中国儿科医生对未来工作场所暴力的恐惧与职业倦怠之间的关系:心理弹性是调节因素。

IF 2 4区 医学 Q2 PUBLIC, ENVIRONMENTAL & OCCUPATIONAL HEALTH
Yuntian Shi, Fangxiang Mao, Xuan Zhang
{"title":"中国儿科医生对未来工作场所暴力的恐惧与职业倦怠之间的关系:心理弹性是调节因素。","authors":"Yuntian Shi, Fangxiang Mao, Xuan Zhang","doi":"10.1093/joccuh/uiaf029","DOIUrl":null,"url":null,"abstract":"<p><strong>Objectives: </strong>This study explored the relationship between fear of future workplace violence (FFWV) and burnout, and the moderating effect of psychological resilience on this relationship.</p><p><strong>Methods: </strong>We recruited 413 pediatricians from 26 specialized and general hospitals in China's Shandong provinces and Ningxia Hui Autonomous Region from August 2021 to April 2022. Fear of future workplace violence was measured using the Fear of Future Violence at Work Scale. Burnout was assessed using the Maslach Burnout Inventory. Psychological resilience was measured using the 10-item Connor-Davidson Resilience Scale. A multiple linear regression analysis was used to investigate the relationship between FFWV and burnout. The SPSS PROCESS macro was used to examine the moderating effect of psychological resilience on this relationship.</p><p><strong>Results: </strong>About 85.7% of pediatricians experienced a medium or high level of fear. Fear of future workplace violence was significantly and positively associated with emotional exhaustion, depersonalization, and personal accomplishment (B = 0.23, SE = 0.39, P < .001; B = 0.06, SE = 0.13, P < .001; B = 0.17, SE = 0.03, P < .001, respectively, where B denotes the unstandardized regression coefficient). The interaction effects of FFWV and psychological resilience on emotional exhaustion (B = -0.008; 95% CI, -0.01 to -0.004) and depersonalization (B = -0.003; 95% CI, -0.005 to -0.001) were statistically significant. The protective effect conforms to the \"protective-stabilizing\" model.</p><p><strong>Conclusions: </strong>Psychological resilience training may be beneficial for pediatricians in preventing high levels of emotional exhaustion and cynicism resulting from FFWV.</p>","PeriodicalId":16632,"journal":{"name":"Journal of Occupational Health","volume":" ","pages":""},"PeriodicalIF":2.0000,"publicationDate":"2025-01-07","publicationTypes":"Journal Article","fieldsOfStudy":null,"isOpenAccess":false,"openAccessPdf":"https://www.ncbi.nlm.nih.gov/pmc/articles/PMC12202324/pdf/","citationCount":"0","resultStr":"{\"title\":\"Association between fear of future workplace violence and burnout among pediatricians in China with psychological resilience as a moderator.\",\"authors\":\"Yuntian Shi, Fangxiang Mao, Xuan Zhang\",\"doi\":\"10.1093/joccuh/uiaf029\",\"DOIUrl\":null,\"url\":null,\"abstract\":\"<p><strong>Objectives: </strong>This study explored the relationship between fear of future workplace violence (FFWV) and burnout, and the moderating effect of psychological resilience on this relationship.</p><p><strong>Methods: </strong>We recruited 413 pediatricians from 26 specialized and general hospitals in China's Shandong provinces and Ningxia Hui Autonomous Region from August 2021 to April 2022. Fear of future workplace violence was measured using the Fear of Future Violence at Work Scale. Burnout was assessed using the Maslach Burnout Inventory. Psychological resilience was measured using the 10-item Connor-Davidson Resilience Scale. A multiple linear regression analysis was used to investigate the relationship between FFWV and burnout. The SPSS PROCESS macro was used to examine the moderating effect of psychological resilience on this relationship.</p><p><strong>Results: </strong>About 85.7% of pediatricians experienced a medium or high level of fear. Fear of future workplace violence was significantly and positively associated with emotional exhaustion, depersonalization, and personal accomplishment (B = 0.23, SE = 0.39, P < .001; B = 0.06, SE = 0.13, P < .001; B = 0.17, SE = 0.03, P < .001, respectively, where B denotes the unstandardized regression coefficient). The interaction effects of FFWV and psychological resilience on emotional exhaustion (B = -0.008; 95% CI, -0.01 to -0.004) and depersonalization (B = -0.003; 95% CI, -0.005 to -0.001) were statistically significant. The protective effect conforms to the \\\"protective-stabilizing\\\" model.</p><p><strong>Conclusions: </strong>Psychological resilience training may be beneficial for pediatricians in preventing high levels of emotional exhaustion and cynicism resulting from FFWV.</p>\",\"PeriodicalId\":16632,\"journal\":{\"name\":\"Journal of Occupational Health\",\"volume\":\" \",\"pages\":\"\"},\"PeriodicalIF\":2.0000,\"publicationDate\":\"2025-01-07\",\"publicationTypes\":\"Journal Article\",\"fieldsOfStudy\":null,\"isOpenAccess\":false,\"openAccessPdf\":\"https://www.ncbi.nlm.nih.gov/pmc/articles/PMC12202324/pdf/\",\"citationCount\":\"0\",\"resultStr\":null,\"platform\":\"Semanticscholar\",\"paperid\":null,\"PeriodicalName\":\"Journal of Occupational Health\",\"FirstCategoryId\":\"3\",\"ListUrlMain\":\"https://doi.org/10.1093/joccuh/uiaf029\",\"RegionNum\":4,\"RegionCategory\":\"医学\",\"ArticlePicture\":[],\"TitleCN\":null,\"AbstractTextCN\":null,\"PMCID\":null,\"EPubDate\":\"\",\"PubModel\":\"\",\"JCR\":\"Q2\",\"JCRName\":\"PUBLIC, ENVIRONMENTAL & OCCUPATIONAL HEALTH\",\"Score\":null,\"Total\":0}","platform":"Semanticscholar","paperid":null,"PeriodicalName":"Journal of Occupational Health","FirstCategoryId":"3","ListUrlMain":"https://doi.org/10.1093/joccuh/uiaf029","RegionNum":4,"RegionCategory":"医学","ArticlePicture":[],"TitleCN":null,"AbstractTextCN":null,"PMCID":null,"EPubDate":"","PubModel":"","JCR":"Q2","JCRName":"PUBLIC, ENVIRONMENTAL & OCCUPATIONAL HEALTH","Score":null,"Total":0}
引用次数: 0

