早期羟基酪醇的管理延长寿命和延缓衰老秀丽隐杆线虫。

IF 4.9 2区 生物学 Q1 BIOLOGY
Nannan Du, Lishuo Song, Ruigang Yang, Kexin Liu, Zubiao Niu, Zhanfeng Zhang, Qiang Sun
{"title":"早期羟基酪醇的管理延长寿命和延缓衰老秀丽隐杆线虫。","authors":"Nannan Du, Lishuo Song, Ruigang Yang, Kexin Liu, Zubiao Niu, Zhanfeng Zhang, Qiang Sun","doi":"10.1186/s13062-025-00634-x","DOIUrl":null,"url":null,"abstract":"<p><strong>Background: </strong>This study employs Caenorhabditis elegans (C. elegans) as a model organism to explore the anti-aging effects of hydroxytyrosol (HT) and its underlying mechanisms.</p><p><strong>Results: </strong>The findings reveal that HT significantly extends the lifespan of C. elegans while improving their functional performance (motility and pharyngeal function), and antioxidant capacity when administered on the first day of adulthood (D1). However, its efficacy diminishes when treatment begins on or after the third day of adulthood (D3). HT prolongs lifespan through a mechanism akin to that of skn-1 modulating the oxidative stress pathway.</p><p><strong>Conclusions: </strong>This study suggests that the administration timing is an important factor for of anti-oxidation compounds to be effective in counteracting aging.</p>","PeriodicalId":9164,"journal":{"name":"Biology Direct","volume":"20 1","pages":"62"},"PeriodicalIF":4.9000,"publicationDate":"2025-05-21","publicationTypes":"Journal Article","fieldsOfStudy":null,"isOpenAccess":false,"openAccessPdf":"https://www.ncbi.nlm.nih.gov/pmc/articles/PMC12096744/pdf/","citationCount":"0","resultStr":"{\"title\":\"Early-stage administration of hydroxytyrosol extends lifespan and delays aging in C. elegans.\",\"authors\":\"Nannan Du, Lishuo Song, Ruigang Yang, Kexin Liu, Zubiao Niu, Zhanfeng Zhang, Qiang Sun\",\"doi\":\"10.1186/s13062-025-00634-x\",\"DOIUrl\":null,\"url\":null,\"abstract\":\"<p><strong>Background: </strong>This study employs Caenorhabditis elegans (C. elegans) as a model organism to explore the anti-aging effects of hydroxytyrosol (HT) and its underlying mechanisms.</p><p><strong>Results: </strong>The findings reveal that HT significantly extends the lifespan of C. elegans while improving their functional performance (motility and pharyngeal function), and antioxidant capacity when administered on the first day of adulthood (D1). However, its efficacy diminishes when treatment begins on or after the third day of adulthood (D3). HT prolongs lifespan through a mechanism akin to that of skn-1 modulating the oxidative stress pathway.</p><p><strong>Conclusions: </strong>This study suggests that the administration timing is an important factor for of anti-oxidation compounds to be effective in counteracting aging.</p>\",\"PeriodicalId\":9164,\"journal\":{\"name\":\"Biology Direct\",\"volume\":\"20 1\",\"pages\":\"62\"},\"PeriodicalIF\":4.9000,\"publicationDate\":\"2025-05-21\",\"publicationTypes\":\"Journal Article\",\"fieldsOfStudy\":null,\"isOpenAccess\":false,\"openAccessPdf\":\"https://www.ncbi.nlm.nih.gov/pmc/articles/PMC12096744/pdf/\",\"citationCount\":\"0\",\"resultStr\":null,\"platform\":\"Semanticscholar\",\"paperid\":null,\"PeriodicalName\":\"Biology Direct\",\"FirstCategoryId\":\"99\",\"ListUrlMain\":\"https://doi.org/10.1186/s13062-025-00634-x\",\"RegionNum\":2,\"RegionCategory\":\"生物学\",\"ArticlePicture\":[],\"TitleCN\":null,\"AbstractTextCN\":null,\"PMCID\":null,\"EPubDate\":\"\",\"PubModel\":\"\",\"JCR\":\"Q1\",\"JCRName\":\"BIOLOGY\",\"Score\":null,\"Total\":0}","platform":"Semanticscholar","paperid":null,"PeriodicalName":"Biology Direct","FirstCategoryId":"99","ListUrlMain":"https://doi.org/10.1186/s13062-025-00634-x","RegionNum":2,"RegionCategory":"生物学","ArticlePicture":[],"TitleCN":null,"AbstractTextCN":null,"PMCID":null,"EPubDate":"","PubModel":"","JCR":"Q1","JCRName":"BIOLOGY","Score":null,"Total":0}
引用次数: 0

