莱斯特咳嗽问卷的生理、心理和社会领域之间的不平衡关联:网络和中介分析。

IF 3 Q2 RESPIRATORY SYSTEM
Tuberculosis and Respiratory Diseases Pub Date : 2025-07-01 Epub Date: 2025-05-26 DOI:10.4046/trd.2025.0031
Jieun Kang, Jiyeon Kang, Sung Jun Chung, Hyung Koo Kang, Sung-Soon Lee, Yun-Jeong Jeong, Ji-Yong Moon, Deog Kyeom Kim, Jin Woo Kim, Seung Hun Jang, Jae-Woo Kwon, Byung-Jae Lee, Hyeon-Kyoung Koo
{"title":"莱斯特咳嗽问卷的生理、心理和社会领域之间的不平衡关联:网络和中介分析。","authors":"Jieun Kang, Jiyeon Kang, Sung Jun Chung, Hyung Koo Kang, Sung-Soon Lee, Yun-Jeong Jeong, Ji-Yong Moon, Deog Kyeom Kim, Jin Woo Kim, Seung Hun Jang, Jae-Woo Kwon, Byung-Jae Lee, Hyeon-Kyoung Koo","doi":"10.4046/trd.2025.0031","DOIUrl":null,"url":null,"abstract":"<p><strong>Background: </strong>The Leicester Cough Questionnaire (LCQ) is a validated instrument for evaluating cough-related impairments within three domains: physical, psychological, and social. This study investigated how the physical, psychological, and social domains of chronic cough are interrelated using the LCQ.</p><p><strong>Methods: </strong>Adult patients with chronic cough from 16 respiratory centers who completed the LCQ and underwent diagnostic workup were retrospectively reviewed. Spearman's rank correlation was used to examine the correlations among LCQ items across the physical, psychological, and social domains. Causal mediation analysis was performed to partition the total effect between domains into direct and indirect effects mediated by the third domain. The mediation analysis findings were subsequently validated in an independent cohort.</p><p><strong>Results: </strong>Network analysis of LCQ items identified distinct patterns for each domain. Items in the physical domain showed weaker correlations both within and between domains compared to the psychological and social domains. In contrast, items in the psychological and social domains exhibited strong interrelationships. Mediation analysis demonstrated that direct effects from one domain to another differed among the three domains. The overall estimated effects of the physical domain on the social and psychological domains were largely mediated by the psychological (76.1%) and social domains (67.1%), respectively. Conversely, the mediating effect of the physical domain on the psychological and social domains was minimal, accounting for only 12.8% and 18.0%, respectively.</p><p><strong>Conclusion: </strong>Given the strong correlations and impact of the psychological and social domains, it is recommended that a thorough evaluation including psychosocial factors be incorporated into the management of chronic cough.</p>","PeriodicalId":23368,"journal":{"name":"Tuberculosis and Respiratory Diseases","volume":" ","pages":"591-598"},"PeriodicalIF":3.0000,"publicationDate":"2025-07-01","publicationTypes":"Journal Article","fieldsOfStudy":null,"isOpenAccess":false,"openAccessPdf":"https://www.ncbi.nlm.nih.gov/pmc/articles/PMC12235295/pdf/","citationCount":"0","resultStr":"{\"title\":\"Unbalanced Associations between Physical, Psychological, and Social Domains of the Leicester Cough Questionnaire: Network and Mediation Analyses.