使用胰岛素抵抗的替代标记物预测冠状动脉疾病的存在和严重程度:一项横断面研究

IF 0.6 Q4 CARDIAC & CARDIOVASCULAR SYSTEMS
Soodeh Jahangiri, Seyed Arad Mosalamiaghili, Reza Heydarzadeh, Mohammadali Yousefzadeh, Reza Golchin Vafa, Hooyar Zarifkar, Kasra Assadian, Sina Sohrabizadeh, Hourshad Zarifkar, Mehrdad Sadeghi, Nazanin Hosseini, Mohammad Montaseri, Seyed Ali Hosseini, Javad Kojuri
{"title":"使用胰岛素抵抗的替代标记物预测冠状动脉疾病的存在和严重程度:一项横断面研究","authors":"Soodeh Jahangiri, Seyed Arad Mosalamiaghili, Reza Heydarzadeh, Mohammadali Yousefzadeh, Reza Golchin Vafa, Hooyar Zarifkar, Kasra Assadian, Sina Sohrabizadeh, Hourshad Zarifkar, Mehrdad Sadeghi, Nazanin Hosseini, Mohammad Montaseri, Seyed Ali Hosseini, Javad Kojuri","doi":"10.48305/arya.2025.42573.2960","DOIUrl":null,"url":null,"abstract":"<p><strong>Background: </strong>The triglyceride-to-high-density lipoprotein cholesterol (TG/HDL-C) ratio, Metabolic Score for Insulin Resistance (METS-IR), triglyceride-glucose (TyG) index, and triglyceride-glucose body mass index (TyG-BMI) have been associated with the occurrence and severity of coronary artery disease (CAD), although evidence remains limited.</p><p><strong>Methods: </strong>A total of 1,017 patients undergoing coronary angiography for the first time were included. Insulin resistance (IR) indices were calculated based on patients' laboratory data. Significant CAD was defined as more than 50% stenosis observed in coronary angiography<sup>1</sup>.</p><p><strong>Results: </strong>A positive correlation was found between CAD and the TyG index (ρ = 0.083, p = 0.008). Patients with CAD had a significantly elevated TyG index (9.02 ± 0.62) compared to those with single-vessel disease (SVD) (8.87 ± 0.59) (p = 0.012). A strong association was observed between CAD and the TG/HDL-C ratio (ρ = 0.114, p < 0.001). Patients with multi-vessel disease exhibited a considerably higher index (4.47 ± 2.46) compared to those with SVD (3.77 ± 2.45) (p = 0.003). The TyG index cut-off was 9.22 (27.5% sensitivity, 79.3% specificity, 82.2% positive predictive value (PPV), and 23.89% negative predictive value (NPV)), while the TG/HDL-C ratio cut-off was 3.6 (44% sensitivity, 65.2% specificity, 81.5% PPV, and 25.5% NPV).</p><p><strong>Conclusion: </strong>Our findings indicate that the TG/HDL-C ratio, with a cut-off point of 3.6, and the TyG index, with a threshold of 9.22, are associated with the presence of CAD. (ClinicalTrials.gov registration number: NCT06237244).</p>","PeriodicalId":46477,"journal":{"name":"ARYA Atherosclerosis","volume":"21 1","pages":"44-53"},"PeriodicalIF":0.6000,"publicationDate":"2025-01-01","publicationTypes":"Journal Article","fieldsOfStudy":null,"isOpenAccess":false,"openAccessPdf":"https://www.ncbi.nlm.nih.gov/pmc/articles/PMC12091249/pdf/","citationCount":"0","resultStr":"{\"title\":\"Predicting the presence and severity of coronary artery disease using surrogate markers of insulin resistance: A cross-sectional study.