类风湿性关节炎的代谢和全身炎症状态——空腹血糖作为类风湿性关节炎风险的主要预测因子:伊朗的一项横断面研究

IF 1.6 Q3 PUBLIC, ENVIRONMENTAL & OCCUPATIONAL HEALTH
Sorayya Kheirouri, Mohammad Alizadeh, Arash Tandorost
{"title":"类风湿性关节炎的代谢和全身炎症状态——空腹血糖作为类风湿性关节炎风险的主要预测因子:伊朗的一项横断面研究","authors":"Sorayya Kheirouri, Mohammad Alizadeh, Arash Tandorost","doi":"10.24171/j.phrp.2025.0036","DOIUrl":null,"url":null,"abstract":"<p><strong>Background: </strong>This study investigated the relationship between metabolic factors (blood lipids and glucose) and inflammatory indicators (tumor necrosis factor-alpha [TNF-α] and high-sensitivity C-reactive protein [hs-CRP]), disease activity, and the rheumatoid arthritis (RA) risk.</p><p><strong>Methods: </strong>Serum fasting blood glucose (FBG) and lipid profiles-including total cholesterol (Chol), triglycerides (TG), high-density lipoprotein (HDL), and low-density lipoprotein-were measured in 100 RA patients and 100 healthy individuals. Disease severity was assessed using the disease activity score 28. Inflammatory indicators (TNF-α and hs-CRP) were measured using the enzyme-linked immunosorbent assay method.</p><p><strong>Results: </strong>In RA patients, serum FBG, TG, Chol/HDL, and TG/HDL were significantly elevated, whereas HDL levels reduced compared to healthy individuals. Multivariate analysis indicated that each unit increase in serum FBG, HDL, Chol/HDL, and TG/HDL was associated with a 64% increase (p<0.001), a 7% reduction (p=0.001), a 52% increase (p=0.007), and a 54% increase (p=0.001) in the odds of RA, respectively. Disease activity showed no correlation with metabolic factors (p>0.05). Among all metabolic factors studied, FBG had the largest area under the curve (0.981) (p<0.0001) for predicting RA. Across the total participant group, FBG, TG, and TG/HDL were positively associated with hs-CRP and TNF-α (p<0.05). HDL showed an inverse association with hs-CRP (p=0.008). Among RA patients specifically, TNF-α positively correlated with TG and TG/HDL, while hs-CRP correlated only with TG/HDL.</p><p><strong>Conclusion: </strong>These findings indicate that increased FBG and Chol/HDL and decreased HDL may elevate RA risk by promoting systemic inflammation. Among these, elevated FBG may serve as the strongest predictor of RA risk.</p>","PeriodicalId":38949,"journal":{"name":"Osong Public Health and Research Perspectives","volume":" ","pages":"252-260"},"PeriodicalIF":1.6000,"publicationDate":"2025-06-01","publicationTypes":"Journal Article","fieldsOfStudy":null,"isOpenAccess":false,"openAccessPdf":"https://www.ncbi.nlm.nih.gov/pmc/articles/PMC12245525/pdf/","citationCount":"0","resultStr":"{\"title\":\"Metabolic and systemic inflammation status in rheumatoid arthritis-fasting blood glucose as a primary predictor of rheumatoid arthritis risk: a cross-sectional study in Iran.\",\"authors\":\"Sorayya Kheirouri, Mohammad Alizadeh, Arash Tandorost\",\"doi\":\"10.24171/j.phrp.2025.0036\",\"DOIUrl\":null,\"url\":null,\"abstract\":\"<p><strong>Background: </strong>This study investigated the relationship between metabolic factors (blood lipids and glucose) and inflammatory indicators (tumor necrosis factor-alpha [TNF-α] and high-sensitivity C-reactive protein [hs-CRP]), disease activity, and the rheumatoid arthritis (RA) risk.</p><p><strong>Methods: </strong>Serum fasting blood glucose (FBG) and lipid profiles-including total cholesterol (Chol), triglycerides (TG), high-density lipoprotein (HDL), and low-density lipoprotein-were measured in 100 RA patients and 100 healthy individuals. Disease severity was assessed using the disease activity score 28. Inflammatory indicators (TNF-α and hs-CRP) were measured using the enzyme-linked immunosorbent assay method.</p><p><strong>Results: </strong>In RA patients, serum FBG, TG, Chol/HDL, and TG/HDL were significantly elevated, whereas HDL levels reduced compared to healthy individuals. Multivariate analysis indicated that each unit increase in serum FBG, HDL, Chol/HDL, and TG/HDL was associated with a 64% increase (p<0.001), a 7% reduction (p=0.001), a 52% increase (p=0.007), and a 54% increase (p=0.001) in the odds of RA, respectively. Disease activity showed no correlation with metabolic factors (p>0.05). Among all metabolic factors studied, FBG had the largest area under the curve (0.981) (p<0.0001) for predicting RA. Across the total participant group, FBG, TG, and TG/HDL were positively associated with hs-CRP and TNF-α (p<0.05). HDL showed an inverse association with hs-CRP (p=0.008). Among RA patients specifically, TNF-α positively correlated with TG and TG/HDL, while hs-CRP correlated only with TG/HDL.</p><p><strong>Conclusion: </strong>These findings indicate that increased FBG and Chol/HDL and decreased HDL may elevate RA risk by promoting systemic inflammation. Among these, elevated FBG may serve as the strongest predictor of RA risk.</p>\",\"PeriodicalId\":38949,\"journal\":{\"name\":\"Osong Public Health and Research Perspectives\",\"volume\":\" \",\"pages\":\"252-260\"},\"PeriodicalIF\":1.6000,\"publicationDate\":\"2025-06-01\",\"publicationTypes\":\"Journal Article\",\"fieldsOfStudy\":null,\"isOpenAccess\":false,\"openAccessPdf\":\"https://www.ncbi.nlm.nih.gov/pmc/articles/PMC12245525/pdf/\",\"citationCount\":\"0\",\"resultStr\":null,\"platform\":\"Semanticscholar\",\"paperid\":null,\"PeriodicalName\":\"Osong Public Health and Research Perspectives\",\"FirstCategoryId\":\"1085\",\"ListUrlMain\":\"https://doi.org/10.24171/j.phrp.2025.0036\",\"RegionNum\":0,\"RegionCategory\":null,\"ArticlePicture\":[],\"TitleCN\":null,\"AbstractTextCN\":null,\"PMCID\":null,\"EPubDate\":\"2025/5/23 0:00:00\",\"PubModel\":\"Epub\",\"JCR\":\"Q3\",\"JCRName\":\"PUBLIC, ENVIRONMENTAL & OCCUPATIONAL HEALTH\",\"Score\":null,\"Total\":0}","platform":"Semanticscholar","paperid":null,"PeriodicalName":"Osong Public Health and Research Perspectives","FirstCategoryId":"1085","ListUrlMain":"https://doi.org/10.24171/j.phrp.2025.0036","RegionNum":0,"RegionCategory":null,"ArticlePicture":[],"TitleCN":null,"AbstractTextCN":null,"PMCID":null,"EPubDate":"2025/5/23 0:00:00","PubModel":"Epub","JCR":"Q3","JCRName":"PUBLIC, ENVIRONMENTAL & OCCUPATIONAL HEALTH","Score":null,"Total":0}
引用次数: 0

