丙型肝炎病毒清除对心血管风险的影响:来自台湾丙型肝炎病毒登记的真实世界经验。

IF 3.1
The Kaohsiung journal of medical sciences Pub Date : 2025-08-01 Epub Date: 2025-05-24 DOI:10.1002/kjm2.70036
Ping-Jen Hu, Pei-Chien Tsai, Chi-Yi Chen, Hsing-Tao Kuo, Chao-Hung Hung, Kuo-Chih Tseng, Hsueh-Chou Lai, Cheng-Yuan Peng, Jing-Houng Wang, Jyh-Jou Chen, Pei-Lun Lee, Rong-Nan Chien, Chi-Chieh Yang, Gin-Ho Lo, Jia-Horng Kao, Chun-Jen Liu, Chen-Hua Liu, Sheng-Lei Yan, Chun-Yen Lin, Wei-Wen Su, Cheng-Hsin Chu, Chih-Jen Chen, Shui-Yi Tung, Chi-Ming Tai, Chih-Wen Lin, Ching-Chu Lo, Pin-Nan Cheng, Yen-Cheng Chiu, Chia-Chi Wang, Jin-Shiung Cheng, Wei-Lun Tsai, Han-Chieh Lin, Yi-Hsiang Huang, Ming-Lun Yeh, Chung-Feng Huang, Meng-Hsuan Hsieh, Jee-Fu Huang, Chia-Yen Dai, Wan-Long Chung, Yen-Hsiange Wang, Ming-Lung Yu, Ming-Jong Bair
{"title":"丙型肝炎病毒清除对心血管风险的影响:来自台湾丙型肝炎病毒登记的真实世界经验。","authors":"Ping-Jen Hu, Pei-Chien Tsai, Chi-Yi Chen, Hsing-Tao Kuo, Chao-Hung Hung, Kuo-Chih Tseng, Hsueh-Chou Lai, Cheng-Yuan Peng, Jing-Houng Wang, Jyh-Jou Chen, Pei-Lun Lee, Rong-Nan Chien, Chi-Chieh Yang, Gin-Ho Lo, Jia-Horng Kao, Chun-Jen Liu, Chen-Hua Liu, Sheng-Lei Yan, Chun-Yen Lin, Wei-Wen Su, Cheng-Hsin Chu, Chih-Jen Chen, Shui-Yi Tung, Chi-Ming Tai, Chih-Wen Lin, Ching-Chu Lo, Pin-Nan Cheng, Yen-Cheng Chiu, Chia-Chi Wang, Jin-Shiung Cheng, Wei-Lun Tsai, Han-Chieh Lin, Yi-Hsiang Huang, Ming-Lun Yeh, Chung-Feng Huang, Meng-Hsuan Hsieh, Jee-Fu Huang, Chia-Yen Dai, Wan-Long Chung, Yen-Hsiange Wang, Ming-Lung Yu, Ming-Jong Bair","doi":"10.1002/kjm2.70036","DOIUrl":null,"url":null,"abstract":"<p><p>Hepatitis C virus (HCV) infection is associated with an increased risk of cardiovascular disease (CVD); however, the impact of interferon (IFN)-based therapy on cardiovascular outcomes remains unclear. This nationwide cohort study included 7411 patients with HCV from The Taiwanese Chronic Hepatitis C Cohort registry who received IFN-based therapy between 2003 and 2014. Patients were categorized into sustained virological response (SVR) (n = 5785) and non-SVR (n = 1676) groups. The incidence of new-onset CVD events, including stroke, coronary artery disease, heart failure, and arrhythmia, was assessed using three Cox proportional hazard models adjusted for different sets of confounding factors. The cumulative CVD incidence was comparable in the SVR and non-SVR groups (11.2% vs. 10.2%, p = 0.609). SVR was not significantly associated with a reduced overall CVD risk among the three models [hazards ratio (HR) = 0.88, 95% confidence interval (CI): 0.71-1.05, p = 0.158]. However, a lower risk of stroke was observed in patients who achieved an SVR, although the difference was not significant (HR = 0.84, 95% CI: 0.74-0.94). The results of the sensitivity analyses confirmed these findings. An SVR following IFN-based therapy did not substantially reduce the overall CVD risk; however, a potential reduction in stroke risk was observed. These results emphasize the importance of long-term cardiovascular risk assessments and highlight the need for further research, particularly in the direct-acting antiviral era in which increased cardiovascular benefits may be expected.</p>","PeriodicalId":94244,"journal":{"name":"The Kaohsiung journal of medical sciences","volume":" ","pages":"e70036"},"PeriodicalIF":3.1000,"publicationDate":"2025-08-01","publicationTypes":"Journal Article","fieldsOfStudy":null,"isOpenAccess":false,"openAccessPdf":"https://www.ncbi.nlm.nih.gov/pmc/articles/PMC12407379/pdf/","citationCount":"0","resultStr":"{\"title\":\"Impact of Hepatitis C Virus Clearance on Cardiovascular Risk: A Real-World Experience From the Nationwide Taiwan Hepatitis C Virus Registry.