对文学相关活动的大脑激活反应。

IF 1.8 4区 医学 Q3 PSYCHIATRY
Psychiatry Investigation Pub Date : 2025-05-01 Epub Date: 2025-05-15 DOI:10.30773/pi.2025.0035
Seungpil Jeong, Ji Sun Hong, Doug Hyun Han
{"title":"对文学相关活动的大脑激活反应。","authors":"Seungpil Jeong, Ji Sun Hong, Doug Hyun Han","doi":"10.30773/pi.2025.0035","DOIUrl":null,"url":null,"abstract":"<p><strong>Objective: </strong>A humanities-based approach to understanding the brain can yield valuable insights, advancing neuroscience and enhancing mental, emotional, and social well-being. This study was aimed at exploring how engagement in literature-related activities stimulates brain activity in the prefrontal cortex.</p><p><strong>Methods: </strong>We recruited 24 healthy male participants aged 20 to 29 years. They completed clinical scales assessing depression, anxiety, attention, and humanistic knowledge. They also performed six tasks comprising various literature-related cognitive challenges while hemodynamic changes in their frontal cortices were measured using functional near-infrared spectroscopy.</p><p><strong>Results: </strong>Task 1 (word memory and recognition) increased activation in the ventrolateral prefrontal cortex (VLPFC), as did Task 2 (emotional words classification), which also elevated activity in the left orbitofrontal cortex (OFC). Task 3 (understanding context) increased activation in the dorsolateral PFC (DLPFC). Tasks 4 (interpersonal relationship) and 5 (listening, memory, understanding, and expression) drove similar increases in the frontopolar and DLPFC regions. Task 6 (creative activities using characters and items) significantly activated multiple regions, including the right and left VLPFC and OFC. Humanistic knowledge scores were positively correlated with left and right DLPFC activation in Tasks 3 and 5, respectively. Conversely, Task 6 showed negative correlations between attention-deficit/hyperactivity disorder scores and both right DLPFC and right OFC activation.</p><p><strong>Conclusion: </strong>This study identified key brain regions involved in literature activities. Complex activities (semantic processing, understanding and creative expression, decision-making and emotional regulation, etc.) stimulated various regions of prefrontal cortices, including the VLPFC, DLPFC, and OFC.</p>","PeriodicalId":21164,"journal":{"name":"Psychiatry Investigation","volume":"22 5","pages":"574-582"},"PeriodicalIF":1.8000,"publicationDate":"2025-05-01","publicationTypes":"Journal Article","fieldsOfStudy":null,"isOpenAccess":false,"openAccessPdf":"https://www.ncbi.nlm.nih.gov/pmc/articles/PMC12104757/pdf/","citationCount":"0","resultStr":"{\"title\":\"Brain Activation in Response to Literature-Related Activities.\",\"authors\":\"Seungpil Jeong, Ji Sun Hong, Doug Hyun Han\",\"doi\":\"10.30773/pi.2025.0035\",\"DOIUrl\":null,\"url\":null,\"abstract\":\"<p><strong>Objective: </strong>A humanities-based approach to understanding the brain can yield valuable insights, advancing neuroscience and enhancing mental, emotional, and social well-being. This study was aimed at exploring how engagement in literature-related activities stimulates brain activity in the prefrontal cortex.</p><p><strong>Methods: </strong>We recruited 24 healthy male participants aged 20 to 29 years. They completed clinical scales assessing depression, anxiety, attention, and humanistic knowledge. They also performed six tasks comprising various literature-related cognitive challenges while hemodynamic changes in their frontal cortices were measured using functional near-infrared spectroscopy.</p><p><strong>Results: </strong>Task 1 (word memory and recognition) increased activation in the ventrolateral prefrontal cortex (VLPFC), as did Task 2 (emotional words classification), which also elevated activity in the left orbitofrontal cortex (OFC). Task 3 (understanding context) increased activation in the dorsolateral PFC (DLPFC). Tasks 4 (interpersonal relationship) and 5 (listening, memory, understanding, and expression) drove similar increases in the frontopolar and DLPFC regions. Task 6 (creative activities using characters and items) significantly activated multiple regions, including the right and left VLPFC and OFC. Humanistic knowledge scores were positively correlated with left and right DLPFC activation in Tasks 3 and 5, respectively. Conversely, Task 6 showed negative correlations between attention-deficit/hyperactivity disorder scores and both right DLPFC and right OFC activation.</p><p><strong>Conclusion: </strong>This study identified key brain regions involved in literature activities. Complex activities (semantic processing, understanding and creative expression, decision-making and emotional regulation, etc.) stimulated various regions of prefrontal cortices, including the VLPFC, DLPFC, and OFC.</p>\",\"PeriodicalId\":21164,\"journal\":{\"name\":\"Psychiatry Investigation\",\"volume\":\"22 5\",\"pages\":\"574-582\"},\"PeriodicalIF\":1.8000,\"publicationDate\":\"2025-05-01\",\"publicationTypes\":\"Journal Article\",\"fieldsOfStudy\":null,\"isOpenAccess\":false,\"openAccessPdf\":\"https://www.ncbi.nlm.nih.gov/pmc/articles/PMC12104757/pdf/\",\"citationCount\":\"0\",\"resultStr\":null,\"platform\":\"Semanticscholar\",\"paperid\":null,\"PeriodicalName\":\"Psychiatry Investigation\",\"FirstCategoryId\":\"3\",\"ListUrlMain\":\"https://doi.org/10.30773/pi.2025.0035\",\"RegionNum\":4,\"RegionCategory\":\"医学\",\"ArticlePicture\":[],\"TitleCN\":null,\"AbstractTextCN\":null,\"PMCID\":null,\"EPubDate\":\"2025/5/15 0:00:00\",\"PubModel\":\"Epub\",\"JCR\":\"Q3\",\"JCRName\":\"PSYCHIATRY\",\"Score\":null,\"Total\":0}","platform":"Semanticscholar","paperid":null,"PeriodicalName":"Psychiatry Investigation","FirstCategoryId":"3","ListUrlMain":"https://doi.org/10.30773/pi.2025.0035","RegionNum":4,"RegionCategory":"医学","ArticlePicture":[],"TitleCN":null,"AbstractTextCN":null,"PMCID":null,"EPubDate":"2025/5/15 0:00:00","PubModel":"Epub","JCR":"Q3","JCRName":"PSYCHIATRY","Score":null,"Total":0}
引用次数: 0

