin films, but has been scarcely investigated for perovskites. This study systematically investigates the effect of substrate temperature on the deposition of the wide-bandgap perovskite Cs0.2FA0.8Pb(I0.8Br0.2)3. We observe temperature-dependent morphological changes linked to variations in the adhesion coefficient of formamidinium iodide. Optical, structural, and optoelectronic analyses reveal that increasing the substrate temperature from -20 °C to 75 °C enhances charge carrier mobility and recombination lifetime by an order of magnitude. However, these improvements do not directly translate into better device performance due to competing factors such as morphology, interface energetics, and trap densities. Using drift-diffusion simulations, we identify key performance-limiting parameters, including ion mobility and charge trapping at interfaces and in the bulk. By optimizing the organic/inorganic deposition rate at -20 °C, we achieve state-of-the-art efficient wide-bandgap perovskite solar cells with enhanced thermal stability. This study highlights substrate temperature as a crucial parameter for improving material quality and device performance in vapor-deposited perovskites.

求助全文
通过发布文献求助,成功后即可免费获取论文全文。 去求助
来源期刊
自引率
0.00%
发文量
0
×
引用
GB/T 7714-2015
复制
MLA
复制
APA
复制
导出至
BibTeX EndNote RefMan NoteFirst NoteExpress
×
提示
您的信息不完整,为了账户安全,请先补充。
现在去补充
×
提示
您因"违规操作"
具体请查看互助需知
我知道了
×
提示
确定
请完成安全验证×
copy
已复制链接
快去分享给好友吧!
我知道了
右上角分享
点击右上角分享
0
联系我们:info@booksci.cn Book学术提供免费学术资源搜索服务,方便国内外学者检索中英文文献。致力于提供最便捷和优质的服务体验。 Copyright © 2023 布克学术 All rights reserved.
京ICP备2023020795号-1
ghs 京公网安备 11010802042870号
Book学术文献互助
Book学术文献互助群
群 号:604180095
Book学术官方微信