[肺腺癌非手术干预后
患者脑膜转移的危险因素分析]。

Q4 Medicine
Yi Yue, Yuqing Ren, Jianlong Lin, Chunya Lu, Nan Jiang, Yanping Su, Jing Li, Yibo Wang, Sihui Wang, Junkai Fu, Mengrui Kong, Guojun Zhang
{"title":"[肺腺癌非手术干预后\u2029患者脑膜转移的危险因素分析]。","authors":"Yi Yue, Yuqing Ren, Jianlong Lin, Chunya Lu, Nan Jiang, Yanping Su, Jing Li, Yibo Wang, Sihui Wang, Junkai Fu, Mengrui Kong, Guojun Zhang","doi":"10.3779/j.issn.1009-3419.2025.101.06","DOIUrl":null,"url":null,"abstract":"<p><strong>Background: </strong>Meningeal metastasis (MM) is a form of malignant metastasis where tumor cells spread from the primary site to the pia mater, dura mater, arachnoid, subarachnoid space, and other cerebrospinal fluid compartments. Lung cancer is one of the most common malignant tumor types with MM. MM not only signifies that the lung cancer has progressed to an advanced stage but also leads to a range of severe clinical symptoms due to meningeal involvement. Currently, the risk factors associated with the development of MM are not fully elucidated. The aim of this study was to investigate the risk factors for MM in patients with lung adenocarcinoma (LUAD) who underwent non-surgical interventions, in order to identify LUAD patients at high risk for MM.</p><p><strong>Methods: </strong>This retrospective study analyzed the clinical data of patients diagnosed with LUAD at the First Affiliated Hospital of Zhengzhou University from January 2020 to July 2024. Missing data were imputed using multiple imputation methods, and risk factors were identified through LASSO, univariate, and multivariate Logistic regression analyses.</p><p><strong>Results: </strong>A total of 170 patients with LUAD were included in this study and divided into two groups: 87 patients with MM and 83 patients without MM. Univariate and multivariate Logistic regression analyses revealed that younger age at diagnosis (P=0.004), presence of the epidermal growth factor receptor (EGFR) L858R gene mutation (P=0.008), and concurrent liver metastasis at baseline (P=0.004) were independent risk factors for developing MM in LUAD patients who did not undergo surgical intervention. Conversely, higher baseline globulin levels (P=0.039) and the presence of the anaplastic lymphoma kinase (ALK) gene mutation (P=0.040) were associated with a reduced risk of MM development.</p><p><strong>Conclusions: </strong>Age at diagnosis, EGFR L858R mutation status, ALK gene mutation status, concurrent liver metastasis, globulin levels at baseline were significantly associated with the risk of developing MM in patients with LUAD patients who did not undergo surgical intervention. For patients diagnosed at a younger age, carrying the EGFR L858R mutation, or presenting with baseline liver metastasis, early implementation of tertiary prevention strategies for MM is crucial. Regular monitoring of MM status should be conducted in these high-risk groups.</p>","PeriodicalId":39317,"journal":{"name":"中国肺癌杂志","volume":"28 4","pages":"267-280"},"PeriodicalIF":0.0000,"publicationDate":"2025-04-20","publicationTypes":"Journal Article","fieldsOfStudy":null,"isOpenAccess":false,"openAccessPdf":"https://www.ncbi.nlm.nih.gov/pmc/articles/PMC12096092/pdf/","citationCount":"0","resultStr":"{\"title\":\"[Analysis of Risk Factors for Meningeal Metastasis in Patients \\u2029with Lung Adenocarcinoma Following Non-surgical Interventions].\",\"authors\":\"Yi Yue, Yuqing Ren, Jianlong Lin, Chunya Lu, Nan Jiang, Yanping Su, Jing Li, Yibo Wang, Sihui Wang, Junkai Fu, Mengrui Kong, Guojun Zhang\",\"doi\":\"10.3779/j.issn.1009-3419.2025.101.06\",\"DOIUrl\":null,\"url\":null,\"abstract\":\"<p><strong>Background: </strong>Meningeal metastasis (MM) is a form of malignant metastasis where tumor cells spread from the primary site to the pia mater, dura mater, arachnoid, subarachnoid space, and other cerebrospinal fluid compartments. Lung cancer is one of the most common malignant tumor types with MM. MM not only signifies that the lung cancer has progressed to an advanced stage but also leads to a range of severe clinical symptoms due to meningeal involvement. Currently, the risk factors associated with the development of MM are not fully elucidated. The aim of this study was to investigate the risk factors for MM in patients with lung adenocarcinoma (LUAD) who underwent non-surgical interventions, in order to identify LUAD patients at high risk for MM.</p><p><strong>Methods: </strong>This retrospective study analyzed the clinical data of patients diagnosed with LUAD at the First Affiliated Hospital of Zhengzhou University from January 2020 to July 2024. Missing data were imputed using multiple imputation methods, and risk factors were identified through LASSO, univariate, and multivariate Logistic regression analyses.</p><p><strong>Results: </strong>A total of 170 patients with LUAD were included in this study and divided into two groups: 87 patients with MM and 83 patients without MM. Univariate and multivariate Logistic regression analyses revealed that younger age at diagnosis (P=0.004), presence of the epidermal growth factor receptor (EGFR) L858R gene mutation (P=0.008), and concurrent liver metastasis at baseline (P=0.004) were independent risk factors for developing MM in LUAD patients who did not undergo surgical intervention. Conversely, higher baseline globulin levels (P=0.039) and the presence of the anaplastic lymphoma kinase (ALK) gene mutation (P=0.040) were associated with a reduced risk of MM development.</p><p><strong>Conclusions: </strong>Age at diagnosis, EGFR L858R mutation status, ALK gene mutation status, concurrent liver metastasis, globulin levels at baseline were significantly associated with the risk of developing MM in patients with LUAD patients who did not undergo surgical intervention. For patients diagnosed at a younger age, carrying the EGFR L858R mutation, or presenting with baseline liver metastasis, early implementation of tertiary prevention strategies for MM is crucial. Regular monitoring of MM status should be conducted in these high-risk groups.</p>\",\"PeriodicalId\":39317,\"journal\":{\"name\":\"中国肺癌杂志\",\"volume\":\"28 4\",\"pages\":\"267-280\"},\"PeriodicalIF\":0.0000,\"publicationDate\":\"2025-04-20\",\"publicationTypes\":\"Journal Article\",\"fieldsOfStudy\":null,\"isOpenAccess\":false,\"openAccessPdf\":\"https://www.ncbi.nlm.nih.gov/pmc/articles/PMC12096092/pdf/\",\"citationCount\":\"0\",\"resultStr\":null,\"platform\":\"Semanticscholar\",\"paperid\":null,\"PeriodicalName\":\"中国肺癌杂志\",\"FirstCategoryId\":\"3\",\"ListUrlMain\":\"https://doi.org/10.3779/j.issn.1009-3419.2025.101.06\",\"RegionNum\":0,\"RegionCategory\":null,\"ArticlePicture\":[],\"TitleCN\":null,\"AbstractTextCN\":null,\"PMCID\":null,\"EPubDate\":\"\",\"PubModel\":\"\",\"JCR\":\"Q4\",\"JCRName\":\"Medicine\",\"Score\":null,\"Total\":0}","platform":"Semanticscholar","paperid":null,"PeriodicalName":"中国肺癌杂志","FirstCategoryId":"3","ListUrlMain":"https://doi.org/10.3779/j.issn.1009-3419.2025.101.06","RegionNum":0,"RegionCategory":null,"ArticlePicture":[],"TitleCN":null,"AbstractTextCN":null,"PMCID":null,"EPubDate":"","PubModel":"","JCR":"Q4","JCRName":"Medicine","Score":null,"Total":0}
引用次数: 0

