拉丁美洲青光眼患病率:系统回顾和荟萃分析。

IF 1.8 Q2 Medicine
Denisse J Mora-Paez, Jaime Guedes, Dillan Cunha Amaral, Marcelo Alves Ferreira, Bruno F Fernandes, Sacha F Pereira, Bruno Botton, Alisha Desai, Helena Messinger Pakter, Fabio Lavinsky, Adroaldo Alencar Costa Filho
{"title":"拉丁美洲青光眼患病率:系统回顾和荟萃分析。","authors":"Denisse J Mora-Paez, Jaime Guedes, Dillan Cunha Amaral, Marcelo Alves Ferreira, Bruno F Fernandes, Sacha F Pereira, Bruno Botton, Alisha Desai, Helena Messinger Pakter, Fabio Lavinsky, Adroaldo Alencar Costa Filho","doi":"10.3390/vision9020042","DOIUrl":null,"url":null,"abstract":"<p><p>We conducted a systematic review and meta-analysis to estimate the prevalence of all types of glaucoma in Latin America (LATAM) and evaluate potential demographic associations. This study followed PRISMA guidelines and was registered in PROSPERO (CRD42024506330). A comprehensive search of PubMed, SciELO, and Web of Science was conducted to identify population-based or cross-sectional studies reporting glaucoma prevalence in LATAM. Studies were categorized into two groups: Group 1 included general population studies without selection based on visual acuity (VA), and Group 2 included studies limited to individuals with VA < 20/60. Data from five studies in Group 1 (25,288 individuals) and eight studies in Group 2 (29,882 individuals) were analyzed using R software. The pooled prevalence of glaucoma was 4% (95% CI: 1-3%) in Group 1 and 1% (95% CI: 0-1%) in Group 2. No statistically significant associations were found between glaucoma prevalence and sex (<i>p</i> = 0.08) or age (<i>p</i> = 0.5669). Although our findings highlight the relevance of glaucoma as a public health concern in LATAM, the limited number of available studies and methodological variability reduce the certainty of the estimates.</p>","PeriodicalId":36586,"journal":{"name":"Vision (Switzerland)","volume":"9 2","pages":""},"PeriodicalIF":1.8000,"publicationDate":"2025-05-05","publicationTypes":"Journal Article","fieldsOfStudy":null,"isOpenAccess":false,"openAccessPdf":"https://www.ncbi.nlm.nih.gov/pmc/articles/PMC12101209/pdf/","citationCount":"0","resultStr":"{\"title\":\"Latin American Prevalence of Glaucoma: A Systematic Review and Meta-Analysis.\",\"authors\":\"Denisse J Mora-Paez, Jaime Guedes, Dillan Cunha Amaral, Marcelo Alves Ferreira, Bruno F Fernandes, Sacha F Pereira, Bruno Botton, Alisha Desai, Helena Messinger Pakter, Fabio Lavinsky, Adroaldo Alencar Costa Filho\",\"doi\":\"10.3390/vision9020042\",\"DOIUrl\":null,\"url\":null,\"abstract\":\"<p><p>We conducted a systematic review and meta-analysis to estimate the prevalence of all types of glaucoma in Latin America (LATAM) and evaluate potential demographic associations. This study followed PRISMA guidelines and was registered in PROSPERO (CRD42024506330). A comprehensive search of PubMed, SciELO, and Web of Science was conducted to identify population-based or cross-sectional studies reporting glaucoma prevalence in LATAM. Studies were categorized into two groups: Group 1 included general population studies without selection based on visual acuity (VA), and Group 2 included studies limited to individuals with VA < 20/60. Data from five studies in Group 1 (25,288 individuals) and eight studies in Group 2 (29,882 individuals) were analyzed using R software. The pooled prevalence of glaucoma was 4% (95% CI: 1-3%) in Group 1 and 1% (95% CI: 0-1%) in Group 2. No statistically significant associations were found between glaucoma prevalence and sex (<i>p</i> = 0.08) or age (<i>p</i> = 0.5669). Although our findings highlight the relevance of glaucoma as a public health concern in LATAM, the limited number of available studies and methodological variability reduce the certainty of the estimates.</p>\",\"PeriodicalId\":36586,\"journal\":{\"name\":\"Vision (Switzerland)\",\"volume\":\"9 2\",\"pages\":\"\"},\"PeriodicalIF\":1.8000,\"publicationDate\":\"2025-05-05\",\"publicationTypes\":\"Journal Article\",\"fieldsOfStudy\":null,\"isOpenAccess\":false,\"openAccessPdf\":\"https://www.ncbi.nlm.nih.gov/pmc/articles/PMC12101209/pdf/\",\"citationCount\":\"0\",\"resultStr\":null,\"platform\":\"Semanticscholar\",\"paperid\":null,\"PeriodicalName\":\"Vision (Switzerland)\",\"FirstCategoryId\":\"1085\",\"ListUrlMain\":\"https://doi.org/10.3390/vision9020042\",\"RegionNum\":0,\"RegionCategory\":null,\"ArticlePicture\":[],\"TitleCN\":null,\"AbstractTextCN\":null,\"PMCID\":null,\"EPubDate\":\"\",\"PubModel\":\"\",\"JCR\":\"Q2\",\"JCRName\":\"Medicine\",\"Score\":null,\"Total\":0}","platform":"Semanticscholar","paperid":null,"PeriodicalName":"Vision (Switzerland)","FirstCategoryId":"1085","ListUrlMain":"https://doi.org/10.3390/vision9020042","RegionNum":0,"RegionCategory":null,"ArticlePicture":[],"TitleCN":null,"AbstractTextCN":null,"PMCID":null,"EPubDate":"","PubModel":"","JCR":"Q2","JCRName":"Medicine","Score":null,"Total":0}
引用次数: 0