摘要

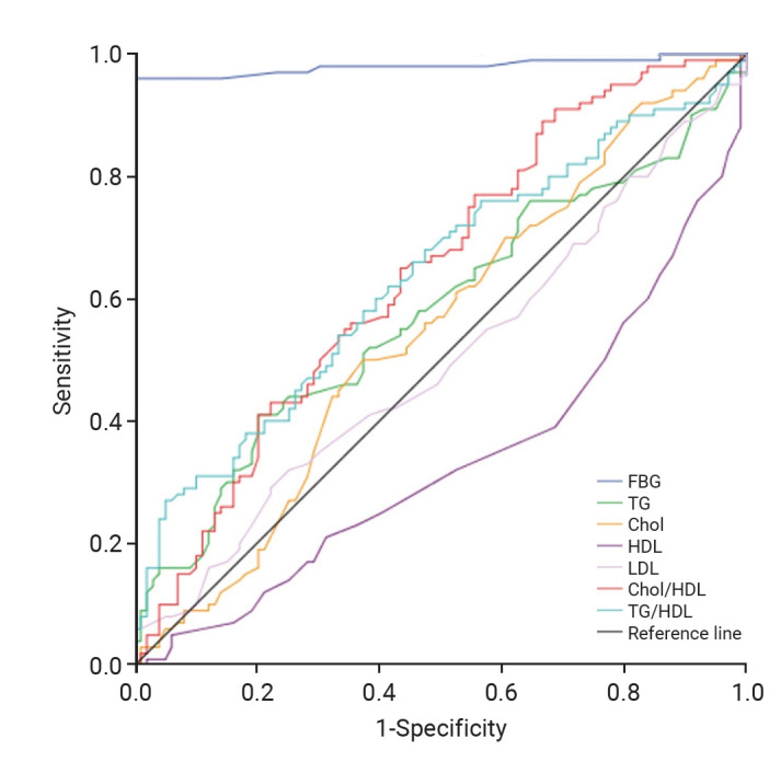
目的:本研究探讨代谢因子(血脂、血糖)、炎症指标(肿瘤坏死因子-α [TNF-α]、高敏c反应蛋白[hs-CRP])、疾病活动性与类风湿关节炎(RA)发病风险的关系。方法:测定100例RA患者和100名健康人的空腹血糖(FBG)和血脂(包括总胆固醇(Chol)、甘油三酯(TG)、高密度脂蛋白(HDL)和低密度脂蛋白)。疾病严重程度用疾病活动度评分28来评估。采用酶联免疫吸附法测定炎症指标(TNF-α和hs-CRP)。结果:RA患者血清FBG、TG、Chol/HDL和TG/HDL显著升高,而HDL水平较健康人降低。多因素分析显示,血清FBG、HDL、Chol/HDL和TG/HDL每增加一个单位与升高64%相关(p0.05)。在所有代谢因子中,FBG曲线下面积最大(0.981)(p)。结论:FBG和Chol/HDL升高,HDL降低可能通过促进全身炎症而升高RA风险。其中,空腹血糖升高可能是类风湿关节炎风险的最强预测因子。
本文章由计算机程序翻译,如有差异,请以英文原文为准。