摘要

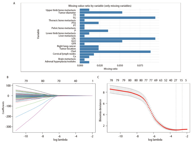
背景:脑膜转移(MM)是肿瘤细胞从原发部位扩散到硬脑膜、硬脑膜、蛛网膜、蛛网膜下腔和其他脑脊液腔的一种恶性转移形式。肺癌是MM最常见的恶性肿瘤类型之一,MM不仅表明肺癌进展到晚期,而且由于脑膜受累导致一系列严重的临床症状。目前,与MM发展相关的危险因素尚未完全阐明。本研究旨在探讨经非手术治疗的肺腺癌(LUAD)患者发生MM的危险因素,以确定LUAD患者发生MM的高危人群。方法:回顾性分析郑州大学第一附属医院2020年1月至2024年7月诊断为LUAD患者的临床资料。缺失数据采用多种方法输入,风险因素通过LASSO、单变量和多变量Logistic回归分析确定。结果:本研究共纳入170例LUAD患者,分为两组:单因素和多因素Logistic回归分析显示,诊断时年龄较小(P=0.004),表皮生长因子受体(EGFR) L858R基因突变(P=0.008),基线时并发肝转移(P=0.004)是未接受手术干预的LUAD患者发生MM的独立危险因素。相反,较高的基线球蛋白水平(P=0.039)和间变性淋巴瘤激酶(ALK)基因突变(P=0.040)的存在与MM发展风险降低相关。结论:诊断年龄、EGFR L858R突变状态、ALK基因突变状态、并发肝转移、基线球蛋白水平与未接受手术干预的LUAD患者发生MM的风险显著相关。对于年龄较小、携带EGFR L858R突变或基线有肝转移的患者,早期实施MM三级预防策略至关重要。这些高危人群应定期监测MM状态。
本文章由计算机程序翻译,如有差异,请以英文原文为准。

[Analysis of Risk Factors for Meningeal Metastasis in Patients 
with Lung Adenocarcinoma Following Non-surgical Interventions].