\",\"authors\":\"Soodeh Jahangiri, Seyed Arad Mosalamiaghili, Reza Heydarzadeh, Mohammadali Yousefzadeh, Reza Golchin Vafa, Hooyar Zarifkar, Kasra Assadian, Sina Sohrabizadeh, Hourshad Zarifkar, Mehrdad Sadeghi, Nazanin Hosseini, Mohammad Montaseri, Seyed Ali Hosseini, Javad Kojuri\",\"doi\":\"10.48305/arya.2025.42573.2960\",\"DOIUrl\":null,\"url\":null,\"abstract\":\"<p><strong>Background: </strong>The triglyceride-to-high-density lipoprotein cholesterol (TG/HDL-C) ratio, Metabolic Score for Insulin Resistance (METS-IR), triglyceride-glucose (TyG) index, and triglyceride-glucose body mass index (TyG-BMI) have been associated with the occurrence and severity of coronary artery disease (CAD), although evidence remains limited.</p><p><strong>Methods: </strong>A total of 1,017 patients undergoing coronary angiography for the first time were included. Insulin resistance (IR) indices were calculated based on patients' laboratory data. Significant CAD was defined as more than 50% stenosis observed in coronary angiography<sup>1</sup>.</p><p><strong>Results: </strong>A positive correlation was found between CAD and the TyG index (ρ = 0.083, p = 0.008). Patients with CAD had a significantly elevated TyG index (9.02 ± 0.62) compared to those with single-vessel disease (SVD) (8.87 ± 0.59) (p = 0.012). A strong association was observed between CAD and the TG/HDL-C ratio (ρ = 0.114, p < 0.001). Patients with multi-vessel disease exhibited a considerably higher index (4.47 ± 2.46) compared to those with SVD (3.77 ± 2.45) (p = 0.003). The TyG index cut-off was 9.22 (27.5% sensitivity, 79.3% specificity, 82.2% positive predictive value (PPV), and 23.89% negative predictive value (NPV)), while the TG/HDL-C ratio cut-off was 3.6 (44% sensitivity, 65.2% specificity, 81.5% PPV, and 25.5% NPV).</p><p><strong>Conclusion: </strong>Our findings indicate that the TG/HDL-C ratio, with a cut-off point of 3.6, and the TyG index, with a threshold of 9.22, are associated with the presence of CAD. (ClinicalTrials.gov registration number: NCT06237244).</p>\",\"PeriodicalId\":46477,\"journal\":{\"name\":\"ARYA Atherosclerosis\",\"volume\":\"21 1\",\"pages\":\"44-53\"},\"PeriodicalIF\":0.6000,\"publicationDate\":\"2025-01-01\",\"publicationTypes\":\"Journal Article\",\"fieldsOfStudy\":null,\"isOpenAccess\":false,\"openAccessPdf\":\"https://www.ncbi.nlm.nih.gov/pmc/articles/PMC12091249/pdf/\",\"citationCount\":\"0\",\"resultStr\":null,\"platform\":\"Semanticscholar\",\"paperid\":null,\"PeriodicalName\":\"ARYA Atherosclerosis\",\"FirstCategoryId\":\"1085\",\"ListUrlMain\":\"https://doi.org/10.48305/arya.2025.42573.2960\",\"RegionNum\":0,\"RegionCategory\":null,\"ArticlePicture\":[],\"TitleCN\":null,\"AbstractTextCN\":null,\"PMCID\":null,\"EPubDate\":\"\",\"PubModel\":\"\",\"JCR\":\"Q4\",\"JCRName\":\"CARDIAC & CARDIOVASCULAR SYSTEMS\",\"Score\":null,\"Total\":0}","platform":"Semanticscholar","paperid":null,"PeriodicalName":"ARYA Atherosclerosis","FirstCategoryId":"1085","ListUrlMain":"https://doi.org/10.48305/arya.2025.42573.2960","RegionNum":0,"RegionCategory":null,"ArticlePicture":[],"TitleCN":null,"AbstractTextCN":null,"PMCID":null,"EPubDate":"","PubModel":"","JCR":"Q4","JCRName":"CARDIAC & CARDIOVASCULAR SYSTEMS","Score":null,"Total":0}
引用次数: 0