摘要

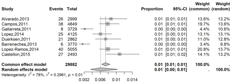
我们进行了一项系统回顾和荟萃分析,以估计拉丁美洲(LATAM)所有类型青光眼的患病率,并评估潜在的人口统计学关联。该研究遵循PRISMA指南,并在PROSPERO注册(CRD42024506330)。我们对PubMed、SciELO和Web of Science进行了全面的检索,以确定报告拉丁美洲青光眼患病率的基于人群或横断面的研究。研究被分为两组:第1组包括一般人群研究,没有基于视力(VA)的选择,第2组包括仅限于VA < 20/60的个体的研究。第一组的5项研究(25,288人)和第二组的8项研究(29,882人)的数据使用R软件进行分析。青光眼的总患病率在第一组为4% (95% CI: 1-3%),在第二组为1% (95% CI: 0-1%)。青光眼患病率与性别(p = 0.08)和年龄(p = 0.5669)无统计学意义相关。虽然我们的研究结果强调了青光眼作为拉美地区公共卫生问题的相关性,但现有研究数量有限和方法的可变性降低了估计的确定性。
本文章由计算机程序翻译,如有差异,请以英文原文为准。

Latin American Prevalence of Glaucoma: A Systematic Review and Meta-Analysis.

Latin American Prevalence of Glaucoma: A Systematic Review and Meta-Analysis.

Latin American Prevalence of Glaucoma: A Systematic Review and Meta-Analysis.

Latin American Prevalence of Glaucoma: A Systematic Review and Meta-Analysis.

We conducted a systematic review and meta-analysis to estimate the prevalence of all types of glaucoma in Latin America (LATAM) and evaluate potential demographic associations. This study followed PRISMA guidelines and was registered in PROSPERO (CRD42024506330). A comprehensive search of PubMed, SciELO, and Web of Science was conducted to identify population-based or cross-sectional studies reporting glaucoma prevalence in LATAM. Studies were categorized into two groups: Group 1 included general population studies without selection based on visual acuity (VA), and Group 2 included studies limited to individuals with VA < 20/60. Data from five studies in Group 1 (25,288 individuals) and eight studies in Group 2 (29,882 individuals) were analyzed using R software. The pooled prevalence of glaucoma was 4% (95% CI: 1-3%) in Group 1 and 1% (95% CI: 0-1%) in Group 2. No statistically significant associations were found between glaucoma prevalence and sex (p = 0.08) or age (p = 0.5669). Although our findings highlight the relevance of glaucoma as a public health concern in LATAM, the limited number of available studies and methodological variability reduce the certainty of the estimates.

求助全文
通过发布文献求助,成功后即可免费获取论文全文。 去求助
来源期刊
Vision (Switzerland)
Vision (Switzerland) Health Professions-Optometry
CiteScore
2.30
自引率
0.00%
发文量
62
审稿时长
11 weeks
×
引用
GB/T 7714-2015
复制
MLA
复制
APA
复制
导出至
BibTeX EndNote RefMan NoteFirst NoteExpress
×
提示
您的信息不完整,为了账户安全,请先补充。
现在去补充
×
提示
您因"违规操作"
具体请查看互助需知
我知道了
×
提示
确定
请完成安全验证×
copy
已复制链接
快去分享给好友吧!
我知道了
右上角分享
点击右上角分享
0
联系我们:info@booksci.cn Book学术提供免费学术资源搜索服务,方便国内外学者检索中英文文献。致力于提供最便捷和优质的服务体验。 Copyright © 2023 布克学术 All rights reserved.
京ICP备2023020795号-1
ghs 京公网安备 11010802042870号
Book学术文献互助
Book学术文献互助群
群 号:604180095
Book学术官方微信