\",\"authors\":\"Ping-Jen Hu, Pei-Chien Tsai, Chi-Yi Chen, Hsing-Tao Kuo, Chao-Hung Hung, Kuo-Chih Tseng, Hsueh-Chou Lai, Cheng-Yuan Peng, Jing-Houng Wang, Jyh-Jou Chen, Pei-Lun Lee, Rong-Nan Chien, Chi-Chieh Yang, Gin-Ho Lo, Jia-Horng Kao, Chun-Jen Liu, Chen-Hua Liu, Sheng-Lei Yan, Chun-Yen Lin, Wei-Wen Su, Cheng-Hsin Chu, Chih-Jen Chen, Shui-Yi Tung, Chi-Ming Tai, Chih-Wen Lin, Ching-Chu Lo, Pin-Nan Cheng, Yen-Cheng Chiu, Chia-Chi Wang, Jin-Shiung Cheng, Wei-Lun Tsai, Han-Chieh Lin, Yi-Hsiang Huang, Ming-Lun Yeh, Chung-Feng Huang, Meng-Hsuan Hsieh, Jee-Fu Huang, Chia-Yen Dai, Wan-Long Chung, Yen-Hsiange Wang, Ming-Lung Yu, Ming-Jong Bair\",\"doi\":\"10.1002/kjm2.70036\",\"DOIUrl\":null,\"url\":null,\"abstract\":\"<p><p>Hepatitis C virus (HCV) infection is associated with an increased risk of cardiovascular disease (CVD); however, the impact of interferon (IFN)-based therapy on cardiovascular outcomes remains unclear. This nationwide cohort study included 7411 patients with HCV from The Taiwanese Chronic Hepatitis C Cohort registry who received IFN-based therapy between 2003 and 2014. Patients were categorized into sustained virological response (SVR) (n = 5785) and non-SVR (n = 1676) groups. The incidence of new-onset CVD events, including stroke, coronary artery disease, heart failure, and arrhythmia, was assessed using three Cox proportional hazard models adjusted for different sets of confounding factors. The cumulative CVD incidence was comparable in the SVR and non-SVR groups (11.2% vs. 10.2%, p = 0.609). SVR was not significantly associated with a reduced overall CVD risk among the three models [hazards ratio (HR) = 0.88, 95% confidence interval (CI): 0.71-1.05, p = 0.158]. However, a lower risk of stroke was observed in patients who achieved an SVR, although the difference was not significant (HR = 0.84, 95% CI: 0.74-0.94). The results of the sensitivity analyses confirmed these findings. An SVR following IFN-based therapy did not substantially reduce the overall CVD risk; however, a potential reduction in stroke risk was observed. These results emphasize the importance of long-term cardiovascular risk assessments and highlight the need for further research, particularly in the direct-acting antiviral era in which increased cardiovascular benefits may be expected.</p>\",\"PeriodicalId\":94244,\"journal\":{\"name\":\"The Kaohsiung journal of medical sciences\",\"volume\":\" \",\"pages\":\"e70036\"},\"PeriodicalIF\":3.1000,\"publicationDate\":\"2025-08-01\",\"publicationTypes\":\"Journal Article\",\"fieldsOfStudy\":null,\"isOpenAccess\":false,\"openAccessPdf\":\"https://www.ncbi.nlm.nih.gov/pmc/articles/PMC12407379/pdf/\",\"citationCount\":\"0\",\"resultStr\":null,\"platform\":\"Semanticscholar\",\"paperid\":null,\"PeriodicalName\":\"The Kaohsiung journal of medical sciences\",\"FirstCategoryId\":\"1085\",\"ListUrlMain\":\"https://doi.org/10.1002/kjm2.70036\",\"RegionNum\":0,\"RegionCategory\":null,\"ArticlePicture\":[],\"TitleCN\":null,\"AbstractTextCN\":null,\"PMCID\":null,\"EPubDate\":\"2025/5/24 0:00:00\",\"PubModel\":\"Epub\",\"JCR\":\"\",\"JCRName\":\"\",\"Score\":null,\"Total\":0}","platform":"Semanticscholar","paperid":null,"PeriodicalName":"The Kaohsiung journal of medical sciences","FirstCategoryId":"1085","ListUrlMain":"https://doi.org/10.1002/kjm2.70036","RegionNum":0,"RegionCategory":null,"ArticlePicture":[],"TitleCN":null,"AbstractTextCN":null,"PMCID":null,"EPubDate":"2025/5/24 0:00:00","PubModel":"Epub","JCR":"","JCRName":"","Score":null,"Total":0}
引用次数: 0