\",\"authors\":\"Jieun Kang, Jiyeon Kang, Sung Jun Chung, Hyung Koo Kang, Sung-Soon Lee, Yun-Jeong Jeong, Ji-Yong Moon, Deog Kyeom Kim, Jin Woo Kim, Seung Hun Jang, Jae-Woo Kwon, Byung-Jae Lee, Hyeon-Kyoung Koo\",\"doi\":\"10.4046/trd.2025.0031\",\"DOIUrl\":null,\"url\":null,\"abstract\":\"<p><strong>Background: </strong>The Leicester Cough Questionnaire (LCQ) is a validated instrument for evaluating cough-related impairments within three domains: physical, psychological, and social. This study investigated how the physical, psychological, and social domains of chronic cough are interrelated using the LCQ.</p><p><strong>Methods: </strong>Adult patients with chronic cough from 16 respiratory centers who completed the LCQ and underwent diagnostic workup were retrospectively reviewed. Spearman's rank correlation was used to examine the correlations among LCQ items across the physical, psychological, and social domains. Causal mediation analysis was performed to partition the total effect between domains into direct and indirect effects mediated by the third domain. The mediation analysis findings were subsequently validated in an independent cohort.</p><p><strong>Results: </strong>Network analysis of LCQ items identified distinct patterns for each domain. Items in the physical domain showed weaker correlations both within and between domains compared to the psychological and social domains. In contrast, items in the psychological and social domains exhibited strong interrelationships. Mediation analysis demonstrated that direct effects from one domain to another differed among the three domains. The overall estimated effects of the physical domain on the social and psychological domains were largely mediated by the psychological (76.1%) and social domains (67.1%), respectively. Conversely, the mediating effect of the physical domain on the psychological and social domains was minimal, accounting for only 12.8% and 18.0%, respectively.</p><p><strong>Conclusion: </strong>Given the strong correlations and impact of the psychological and social domains, it is recommended that a thorough evaluation including psychosocial factors be incorporated into the management of chronic cough.</p>\",\"PeriodicalId\":23368,\"journal\":{\"name\":\"Tuberculosis and Respiratory Diseases\",\"volume\":\" \",\"pages\":\"591-598\"},\"PeriodicalIF\":3.0000,\"publicationDate\":\"2025-07-01\",\"publicationTypes\":\"Journal Article\",\"fieldsOfStudy\":null,\"isOpenAccess\":false,\"openAccessPdf\":\"https://www.ncbi.nlm.nih.gov/pmc/articles/PMC12235295/pdf/\",\"citationCount\":\"0\",\"resultStr\":null,\"platform\":\"Semanticscholar\",\"paperid\":null,\"PeriodicalName\":\"Tuberculosis and Respiratory Diseases\",\"FirstCategoryId\":\"1085\",\"ListUrlMain\":\"https://doi.org/10.4046/trd.2025.0031\",\"RegionNum\":0,\"RegionCategory\":null,\"ArticlePicture\":[],\"TitleCN\":null,\"AbstractTextCN\":null,\"PMCID\":null,\"EPubDate\":\"2025/5/26 0:00:00\",\"PubModel\":\"Epub\",\"JCR\":\"Q2\",\"JCRName\":\"RESPIRATORY SYSTEM\",\"Score\":null,\"Total\":0}","platform":"Semanticscholar","paperid":null,"PeriodicalName":"Tuberculosis and Respiratory Diseases","FirstCategoryId":"1085","ListUrlMain":"https://doi.org/10.4046/trd.2025.0031","RegionNum":0,"RegionCategory":null,"ArticlePicture":[],"TitleCN":null,"AbstractTextCN":null,"PMCID":null,"EPubDate":"2025/5/26 0:00:00","PubModel":"Epub","JCR":"Q2","JCRName":"RESPIRATORY SYSTEM","Score":null,"Total":0}
引用次数: 0

