日本羊驼(Lama pacos)出生后繁殖和cria生长的回顾性研究:分娩与气候条件的关系

IF 1.1 4区 农林科学 Q3 VETERINARY SCIENCES
Journal of Veterinary Medical Science Pub Date : 2025-07-07 Epub Date: 2025-05-22 DOI:10.1292/jvms.25-0200
Misa Arafurue, Chihiro Kanno, Shogo Sato, Yosuke Maeda, Fumiaki Takahashi, Kenji Momozawa, Masashi Nagano
{"title":"日本羊驼(Lama pacos)出生后繁殖和cria生长的回顾性研究:分娩与气候条件的关系","authors":"Misa Arafurue, Chihiro Kanno, Shogo Sato, Yosuke Maeda, Fumiaki Takahashi, Kenji Momozawa, Masashi Nagano","doi":"10.1292/jvms.25-0200","DOIUrl":null,"url":null,"abstract":"<p><p>Alpaca breeding is affected by environmental factors and management on farms. However, this has not yet been examined in detail in Japan. Therefore, we herein investigated the relationship between parturition in 65 alpacas on a Japanese farm and environmental factors. Parturition was observed every month, except for December, and the survival rate of crias was 81.5% (53/65). The gestation length was significantly longer for surviving crias than for dead crias (352.3 ± 17.9 vs. 338.7 ± 20.8 days, P<0.05). Birth weight was higher in surviving crias than in dead crias (6.7 ± 1.1 vs. 5.0 ± 1.0 kg, P<0.05). An analysis of the relationship between parturition and climate revealed a correlation between low ambient temperature one month before parturition and higher birth weights in surviving crias.</p>","PeriodicalId":49959,"journal":{"name":"Journal of Veterinary Medical Science","volume":" ","pages":"816-820"},"PeriodicalIF":1.1000,"publicationDate":"2025-07-07","publicationTypes":"Journal Article","fieldsOfStudy":null,"isOpenAccess":false,"openAccessPdf":"https://www.ncbi.nlm.nih.gov/pmc/articles/PMC12246586/pdf/","citationCount":"0","resultStr":"{\"title\":\"A retrospective study on reproduction in alpacas (Lama pacos) and cria growth after birth in Japan: the relationship between parturition and climate conditions.\",\"authors\":\"Misa Arafurue, Chihiro Kanno, Shogo Sato, Yosuke Maeda, Fumiaki Takahashi, Kenji Momozawa, Masashi Nagano\",\"doi\":\"10.1292/jvms.25-0200\",\"DOIUrl\":null,\"url\":null,\"abstract\":\"<p><p>Alpaca breeding is affected by environmental factors and management on farms. However, this has not yet been examined in detail in Japan. Therefore, we herein investigated the relationship between parturition in 65 alpacas on a Japanese farm and environmental factors. Parturition was observed every month, except for December, and the survival rate of crias was 81.5% (53/65). The gestation length was significantly longer for surviving crias than for dead crias (352.3 ± 17.9 vs. 338.7 ± 20.8 days, P<0.05). Birth weight was higher in surviving crias than in dead crias (6.7 ± 1.1 vs. 5.0 ± 1.0 kg, P<0.05). An analysis of the relationship between parturition and climate revealed a correlation between low ambient temperature one month before parturition and higher birth weights in surviving crias.</p>\",\"PeriodicalId\":49959,\"journal\":{\"name\":\"Journal of Veterinary Medical Science\",\"volume\":\" \",\"pages\":\"816-820\"},\"PeriodicalIF\":1.1000,\"publicationDate\":\"2025-07-07\",\"publicationTypes\":\"Journal Article\",\"fieldsOfStudy\":null,\"isOpenAccess\":false,\"openAccessPdf\":\"https://www.ncbi.nlm.nih.gov/pmc/articles/PMC12246586/pdf/\",\"citationCount\":\"0\",\"resultStr\":null,\"platform\":\"Semanticscholar\",\"paperid\":null,\"PeriodicalName\":\"Journal of Veterinary Medical Science\",\"FirstCategoryId\":\"97\",\"ListUrlMain\":\"https://doi.org/10.1292/jvms.25-0200\",\"RegionNum\":4,\"RegionCategory\":\"农林科学\",\"ArticlePicture\":[],\"TitleCN\":null,\"AbstractTextCN\":null,\"PMCID\":null,\"EPubDate\":\"2025/5/22 0:00:00\",\"PubModel\":\"Epub\",\"JCR\":\"Q3\",\"JCRName\":\"VETERINARY SCIENCES\",\"Score\":null,\"Total\":0}","platform":"Semanticscholar","paperid":null,"PeriodicalName":"Journal of Veterinary Medical Science","FirstCategoryId":"97","ListUrlMain":"https://doi.org/10.1292/jvms.25-0200","RegionNum":4,"RegionCategory":"农林科学","ArticlePicture":[],"TitleCN":null,"AbstractTextCN":null,"PMCID":null,"EPubDate":"2025/5/22 0:00:00","PubModel":"Epub","JCR":"Q3","JCRName":"VETERINARY SCIENCES","Score":null,"Total":0}
引用次数: 0