[Analysis of Risk Factors for Meningeal Metastasis in Patients 
with Lung Adenocarcinoma Following Non-surgical Interventions].

[Analysis of Risk Factors for Meningeal Metastasis in Patients 
with Lung Adenocarcinoma Following Non-surgical Interventions].

[Analysis of Risk Factors for Meningeal Metastasis in Patients 
with Lung Adenocarcinoma Following Non-surgical Interventions].

Background: Meningeal metastasis (MM) is a form of malignant metastasis where tumor cells spread from the primary site to the pia mater, dura mater, arachnoid, subarachnoid space, and other cerebrospinal fluid compartments. Lung cancer is one of the most common malignant tumor types with MM. MM not only signifies that the lung cancer has progressed to an advanced stage but also leads to a range of severe clinical symptoms due to meningeal involvement. Currently, the risk factors associated with the development of MM are not fully elucidated. The aim of this study was to investigate the risk factors for MM in patients with lung adenocarcinoma (LUAD) who underwent non-surgical interventions, in order to identify LUAD patients at high risk for MM.

Methods: This retrospective study analyzed the clinical data of patients diagnosed with LUAD at the First Affiliated Hospital of Zhengzhou University from January 2020 to July 2024. Missing data were imputed using multiple imputation methods, and risk factors were identified through LASSO, univariate, and multivariate Logistic regression analyses.

Results: A total of 170 patients with LUAD were included in this study and divided into two groups: 87 patients with MM and 83 patients without MM. Univariate and multivariate Logistic regression analyses revealed that younger age at diagnosis (P=0.004), presence of the epidermal growth factor receptor (EGFR) L858R gene mutation (P=0.008), and concurrent liver metastasis at baseline (P=0.004) were independent risk factors for developing MM in LUAD patients who did not undergo surgical intervention. Conversely, higher baseline globulin levels (P=0.039) and the presence of the anaplastic lymphoma kinase (ALK) gene mutation (P=0.040) were associated with a reduced risk of MM development.

Conclusions: Age at diagnosis, EGFR L858R mutation status, ALK gene mutation status, concurrent liver metastasis, globulin levels at baseline were significantly associated with the risk of developing MM in patients with LUAD patients who did not undergo surgical intervention. For patients diagnosed at a younger age, carrying the EGFR L858R mutation, or presenting with baseline liver metastasis, early implementation of tertiary prevention strategies for MM is crucial. Regular monitoring of MM status should be conducted in these high-risk groups.

求助全文
通过发布文献求助,成功后即可免费获取论文全文。 去求助
来源期刊
中国肺癌杂志
中国肺癌杂志 Medicine-Pulmonary and Respiratory Medicine
CiteScore
1.40
自引率
0.00%
发文量
5131
审稿时长
14 weeks
期刊介绍: Chinese Journal of Lung Cancer(CJLC, pISSN 1009-3419, eISSN 1999-6187), a monthly Open Access journal, is hosted by Chinese Anti-Cancer Association, Chinese Antituberculosis Association, Tianjin Medical University General Hospital. CJLC was indexed in DOAJ, EMBASE/SCOPUS, Chemical Abstract(CA), CSA-Biological Science, HINARI, EBSCO-CINAHL,CABI Abstract, Global Health, CNKI, etc. Editor-in-Chief: Professor Qinghua ZHOU.
×
引用
GB/T 7714-2015
复制
MLA
复制
APA
复制
导出至
BibTeX EndNote RefMan NoteFirst NoteExpress
×
提示
您的信息不完整,为了账户安全,请先补充。
现在去补充
×
提示
您因"违规操作"
具体请查看互助需知
我知道了
×
提示
确定
请完成安全验证×
copy
已复制链接
快去分享给好友吧!
我知道了
右上角分享
点击右上角分享
0
联系我们:info@booksci.cn Book学术提供免费学术资源搜索服务,方便国内外学者检索中英文文献。致力于提供最便捷和优质的服务体验。 Copyright © 2023 布克学术 All rights reserved.
京ICP备2023020795号-1
ghs 京公网安备 11010802042870号
Book学术文献互助
Book学术文献互助群
群 号:604180095
Book学术官方微信