摘要

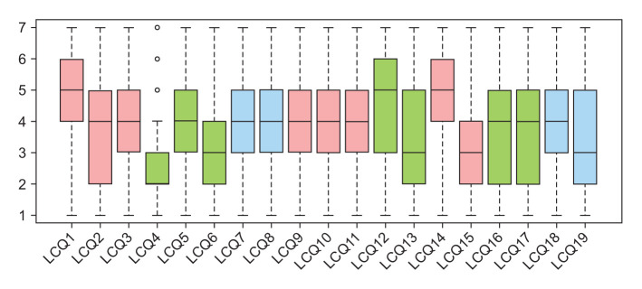
背景:莱斯特咳嗽问卷(LCQ)是评估咳嗽相关障碍的有效工具,涉及三个领域:身体、心理和社会。本研究利用LCQ探讨慢性咳嗽的生理、心理和社会领域之间的相互关系。方法:对16个呼吸中心完成LCQ和诊断检查的成年慢性咳嗽患者进行回顾性分析。采用Spearman秩相关分析来评估LCQ项目在生理、心理和社会领域之间的相关性。因果中介分析将各域间的总效应分解为直接效应和间接效应,并由第三域进行中介。中介分析的结果在独立队列中得到进一步验证。结果:网络分析显示,LCQ题项各域具有明显的特征。与心理和社会领域的项目相比,物理领域的项目表现出较弱的领域内和领域间的相关性。相反,在心理和社会领域的项目之间观察到很强的相关性。中介分析表明,从一个领域到另一个领域的直接影响在三个领域之间有所不同。生理领域对社会和心理领域的总影响分别主要由心理领域(76.1%)和社会领域(67.1%)介导。然而,物理领域对心理和社会领域的中介作用最小,分别仅贡献12.8%和18.0%。结论:考虑到心理和社会领域的强相关性和影响,治疗慢性咳嗽应考虑包括社会心理影响在内的综合评估。
本文章由计算机程序翻译,如有差异,请以英文原文为准。

Unbalanced Associations between Physical, Psychological, and Social Domains of the Leicester Cough Questionnaire: Network and Mediation Analyses.

Unbalanced Associations between Physical, Psychological, and Social Domains of the Leicester Cough Questionnaire: Network and Mediation Analyses.

Unbalanced Associations between Physical, Psychological, and Social Domains of the Leicester Cough Questionnaire: Network and Mediation Analyses.

Unbalanced Associations between Physical, Psychological, and Social Domains of the Leicester Cough Questionnaire: Network and Mediation Analyses.

Background: The Leicester Cough Questionnaire (LCQ) is a validated instrument for evaluating cough-related impairments within three domains: physical, psychological, and social. This study investigated how the physical, psychological, and social domains of chronic cough are interrelated using the LCQ.

Methods: Adult patients with chronic cough from 16 respiratory centers who completed the LCQ and underwent diagnostic workup were retrospectively reviewed. Spearman's rank correlation was used to examine the correlations among LCQ items across the physical, psychological, and social domains. Causal mediation analysis was performed to partition the total effect between domains into direct and indirect effects mediated by the third domain. The mediation analysis findings were subsequently validated in an independent cohort.

Results: Network analysis of LCQ items identified distinct patterns for each domain. Items in the physical domain showed weaker correlations both within and between domains compared to the psychological and social domains. In contrast, items in the psychological and social domains exhibited strong interrelationships. Mediation analysis demonstrated that direct effects from one domain to another differed among the three domains. The overall estimated effects of the physical domain on the social and psychological domains were largely mediated by the psychological (76.1%) and social domains (67.1%), respectively. Conversely, the mediating effect of the physical domain on the psychological and social domains was minimal, accounting for only 12.8% and 18.0%, respectively.

Conclusion: Given the strong correlations and impact of the psychological and social domains, it is recommended that a thorough evaluation including psychosocial factors be incorporated into the management of chronic cough.

求助全文
通过发布文献求助,成功后即可免费获取论文全文。 去求助
来源期刊
CiteScore
5.30
自引率
0.00%
发文量
42
审稿时长
12 weeks
×
引用
GB/T 7714-2015
复制
MLA
复制
APA
复制
导出至
BibTeX EndNote RefMan NoteFirst NoteExpress
×
提示
您的信息不完整,为了账户安全,请先补充。
现在去补充
×
提示
您因"违规操作"
具体请查看互助需知
我知道了
×
提示
确定
请完成安全验证×
copy
已复制链接
快去分享给好友吧!
我知道了
右上角分享
点击右上角分享
0
联系我们:info@booksci.cn Book学术提供免费学术资源搜索服务,方便国内外学者检索中英文文献。致力于提供最便捷和优质的服务体验。 Copyright © 2023 布克学术 All rights reserved.
京ICP备2023020795号-1
ghs 京公网安备 11010802042870号
Book学术文献互助
Book学术文献互助群
群 号:604180095
Book学术官方微信