摘要

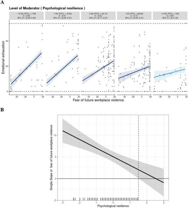
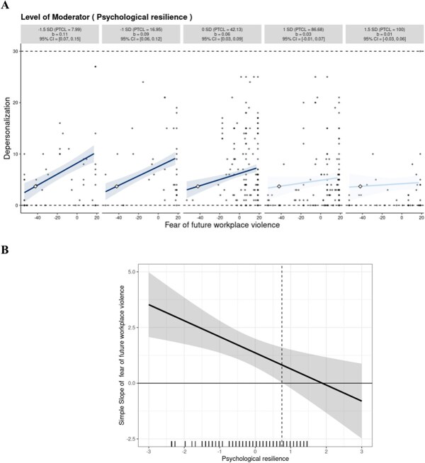
目的:探讨工作倦怠与工作倦怠的关系,以及心理弹性在这一关系中的调节作用。方法:我们于2021年8月至2022年4月从中国山东省和宁夏回族自治区的26家专科和综合医院招募了413名儿科医生。FFWV是用对未来工作暴力的恐惧量表来测量的。使用Maslach职业倦怠量表评估职业倦怠。心理弹性采用10项康纳-戴维森弹性量表进行测量。本研究采用多元线性回归分析方法,探讨工作效率与职业倦怠的关系。采用SPSS PROCESS宏检验心理弹性对这一关系的调节作用。结果:85.7%的儿科医生存在中高水平的恐惧。FFWV与情绪耗竭、人格解体、个人成就感呈显著正相关(B=0.23, SE=0.39, P < 0.001;B=0.06, se =0.13, p < 0.001;B=0.17, SE=0.03, P < 0.001)。FFWV和心理弹性对情绪耗竭(B=-0.008, 95% CI: -0.01 ~ -0.004)和玩世不恭(B=-0.003, 95% CI: -0.005 ~ -0.001)的交互作用具有统计学意义。保护作用符合“保护-稳定”模式。结论:心理弹性训练可能有助于儿科医生预防FFWV导致的高水平情绪衰竭和玩世不恭。
本文章由计算机程序翻译,如有差异,请以英文原文为准。