Metabolic and systemic inflammation status in rheumatoid arthritis-fasting blood glucose as a primary predictor of rheumatoid arthritis risk: a cross-sectional study in Iran.

Metabolic and systemic inflammation status in rheumatoid arthritis-fasting blood glucose as a primary predictor of rheumatoid arthritis risk: a cross-sectional study in Iran.

Metabolic and systemic inflammation status in rheumatoid arthritis-fasting blood glucose as a primary predictor of rheumatoid arthritis risk: a cross-sectional study in Iran.

Background: This study investigated the relationship between metabolic factors (blood lipids and glucose) and inflammatory indicators (tumor necrosis factor-alpha [TNF-α] and high-sensitivity C-reactive protein [hs-CRP]), disease activity, and the rheumatoid arthritis (RA) risk.

Methods: Serum fasting blood glucose (FBG) and lipid profiles-including total cholesterol (Chol), triglycerides (TG), high-density lipoprotein (HDL), and low-density lipoprotein-were measured in 100 RA patients and 100 healthy individuals. Disease severity was assessed using the disease activity score 28. Inflammatory indicators (TNF-α and hs-CRP) were measured using the enzyme-linked immunosorbent assay method.

Results: In RA patients, serum FBG, TG, Chol/HDL, and TG/HDL were significantly elevated, whereas HDL levels reduced compared to healthy individuals. Multivariate analysis indicated that each unit increase in serum FBG, HDL, Chol/HDL, and TG/HDL was associated with a 64% increase (p<0.001), a 7% reduction (p=0.001), a 52% increase (p=0.007), and a 54% increase (p=0.001) in the odds of RA, respectively. Disease activity showed no correlation with metabolic factors (p>0.05). Among all metabolic factors studied, FBG had the largest area under the curve (0.981) (p<0.0001) for predicting RA. Across the total participant group, FBG, TG, and TG/HDL were positively associated with hs-CRP and TNF-α (p<0.05). HDL showed an inverse association with hs-CRP (p=0.008). Among RA patients specifically, TNF-α positively correlated with TG and TG/HDL, while hs-CRP correlated only with TG/HDL.

Conclusion: These findings indicate that increased FBG and Chol/HDL and decreased HDL may elevate RA risk by promoting systemic inflammation. Among these, elevated FBG may serve as the strongest predictor of RA risk.

求助全文
通过发布文献求助,成功后即可免费获取论文全文。 去求助
来源期刊
Osong Public Health and Research Perspectives
Osong Public Health and Research Perspectives Medicine-Public Health, Environmental and Occupational Health
CiteScore
10.30
自引率
2.30%
发文量
44
审稿时长
16 weeks
×
引用
GB/T 7714-2015
复制
MLA
复制
APA
复制
导出至
BibTeX EndNote RefMan NoteFirst NoteExpress
×
提示
您的信息不完整,为了账户安全,请先补充。
现在去补充
×
提示
您因"违规操作"
具体请查看互助需知
我知道了
×
提示
确定
请完成安全验证×
copy
已复制链接
快去分享给好友吧!
我知道了
右上角分享
点击右上角分享
0
联系我们:info@booksci.cn Book学术提供免费学术资源搜索服务,方便国内外学者检索中英文文献。致力于提供最便捷和优质的服务体验。 Copyright © 2023 布克学术 All rights reserved.
京ICP备2023020795号-1
ghs 京公网安备 11010802042870号
Book学术文献互助
Book学术文献互助群
群 号:604180095
Book学术官方微信