摘要

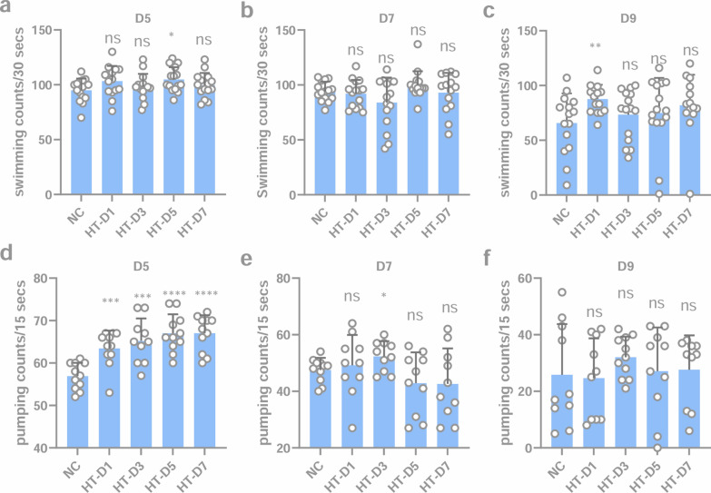
背景:本研究以秀丽隐杆线虫(C. elegans)为模型生物,探讨羟酪醇(hydroxytyrosol, HT)的抗衰老作用及其机制。结果:研究结果表明,在成年后第一天给药时,HT显著延长秀丽隐杆线虫的寿命,同时改善其功能表现(运动和咽功能)和抗氧化能力(D1)。然而,当在成年期第三天或之后开始治疗时,其疗效减弱(D3)。HT通过类似于skin -1调节氧化应激途径的机制延长寿命。结论:给药时机是影响抗氧化化合物抗衰老效果的重要因素。
本文章由计算机程序翻译,如有差异,请以英文原文为准。

Early-stage administration of hydroxytyrosol extends lifespan and delays aging in C. elegans.

Early-stage administration of hydroxytyrosol extends lifespan and delays aging in C. elegans.

Early-stage administration of hydroxytyrosol extends lifespan and delays aging in C. elegans.

Early-stage administration of hydroxytyrosol extends lifespan and delays aging in C. elegans.

Background: This study employs Caenorhabditis elegans (C. elegans) as a model organism to explore the anti-aging effects of hydroxytyrosol (HT) and its underlying mechanisms.

Results: The findings reveal that HT significantly extends the lifespan of C. elegans while improving their functional performance (motility and pharyngeal function), and antioxidant capacity when administered on the first day of adulthood (D1). However, its efficacy diminishes when treatment begins on or after the third day of adulthood (D3). HT prolongs lifespan through a mechanism akin to that of skn-1 modulating the oxidative stress pathway.

Conclusions: This study suggests that the administration timing is an important factor for of anti-oxidation compounds to be effective in counteracting aging.

求助全文
通过发布文献求助,成功后即可免费获取论文全文。 去求助
来源期刊
Biology Direct
Biology Direct 生物-生物学
CiteScore
6.40
自引率
10.90%
发文量
32
审稿时长
7 months
期刊介绍: Biology Direct serves the life science research community as an open access, peer-reviewed online journal, providing authors and readers with an alternative to the traditional model of peer review. Biology Direct considers original research articles, hypotheses, comments, discovery notes and reviews in subject areas currently identified as those most conducive to the open review approach, primarily those with a significant non-experimental component.
×
引用
GB/T 7714-2015
复制
MLA
复制
APA
复制
导出至
BibTeX EndNote RefMan NoteFirst NoteExpress
×
提示
您的信息不完整,为了账户安全,请先补充。
现在去补充
×
提示
您因"违规操作"
具体请查看互助需知
我知道了
×
提示
确定
请完成安全验证×
copy
已复制链接
快去分享给好友吧!
我知道了
右上角分享
点击右上角分享
0
联系我们:info@booksci.cn Book学术提供免费学术资源搜索服务,方便国内外学者检索中英文文献。致力于提供最便捷和优质的服务体验。 Copyright © 2023 布克学术 All rights reserved.
京ICP备2023020795号-1
ghs 京公网安备 11010802042870号
Book学术文献互助
Book学术文献互助群
群 号:604180095
Book学术官方微信