摘要

目的:以人文科学为基础的理解大脑的方法可以产生有价值的见解,促进神经科学的发展,增强心理、情感和社会福祉。这项研究旨在探索参与与文学相关的活动如何刺激前额叶皮层的大脑活动。方法:招募24名20 ~ 29岁的健康男性受试者。他们完成了评估抑郁、焦虑、注意力和人文知识的临床量表。他们还完成了六项任务,包括各种与文献相关的认知挑战,同时使用功能近红外光谱测量他们额叶皮层的血流动力学变化。结果:任务1(单词记忆和识别)增加了腹外侧前额叶皮层(VLPFC)的激活,任务2(情绪词分类)也增加了左眶额叶皮层(OFC)的活动。任务3(理解上下文)增加了背外侧PFC (DLPFC)的激活。任务4(人际关系)和任务5(听力、记忆、理解和表达)在额极区和DLPFC区域也有类似的增加。任务6(使用角色和物品的创造性活动)显著激活了多个区域,包括左、右VLPFC和OFC。在任务3和任务5中,人文知识得分分别与左、右DLPFC激活呈正相关。相反,任务6显示注意缺陷/多动障碍得分与右侧DLPFC和右侧OFC激活均呈负相关。结论:本研究确定了参与文学活动的关键脑区。复杂的活动(语义加工、理解和创造性表达、决策和情绪调节等)刺激了前额叶皮层的各个区域,包括VLPFC、DLPFC和OFC。
本文章由计算机程序翻译,如有差异,请以英文原文为准。

Brain Activation in Response to Literature-Related Activities.

Brain Activation in Response to Literature-Related Activities.

Brain Activation in Response to Literature-Related Activities.

Brain Activation in Response to Literature-Related Activities.

Objective: A humanities-based approach to understanding the brain can yield valuable insights, advancing neuroscience and enhancing mental, emotional, and social well-being. This study was aimed at exploring how engagement in literature-related activities stimulates brain activity in the prefrontal cortex.

Methods: We recruited 24 healthy male participants aged 20 to 29 years. They completed clinical scales assessing depression, anxiety, attention, and humanistic knowledge. They also performed six tasks comprising various literature-related cognitive challenges while hemodynamic changes in their frontal cortices were measured using functional near-infrared spectroscopy.