摘要

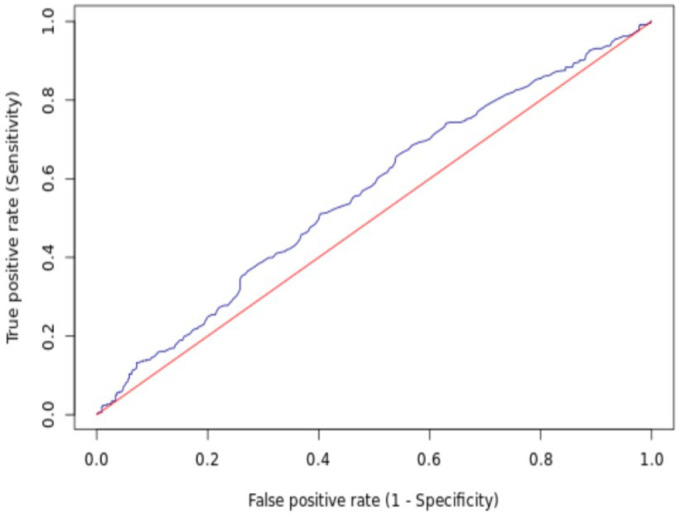
背景:甘油三酯与高密度脂蛋白胆固醇(TG/HDL-C)比值、胰岛素抵抗代谢评分(METS-IR)、甘油三酯-葡萄糖(TyG)指数和甘油三酯-葡萄糖体重指数(TyG- bmi)与冠状动脉疾病(CAD)的发生和严重程度相关,尽管证据仍然有限。方法:首次行冠状动脉造影的患者共1017例。根据患者实验室数据计算胰岛素抵抗(IR)指数。冠状动脉造影显示狭窄超过50%为显著CAD 1。结果:CAD与TyG指数呈正相关(ρ = 0.083, p = 0.008)。冠心病患者TyG指数(9.02±0.62)明显高于单血管病变(SVD)患者(8.87±0.59)(p = 0.012)。CAD与TG/HDL-C比值有很强的相关性(ρ = 0.114, p < 0.001)。多血管病变患者的指数(4.47±2.46)明显高于SVD患者(3.77±2.45)(p = 0.003)。TyG指数临界值为9.22(敏感性27.5%,特异性79.3%,阳性预测值(PPV) 82.2%,阴性预测值(NPV) 23.89%), TG/HDL-C比值临界值为3.6(敏感性44%,特异性65.2%,PPV 81.5%, NPV 25.5%)。结论:我们的研究结果表明,TG/HDL-C比值(截断点为3.6)和TyG指数(阈值为9.22)与CAD的存在有关。(ClinicalTrials.gov注册号:NCT06237244)。
本文章由计算机程序翻译,如有差异,请以英文原文为准。

Predicting the presence and severity of coronary artery disease using surrogate markers of insulin resistance: A cross-sectional study.

Predicting the presence and severity of coronary artery disease using surrogate markers of insulin resistance: A cross-sectional study.

Predicting the presence and severity of coronary artery disease using surrogate markers of insulin resistance: A cross-sectional study.

Background: The triglyceride-to-high-density lipoprotein cholesterol (TG/HDL-C) ratio, Metabolic Score for Insulin Resistance (METS-IR), triglyceride-glucose (TyG) index, and triglyceride-glucose body mass index (TyG-BMI) have been associated with the occurrence and severity of coronary artery disease (CAD), although evidence remains limited.

Methods: A total of 1,017 patients undergoing coronary angiography for the first time were included. Insulin resistance (IR) indices were calculated based on patients' laboratory data. Significant CAD was defined as more than 50% stenosis observed in coronary angiography1.

Results: A positive correlation was found between CAD and the TyG index (ρ = 0.083, p = 0.008). Patients with CAD had a significantly elevated TyG index (9.02 ± 0.62) compared to those with single-vessel disease (SVD) (8.87 ± 0.59) (p = 0.012). A strong association was observed between CAD and the TG/HDL-C ratio (ρ = 0.114, p < 0.001). Patients with multi-vessel disease exhibited a considerably higher index (4.47 ± 2.46) compared to those with SVD (3.77 ± 2.45) (p = 0.003). The TyG index cut-off was 9.22 (27.5% sensitivity, 79.3% specificity, 82.2% positive predictive value (PPV), and 23.89% negative predictive value (NPV)), while the TG/HDL-C ratio cut-off was 3.6 (44% sensitivity, 65.2% specificity, 81.5% PPV, and 25.5% NPV).

Conclusion: Our findings indicate that the TG/HDL-C ratio, with a cut-off point of 3.6, and the TyG index, with a threshold of 9.22, are associated with the presence of CAD. (ClinicalTrials.gov registration number: NCT06237244).

求助全文
通过发布文献求助,成功后即可免费获取论文全文。 去求助
来源期刊
ARYA Atherosclerosis
ARYA Atherosclerosis CARDIAC & CARDIOVASCULAR SYSTEMS-
CiteScore
1.00
自引率
0.00%
发文量
0
审稿时长
18 weeks
×
引用
GB/T 7714-2015
复制
MLA
复制
APA
复制
导出至
BibTeX EndNote RefMan NoteFirst NoteExpress
×
提示
您的信息不完整,为了账户安全,请先补充。
现在去补充
×
提示
您因"违规操作"
具体请查看互助需知
我知道了
×
提示
确定
请完成安全验证×
copy
已复制链接
快去分享给好友吧!
我知道了
右上角分享
点击右上角分享
0
联系我们:info@booksci.cn Book学术提供免费学术资源搜索服务,方便国内外学者检索中英文文献。致力于提供最便捷和优质的服务体验。 Copyright © 2023 布克学术 All rights reserved.
京ICP备2023020795号-1
ghs 京公网安备 11010802042870号
Book学术文献互助
Book学术文献互助群
群 号:604180095
Book学术官方微信