摘要

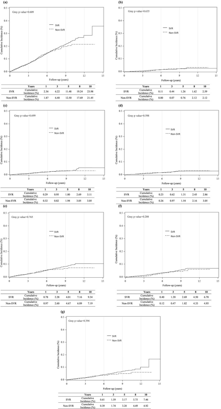
丙型肝炎病毒(HCV)感染与心血管疾病(CVD)风险增加相关;然而,以干扰素(IFN)为基础的治疗对心血管预后的影响尚不清楚。这项全国性的队列研究包括7411名来自台湾慢性丙型肝炎队列登记的HCV患者,他们在2003年至2014年期间接受了基于干扰素的治疗。将患者分为持续病毒学应答(SVR)组(n = 5785)和非SVR组(n = 1676)。新发CVD事件的发生率,包括中风、冠状动脉疾病、心力衰竭和心律失常,采用三种Cox比例风险模型对不同混杂因素进行调整。累积CVD发病率在SVR组和非SVR组中具有可比性(11.2% vs. 10.2%, p = 0.609)。在三种模型中,SVR与降低总体心血管疾病风险没有显著相关[风险比(HR) = 0.88, 95%可信区间(CI): 0.71-1.05, p = 0.158]。然而,达到SVR的患者发生卒中的风险较低,尽管差异不显著(HR = 0.84, 95% CI: 0.74-0.94)。敏感性分析的结果证实了这些发现。基于干扰素的治疗后的SVR并没有显著降低总体CVD风险;然而,观察到中风风险的潜在降低。这些结果强调了长期心血管风险评估的重要性,并强调了进一步研究的必要性,特别是在预期心血管益处增加的直接作用抗病毒时代。
本文章由计算机程序翻译,如有差异,请以英文原文为准。

Impact of Hepatitis C Virus Clearance on Cardiovascular Risk: A Real-World Experience From the Nationwide Taiwan Hepatitis C Virus Registry.

Impact of Hepatitis C Virus Clearance on Cardiovascular Risk: A Real-World Experience From the Nationwide Taiwan Hepatitis C Virus Registry.

Impact of Hepatitis C Virus Clearance on Cardiovascular Risk: A Real-World Experience From the Nationwide Taiwan Hepatitis C Virus Registry.

Hepatitis C virus (HCV) infection is associated with an increased risk of cardiovascular disease (CVD); however, the impact of interferon (IFN)-based therapy on cardiovascular outcomes remains unclear. This nationwide cohort study included 7411 patients with HCV from The Taiwanese Chronic Hepatitis C Cohort registry who received IFN-based therapy between 2003 and 2014. Patients were categorized into sustained virological response (SVR) (n = 5785) and non-SVR (n = 1676) groups. The incidence of new-onset CVD events, including stroke, coronary artery disease, heart failure, and arrhythmia, was assessed using three Cox proportional hazard models adjusted for different sets of confounding factors. The cumulative CVD incidence was comparable in the SVR and non-SVR groups (11.2% vs. 10.2%, p = 0.609). SVR was not significantly associated with a reduced overall CVD risk among the three models [hazards ratio (HR) = 0.88, 95% confidence interval (CI): 0.71-1.05, p = 0.158]. However, a lower risk of stroke was observed in patients who achieved an SVR, although the difference was not significant (HR = 0.84, 95% CI: 0.74-0.94). The results of the sensitivity analyses confirmed these findings. An SVR following IFN-based therapy did not substantially reduce the overall CVD risk; however, a potential reduction in stroke risk was observed. These results emphasize the importance of long-term cardiovascular risk assessments and highlight the need for further research, particularly in the direct-acting antiviral era in which increased cardiovascular benefits may be expected.

求助全文
通过发布文献求助,成功后即可免费获取论文全文。 去求助
来源期刊
自引率
0.00%
发文量
0
×
引用
GB/T 7714-2015
复制
MLA
复制
APA
复制
导出至
BibTeX EndNote RefMan NoteFirst NoteExpress
×
提示
您的信息不完整,为了账户安全,请先补充。
现在去补充
×
提示
您因"违规操作"
具体请查看互助需知
我知道了
×
提示
确定
请完成安全验证×
copy
已复制链接
快去分享给好友吧!
我知道了
右上角分享
点击右上角分享
0
联系我们:info@booksci.cn Book学术提供免费学术资源搜索服务,方便国内外学者检索中英文文献。致力于提供最便捷和优质的服务体验。 Copyright © 2023 布克学术 All rights reserved.
京ICP备2023020795号-1
ghs 京公网安备 11010802042870号
Book学术文献互助
Book学术文献互助群
群 号:604180095
Book学术官方微信