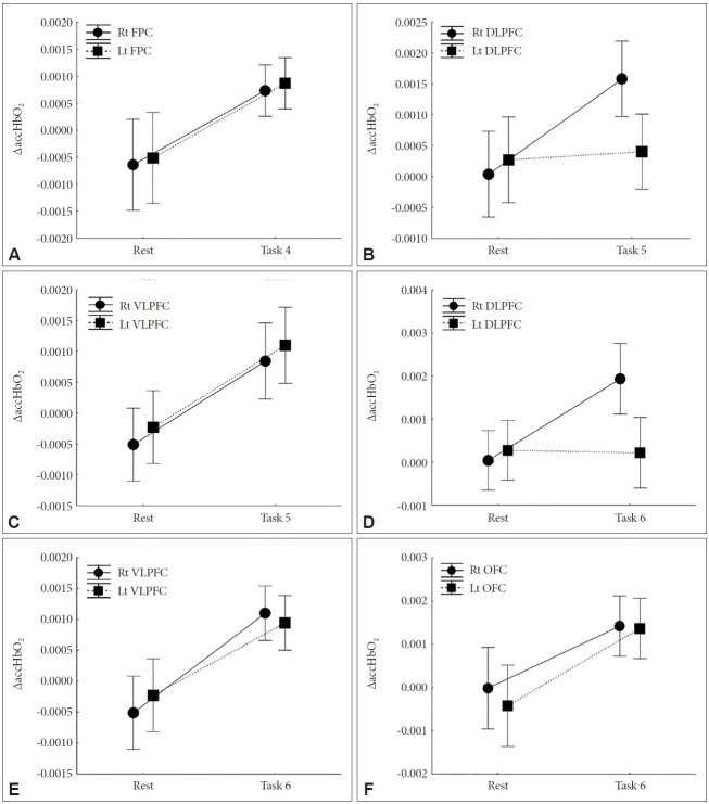
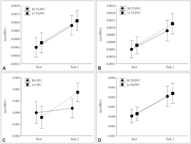
Results: Task 1 (word memory and recognition) increased activation in the ventrolateral prefrontal cortex (VLPFC), as did Task 2 (emotional words classification), which also elevated activity in the left orbitofrontal cortex (OFC). Task 3 (understanding context) increased activation in the dorsolateral PFC (DLPFC). Tasks 4 (interpersonal relationship) and 5 (listening, memory, understanding, and expression) drove similar increases in the frontopolar and DLPFC regions. Task 6 (creative activities using characters and items) significantly activated multiple regions, including the right and left VLPFC and OFC. Humanistic knowledge scores were positively correlated with left and right DLPFC activation in Tasks 3 and 5, respectively. Conversely, Task 6 showed negative correlations between attention-deficit/hyperactivity disorder scores and both right DLPFC and right OFC activation.

Conclusion: This study identified key brain regions involved in literature activities. Complex activities (semantic processing, understanding and creative expression, decision-making and emotional regulation, etc.) stimulated various regions of prefrontal cortices, including the VLPFC, DLPFC, and OFC.

求助全文
通过发布文献求助,成功后即可免费获取论文全文。 去求助
来源期刊
CiteScore
4.10
自引率
3.70%
发文量
105
审稿时长
6-12 weeks
期刊介绍: The Psychiatry Investigation is published on the 25th day of every month in English by the Korean Neuropsychiatric Association (KNPA). The Journal covers the whole range of psychiatry and neuroscience. Both basic and clinical contributions are encouraged from all disciplines and research areas relevant to the pathophysiology and management of neuropsychiatric disorders and symptoms, as well as researches related to cross cultural psychiatry and ethnic issues in psychiatry. The Journal publishes editorials, review articles, original articles, brief reports, viewpoints and correspondences. All research articles are peer reviewed. Contributions are accepted for publication on the condition that their substance has not been published or submitted for publication elsewhere. Authors submitting papers to the Journal (serially or otherwise) with a common theme or using data derived from the same sample (or a subset thereof) must send details of all relevant previous publications and simultaneous submissions. The Journal is not responsible for statements made by contributors. Material in the Journal does not necessarily reflect the views of the Editor or of the KNPA. Manuscripts accepted for publication are copy-edited to improve readability and to ensure conformity with house style.
×
引用
GB/T 7714-2015
复制
MLA
复制
APA
复制
导出至
BibTeX EndNote RefMan NoteFirst NoteExpress
×
提示
您的信息不完整,为了账户安全,请先补充。
现在去补充
×
提示
您因"违规操作"
具体请查看互助需知
我知道了
×
提示
确定
请完成安全验证×
copy
已复制链接
快去分享给好友吧!
我知道了
右上角分享
点击右上角分享
0
联系我们:info@booksci.cn Book学术提供免费学术资源搜索服务,方便国内外学者检索中英文文献。致力于提供最便捷和优质的服务体验。 Copyright © 2023 布克学术 All rights reserved.
京ICP备2023020795号-1
ghs 京公网安备 11010802042870号
Book学术文献互助
Book学术文献互助群
群 号:604180095
Book学术官方微信