摘要

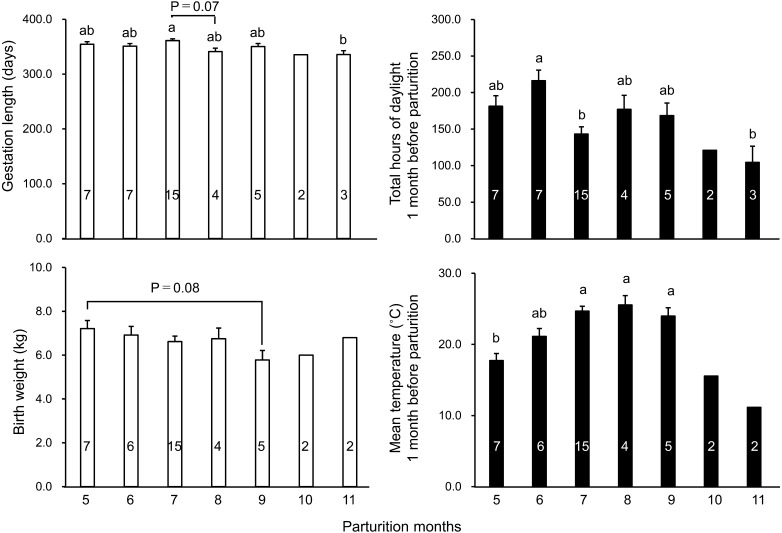
羊驼的饲养受到环境因素和农场管理的影响。然而,日本尚未对此进行详细研究。因此,我们在此调查65羊驼在日本农场的分娩与环境因素的关系。除12月外,其余月均观察分娩,crias成活率为81.5%(53/65)。存活crias的妊娠期明显长于死亡crias的妊娠期(352.3±17.9 vs 338.7±20.8)
本文章由计算机程序翻译,如有差异,请以英文原文为准。

A retrospective study on reproduction in alpacas (Lama pacos) and cria growth after birth in Japan: the relationship between parturition and climate conditions.

A retrospective study on reproduction in alpacas (Lama pacos) and cria growth after birth in Japan: the relationship between parturition and climate conditions.

A retrospective study on reproduction in alpacas (Lama pacos) and cria growth after birth in Japan: the relationship between parturition and climate conditions.

A retrospective study on reproduction in alpacas (Lama pacos) and cria growth after birth in Japan: the relationship between parturition and climate conditions.

Alpaca breeding is affected by environmental factors and management on farms. However, this has not yet been examined in detail in Japan. Therefore, we herein investigated the relationship between parturition in 65 alpacas on a Japanese farm and environmental factors. Parturition was observed every month, except for December, and the survival rate of crias was 81.5% (53/65). The gestation length was significantly longer for surviving crias than for dead crias (352.3 ± 17.9 vs. 338.7 ± 20.8 days, P<0.05). Birth weight was higher in surviving crias than in dead crias (6.7 ± 1.1 vs. 5.0 ± 1.0 kg, P<0.05). An analysis of the relationship between parturition and climate revealed a correlation between low ambient temperature one month before parturition and higher birth weights in surviving crias.

求助全文
通过发布文献求助,成功后即可免费获取论文全文。 去求助
来源期刊
Journal of Veterinary Medical Science
Journal of Veterinary Medical Science 农林科学-兽医学
CiteScore
2.30
自引率
8.30%
发文量
230
审稿时长
9-18 weeks
期刊介绍: JVMS is a peer-reviewed journal and publishes a variety of papers on veterinary science from basic research to applied science and clinical research. JVMS is published monthly and consists of twelve issues per year. Papers are from the areas of anatomy, physiology, pharmacology, toxicology, pathology, immunology, microbiology, virology, parasitology, internal medicine, surgery, clinical pathology, theriogenology, avian disease, public health, ethology, and laboratory animal science. Although JVMS has played a role in publishing the scientific achievements of Japanese researchers and clinicians for many years, it now also accepts papers submitted from all over the world.
×
引用
GB/T 7714-2015
复制
MLA
复制
APA
复制
导出至
BibTeX EndNote RefMan NoteFirst NoteExpress
×
提示
您的信息不完整,为了账户安全,请先补充。
现在去补充
×
提示
您因"违规操作"
具体请查看互助需知
我知道了
×
提示
确定
请完成安全验证×
copy
已复制链接
快去分享给好友吧!
我知道了
右上角分享
点击右上角分享
0
联系我们:info@booksci.cn Book学术提供免费学术资源搜索服务,方便国内外学者检索中英文文献。致力于提供最便捷和优质的服务体验。 Copyright © 2023 布克学术 All rights reserved.
京ICP备2023020795号-1
ghs 京公网安备 11010802042870号
Book学术文献互助
Book学术文献互助群
群 号:604180095
Book学术官方微信