Association between fear of future workplace violence and burnout among pediatricians in China with psychological resilience as a moderator.

Association between fear of future workplace violence and burnout among pediatricians in China with psychological resilience as a moderator.

Association between fear of future workplace violence and burnout among pediatricians in China with psychological resilience as a moderator.

Association between fear of future workplace violence and burnout among pediatricians in China with psychological resilience as a moderator.

Objectives: This study explored the relationship between fear of future workplace violence (FFWV) and burnout, and the moderating effect of psychological resilience on this relationship.

Methods: We recruited 413 pediatricians from 26 specialized and general hospitals in China's Shandong provinces and Ningxia Hui Autonomous Region from August 2021 to April 2022. Fear of future workplace violence was measured using the Fear of Future Violence at Work Scale. Burnout was assessed using the Maslach Burnout Inventory. Psychological resilience was measured using the 10-item Connor-Davidson Resilience Scale. A multiple linear regression analysis was used to investigate the relationship between FFWV and burnout. The SPSS PROCESS macro was used to examine the moderating effect of psychological resilience on this relationship.

Results: About 85.7% of pediatricians experienced a medium or high level of fear. Fear of future workplace violence was significantly and positively associated with emotional exhaustion, depersonalization, and personal accomplishment (B = 0.23, SE = 0.39, P < .001; B = 0.06, SE = 0.13, P < .001; B = 0.17, SE = 0.03, P < .001, respectively, where B denotes the unstandardized regression coefficient). The interaction effects of FFWV and psychological resilience on emotional exhaustion (B = -0.008; 95% CI, -0.01 to -0.004) and depersonalization (B = -0.003; 95% CI, -0.005 to -0.001) were statistically significant. The protective effect conforms to the "protective-stabilizing" model.

Conclusions: Psychological resilience training may be beneficial for pediatricians in preventing high levels of emotional exhaustion and cynicism resulting from FFWV.

求助全文
通过发布文献求助,成功后即可免费获取论文全文。 去求助
来源期刊
Journal of Occupational Health
Journal of Occupational Health 医学-公共卫生、环境卫生与职业卫生
CiteScore
5.60
自引率
3.30%
发文量
57
审稿时长
6-12 weeks
期刊介绍: The scope of the journal is broad, covering toxicology, ergonomics, psychosocial factors and other relevant health issues of workers, with special emphasis on the current developments in occupational health. The JOH also accepts various methodologies that are relevant to investigation of occupational health risk factors and exposures, such as large-scale epidemiological studies, human studies employing biological techniques and fundamental experiments on animals, and also welcomes submissions concerning occupational health practices and related issues.
×
引用
GB/T 7714-2015
复制
MLA
复制
APA
复制
导出至
BibTeX EndNote RefMan NoteFirst NoteExpress
×
提示
您的信息不完整,为了账户安全,请先补充。
现在去补充
×
提示
您因"违规操作"
具体请查看互助需知
我知道了
×
提示
确定
请完成安全验证×
copy
已复制链接
快去分享给好友吧!
我知道了
右上角分享
点击右上角分享
0
联系我们:info@booksci.cn Book学术提供免费学术资源搜索服务,方便国内外学者检索中英文文献。致力于提供最便捷和优质的服务体验。 Copyright © 2023 布克学术 All rights reserved.
京ICP备2023020795号-1
ghs 京公网安备 11010802042870号
Book学术文献互助
Book学术文献互助群
群 号:604180095
Book学术官方微信